Номер 3.51, страница 237 - гдз по алгебре 10 класс учебник Арефьева, Пирютко

Алгебра, 10 класс Учебник, авторы: Арефьева Ирина Глебовна, Пирютко Ольга Николаевна, издательство Народная асвета, Минск, 2019, голубого цвета

Авторы: Арефьева И. Г., Пирютко О. Н.

Тип: Учебник

Издательство: Народная асвета

Год издания: 2019 - 2026

Цвет обложки: голубой с графиком

Допущено Министерством образования Республики Беларусь

Глава 3. Производная. Параграф 19. Правила вычисления производных - номер 3.51, страница 237.

№3.51 (с. 237)
Условие. №3.51 (с. 237)
скриншот условия
Алгебра, 10 класс Учебник, авторы: Арефьева Ирина Глебовна, Пирютко Ольга Николаевна, издательство Народная асвета, Минск, 2019, голубого цвета, страница 237, номер 3.51, Условие

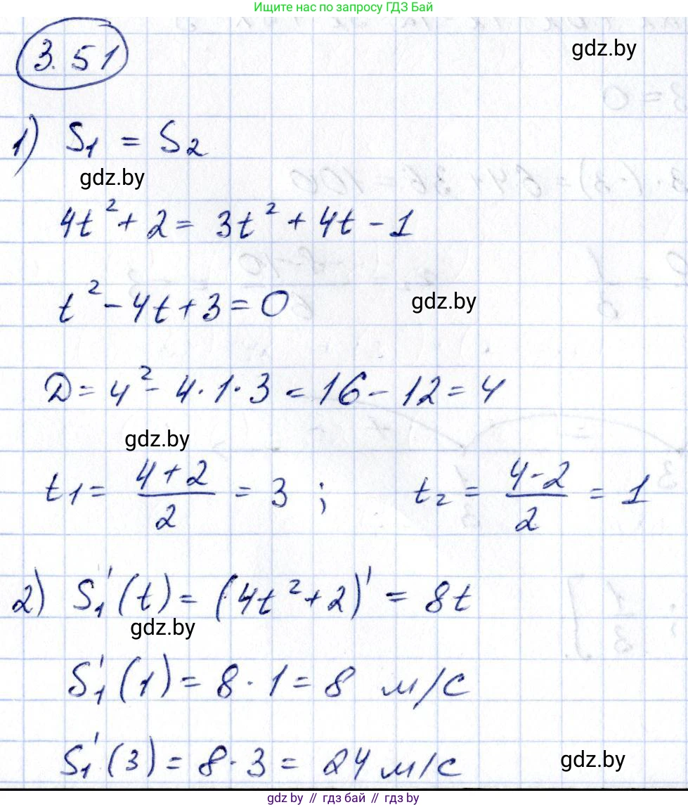
3.51. Две точки движутся по законам $s_1(t) = 4t^2 + 2$ и $s_2(t) = 3t^2 + 4t - 1$ (путь измеряется в метрах, время — в секундах). Найдите скорости движения точек в те моменты, когда пройденные ими расстояния равны.

Решение. №3.51 (с. 237)
Алгебра, 10 класс Учебник, авторы: Арефьева Ирина Глебовна, Пирютко Ольга Николаевна, издательство Народная асвета, Минск, 2019, голубого цвета, страница 237, номер 3.51, Решение Алгебра, 10 класс Учебник, авторы: Арефьева Ирина Глебовна, Пирютко Ольга Николаевна, издательство Народная асвета, Минск, 2019, голубого цвета, страница 237, номер 3.51, Решение (продолжение 2)
Решение 2. №3.51 (с. 237)

Для решения задачи сначала найдем моменты времени $t$, в которые пройденные точками расстояния равны. Затем найдем функции скоростей для каждой точки как производные от функций пути. Наконец, вычислим значения скоростей в найденные моменты времени.

1. Нахождение моментов времени

Приравниваем уравнения движения $s_1(t)$ и $s_2(t)$:

$s_1(t) = s_2(t)$

$4t^2 + 2 = 3t^2 + 4t - 1$

Перенесем все члены уравнения в одну сторону, чтобы получить квадратное уравнение:

$4t^2 - 3t^2 - 4t + 2 + 1 = 0$

$t^2 - 4t + 3 = 0$

Решим полученное квадратное уравнение. Воспользуемся теоремой Виета: сумма корней равна 4, а их произведение равно 3. Корнями уравнения являются:

$t_1 = 1$ с

$t_2 = 3$ с

Следовательно, пройденные точками расстояния равны в моменты времени 1 с и 3 с.

2. Нахождение функций скорости

Скорость является первой производной от пути по времени, то есть $v(t) = s'(t)$.

Найдем функцию скорости для первой точки:

$v_1(t) = s'_1(t) = (4t^2 + 2)' = 8t$

Найдем функцию скорости для второй точки:

$v_2(t) = s'_2(t) = (3t^2 + 4t - 1)' = 6t + 4$

3. Вычисление скоростей

Теперь подставим найденные значения $t_1 = 1$ и $t_2 = 3$ в функции скоростей.

При $t = 1$ с:

  • Скорость первой точки: $v_1(1) = 8 \cdot 1 = 8$ м/с.
  • Скорость второй точки: $v_2(1) = 6 \cdot 1 + 4 = 10$ м/с.

При $t = 3$ с:

  • Скорость первой точки: $v_1(3) = 8 \cdot 3 = 24$ м/с.
  • Скорость второй точки: $v_2(3) = 6 \cdot 3 + 4 = 18 + 4 = 22$ м/с.

Скорости точек в момент времени t = 1 с: Ответ: скорость первой точки $8$ м/с, скорость второй точки $10$ м/с.

Скорости точек в момент времени t = 3 с: Ответ: скорость первой точки $24$ м/с, скорость второй точки $22$ м/с.

Помогло решение? Оставьте отзыв в комментариях ниже.

Присоединяйтесь к Телеграм-группе @gdz_by_belarus

Присоединиться

Мы подготовили для вас ответ c подробным объяснением домашего задания по алгебре за 10 класс, для упражнения номер 3.51 расположенного на странице 237 к учебнику 2019 года издания для учащихся школ и гимназий.

Теперь на нашем сайте ГДЗ.ТОП вы всегда легко и бесплатно найдёте условие с правильным ответом на вопрос «Как решить ДЗ» и «Как сделать» задание по алгебре к упражнению №3.51 (с. 237), авторов: Арефьева (Ирина Глебовна), Пирютко (Ольга Николаевна), учебного пособия издательства Народная асвета.