Номер 3.64, страница 238 - гдз по алгебре 10 класс учебник Арефьева, Пирютко

Алгебра, 10 класс Учебник, авторы: Арефьева Ирина Глебовна, Пирютко Ольга Николаевна, издательство Народная асвета, Минск, 2019, голубого цвета

Авторы: Арефьева И. Г., Пирютко О. Н.

Тип: Учебник

Издательство: Народная асвета

Год издания: 2019 - 2026

Цвет обложки: голубой с графиком

Допущено Министерством образования Республики Беларусь

Популярные ГДЗ в 10 классе

Глава 3. Производная. Параграф 19. Правила вычисления производных - номер 3.64, страница 238.

№3.64 (с. 238)
Условие. №3.64 (с. 238)
скриншот условия
Алгебра, 10 класс Учебник, авторы: Арефьева Ирина Глебовна, Пирютко Ольга Николаевна, издательство Народная асвета, Минск, 2019, голубого цвета, страница 238, номер 3.64, Условие

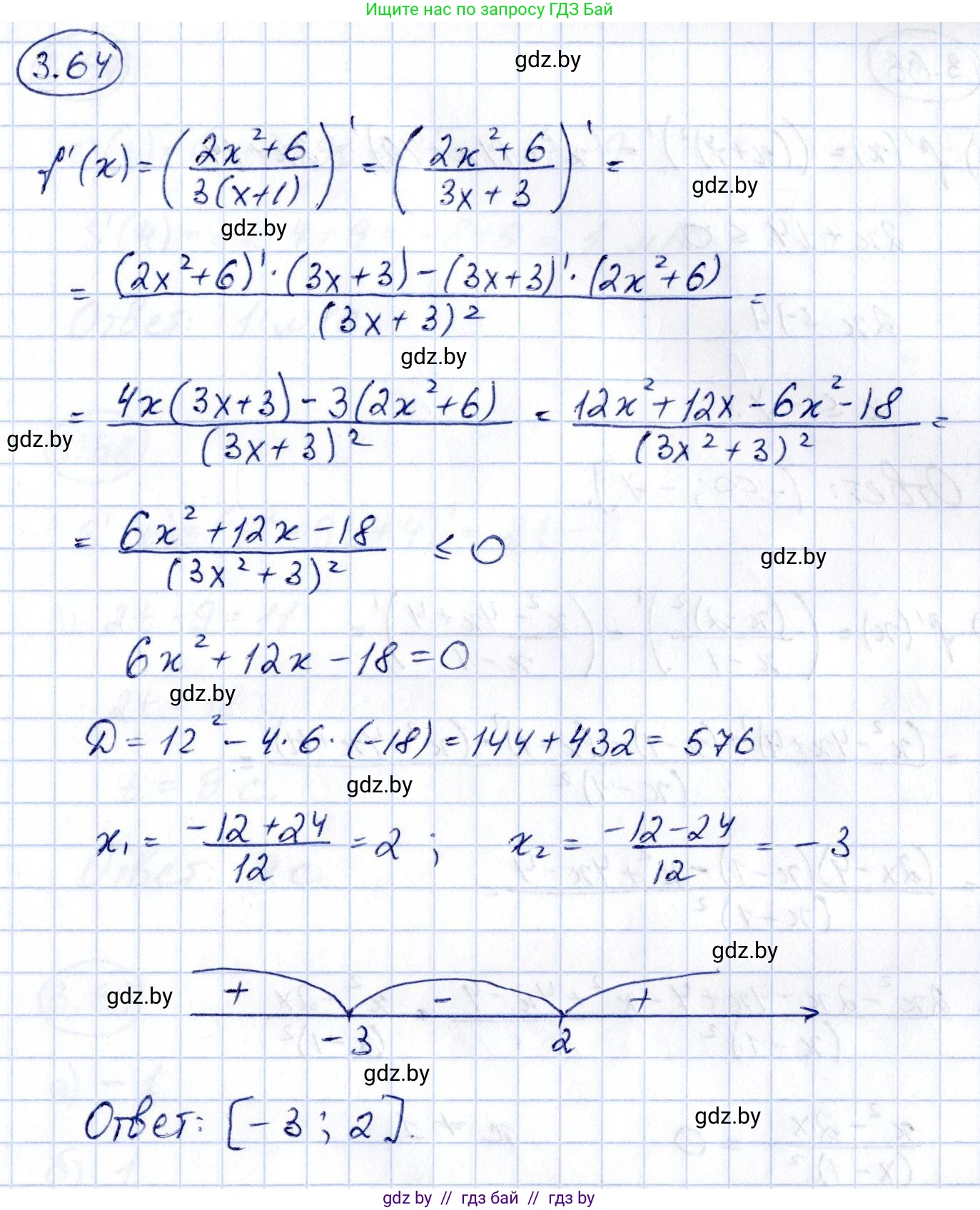
3.64. Решите неравенство $f'(x) \leq 0$, если $f(x) = \frac{2x^2 + 6}{3(x+1)}$.

Решение. №3.64 (с. 238)
Алгебра, 10 класс Учебник, авторы: Арефьева Ирина Глебовна, Пирютко Ольга Николаевна, издательство Народная асвета, Минск, 2019, голубого цвета, страница 238, номер 3.64, Решение
Решение 2. №3.64 (с. 238)

Чтобы решить неравенство $f'(x) \le 0$, сначала необходимо найти производную функции $f(x) = \frac{2x^2 + 6}{3(x + 1)}$.

Шаг 1: Нахождение производной $f'(x)$

Функция является частным, поэтому для нахождения производной применим правило дифференцирования частного:

$(\frac{u}{v})' = \frac{u'v - uv'}{v^2}$

Обозначим $u(x) = 2x^2 + 6$ и $v(x) = 3(x + 1) = 3x + 3$.

Найдем производные числителя и знаменателя:

  • $u'(x) = (2x^2 + 6)' = 4x$
  • $v'(x) = (3x + 3)' = 3$

Теперь подставим найденные производные в формулу:

$f'(x) = \frac{(4x)(3(x+1)) - (2x^2 + 6)(3)}{(3(x+1))^2} = \frac{12x(x+1) - 6x^2 - 18}{9(x+1)^2}$

Упростим выражение в числителе:

$f'(x) = \frac{12x^2 + 12x - 6x^2 - 18}{9(x+1)^2} = \frac{6x^2 + 12x - 18}{9(x+1)^2}$

Вынесем общий множитель 6 в числителе и сократим дробь на 3:

$f'(x) = \frac{6(x^2 + 2x - 3)}{9(x+1)^2} = \frac{2(x^2 + 2x - 3)}{3(x+1)^2}$

Разложим квадратный трехчлен $x^2 + 2x - 3$ на множители. Для этого найдем корни уравнения $x^2 + 2x - 3 = 0$. Используя теорему Виета, находим корни $x_1 = 1$ и $x_2 = -3$.

Таким образом, $x^2 + 2x - 3 = (x-1)(x+3)$.

Окончательный вид производной:

$f'(x) = \frac{2(x-1)(x+3)}{3(x+1)^2}$

Шаг 2: Решение неравенства $f'(x) \le 0$

Подставим выражение для производной в неравенство:

$\frac{2(x-1)(x+3)}{3(x+1)^2} \le 0$

Сначала определим область допустимых значений (ОДЗ). Знаменатель дроби не может быть равен нулю:

$3(x+1)^2 \neq 0 \implies x+1 \neq 0 \implies x \neq -1$

Теперь решим само неравенство. Множитель $\frac{2}{3}$ является положительной константой и не влияет на знак неравенства. Знаменатель $(x+1)^2$ всегда положителен при любом $x$ из ОДЗ. Следовательно, знак всей дроби определяется знаком числителя $(x-1)(x+3)$.

Таким образом, исходное неравенство равносильно системе:

$\begin{cases} (x-1)(x+3) \le 0 \\ x \neq -1 \end{cases}$

Решим квадратичное неравенство $(x-1)(x+3) \le 0$ методом интервалов. Нулями выражения являются точки $x=1$ и $x=-3$. Эти точки разбивают числовую прямую на три интервала. График функции $y=(x-1)(x+3)$ — это парабола с ветвями, направленными вверх. Значения функции будут не положительны (меньше или равны нулю) между корнями, включая сами корни.

Решением неравенства является отрезок $x \in [-3, 1]$.

Наконец, учтем ОДЗ, исключив точку $x = -1$ из полученного отрезка.

Итоговое решение:

$x \in [-3, -1) \cup (-1, 1]$

Ответ: $x \in [-3, -1) \cup (-1, 1]$.

Помогло решение? Оставьте отзыв в комментариях ниже.

Присоединяйтесь к Телеграм-группе @gdz_by_belarus

Присоединиться

Мы подготовили для вас ответ c подробным объяснением домашего задания по алгебре за 10 класс, для упражнения номер 3.64 расположенного на странице 238 к учебнику 2019 года издания для учащихся школ и гимназий.

Теперь на нашем сайте ГДЗ.ТОП вы всегда легко и бесплатно найдёте условие с правильным ответом на вопрос «Как решить ДЗ» и «Как сделать» задание по алгебре к упражнению №3.64 (с. 238), авторов: Арефьева (Ирина Глебовна), Пирютко (Ольга Николаевна), учебного пособия издательства Народная асвета.