Номер 3.58, страница 238 - гдз по алгебре 10 класс учебник Арефьева, Пирютко

Алгебра, 10 класс Учебник, авторы: Арефьева Ирина Глебовна, Пирютко Ольга Николаевна, издательство Народная асвета, Минск, 2019, голубого цвета

Авторы: Арефьева И. Г., Пирютко О. Н.

Тип: Учебник

Издательство: Народная асвета

Год издания: 2019 - 2026

Цвет обложки: голубой с графиком

Допущено Министерством образования Республики Беларусь

Популярные ГДЗ в 10 классе

Глава 3. Производная. Параграф 19. Правила вычисления производных - номер 3.58, страница 238.

№3.58 (с. 238)
Условие. №3.58 (с. 238)
скриншот условия
Алгебра, 10 класс Учебник, авторы: Арефьева Ирина Глебовна, Пирютко Ольга Николаевна, издательство Народная асвета, Минск, 2019, голубого цвета, страница 238, номер 3.58, Условие

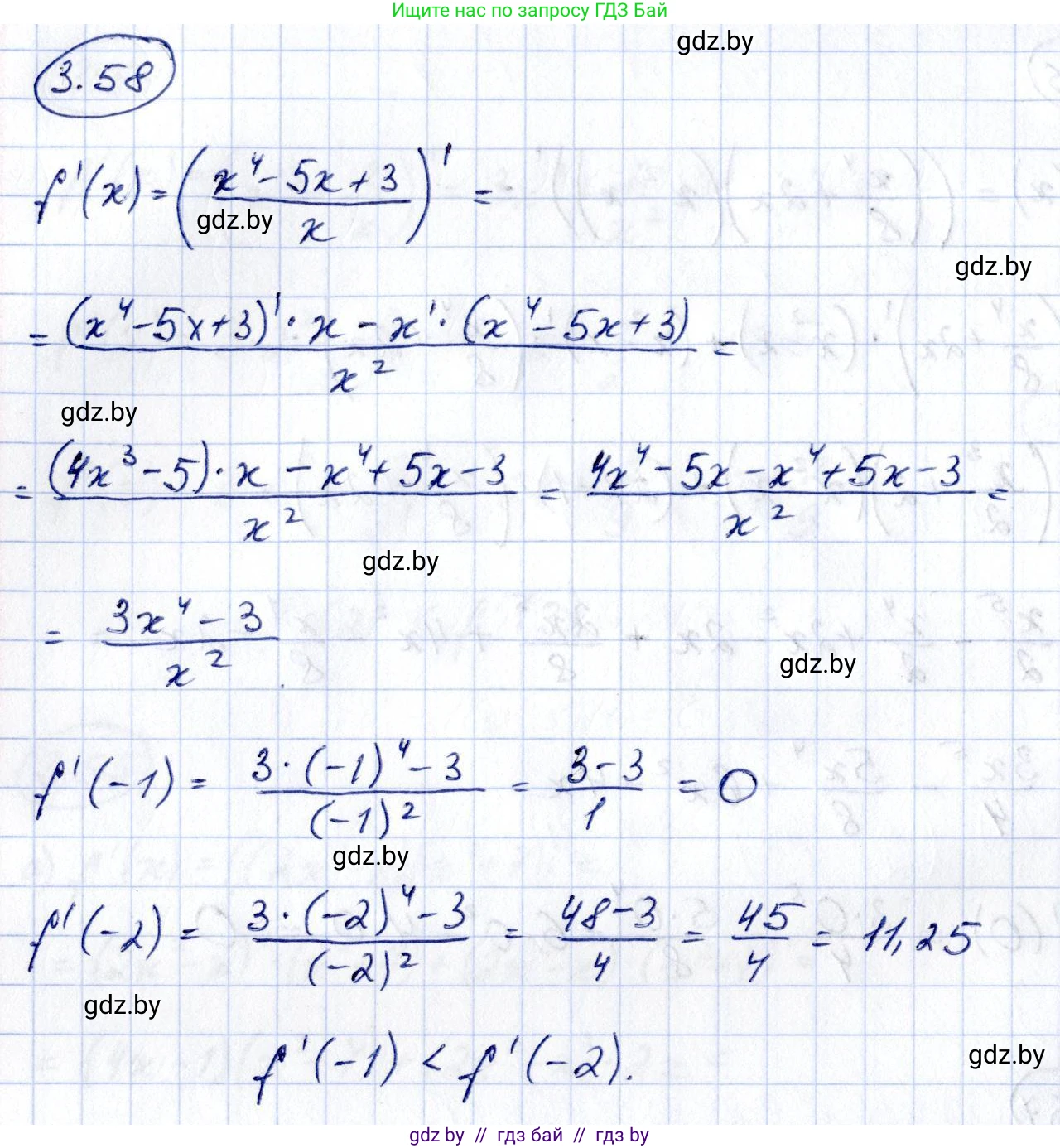
3.58. Сравните $f'(-1)$ и $f'(-2)$ для функции $f(x) = \frac{x^4 - 5x + 3}{x}$.

Решение. №3.58 (с. 238)
Алгебра, 10 класс Учебник, авторы: Арефьева Ирина Глебовна, Пирютко Ольга Николаевна, издательство Народная асвета, Минск, 2019, голубого цвета, страница 238, номер 3.58, Решение
Решение 2. №3.58 (с. 238)

Для того чтобы сравнить значения производной функции $f(x) = \frac{x^4 - 5x + 3}{x}$ в заданных точках, необходимо сначала найти саму производную $f'(x)$.

Для удобства дифференцирования, представим функцию в виде суммы степенных функций, разделив каждый член числителя на знаменатель (при $x \neq 0$):

$f(x) = \frac{x^4}{x} - \frac{5x}{x} + \frac{3}{x} = x^3 - 5 + 3x^{-1}$

Теперь найдем производную, используя правило дифференцирования степенной функции $(x^n)' = nx^{n-1}$:

$f'(x) = (x^3 - 5 + 3x^{-1})' = (x^3)' - (5)' + (3x^{-1})' = 3x^2 - 0 + 3(-1)x^{-2} = 3x^2 - 3x^{-2}$

Таким образом, производная функции равна:

$f'(x) = 3x^2 - \frac{3}{x^2}$

Теперь вычислим значения производной в точках $x = -1$ и $x = -2$.

f'(-1)
Подставим $x = -1$ в выражение для производной: $f'(-1) = 3(-1)^2 - \frac{3}{(-1)^2} = 3 \cdot 1 - \frac{3}{1} = 3 - 3 = 0$. Ответ: 0

f'(-2)
Подставим $x = -2$ в выражение для производной: $f'(-2) = 3(-2)^2 - \frac{3}{(-2)^2} = 3 \cdot 4 - \frac{3}{4} = 12 - \frac{3}{4}$. Приведем к общему знаменателю: $12 - \frac{3}{4} = \frac{12 \cdot 4}{4} - \frac{3}{4} = \frac{48 - 3}{4} = \frac{45}{4}$. Представим неправильную дробь $\frac{45}{4}$ в виде смешанного числа, чтобы выделить целую часть: $\frac{45}{4} = 11\frac{1}{4}$. Ответ: 11

Сравним полученные значения $f'(-1) = 0$ и $f'(-2) = \frac{45}{4} = 11.25$.

Так как $11.25 > 0$, то $f'(-2) > f'(-1)$.

Помогло решение? Оставьте отзыв в комментариях ниже.

Присоединяйтесь к Телеграм-группе @gdz_by_belarus

Присоединиться

Мы подготовили для вас ответ c подробным объяснением домашего задания по алгебре за 10 класс, для упражнения номер 3.58 расположенного на странице 238 к учебнику 2019 года издания для учащихся школ и гимназий.

Теперь на нашем сайте ГДЗ.ТОП вы всегда легко и бесплатно найдёте условие с правильным ответом на вопрос «Как решить ДЗ» и «Как сделать» задание по алгебре к упражнению №3.58 (с. 238), авторов: Арефьева (Ирина Глебовна), Пирютко (Ольга Николаевна), учебного пособия издательства Народная асвета.