Номер 3.66, страница 238 - гдз по алгебре 10 класс учебник Арефьева, Пирютко

Алгебра, 10 класс Учебник, авторы: Арефьева Ирина Глебовна, Пирютко Ольга Николаевна, издательство Народная асвета, Минск, 2019, голубого цвета

Авторы: Арефьева И. Г., Пирютко О. Н.

Тип: Учебник

Издательство: Народная асвета

Год издания: 2019 - 2026

Цвет обложки: голубой с графиком

Допущено Министерством образования Республики Беларусь

Глава 3. Производная. Параграф 19. Правила вычисления производных - номер 3.66, страница 238.

№3.66 (с. 238)
Условие. №3.66 (с. 238)
скриншот условия
Алгебра, 10 класс Учебник, авторы: Арефьева Ирина Глебовна, Пирютко Ольга Николаевна, издательство Народная асвета, Минск, 2019, голубого цвета, страница 238, номер 3.66, Условие

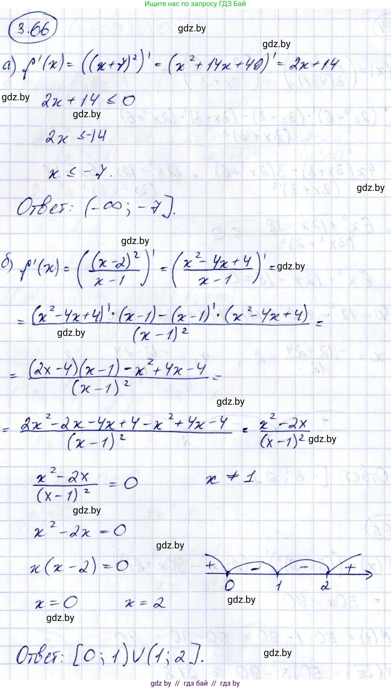
3.66. Решите неравенство $f'(x) \leq 0$, если:

a)

$f(x) = (x+7)^2$;

б)

$f(x) = \frac{(x-2)^2}{x-1}$.

Решение. №3.66 (с. 238)
Алгебра, 10 класс Учебник, авторы: Арефьева Ирина Глебовна, Пирютко Ольга Николаевна, издательство Народная асвета, Минск, 2019, голубого цвета, страница 238, номер 3.66, Решение
Решение 2. №3.66 (с. 238)

Чтобы решить неравенство $f'(x) \le 0$, необходимо для каждой функции найти её производную $f'(x)$, а затем решить полученное неравенство.

а) Для функции $f(x) = (x+7)^2$.

1. Найдём производную функции. Это производная сложной функции, используем формулу $(u^2)'=2u \cdot u'$:

$f'(x) = ((x+7)^2)' = 2(x+7) \cdot (x+7)' = 2(x+7) \cdot 1 = 2x+14$.

2. Теперь решим неравенство $f'(x) \le 0$:

$2(x+7) \le 0$

Разделим обе части неравенства на 2:

$x+7 \le 0$

Перенесём 7 в правую часть, изменив знак:

$x \le -7$

Таким образом, решением неравенства является числовой промежуток $(-\infty, -7]$.

Ответ: $x \in (-\infty, -7]$.

б) Для функции $f(x) = \frac{(x-2)^2}{x-1}$.

1. Найдём производную функции, используя правило производной частного $(\frac{u}{v})' = \frac{u'v - uv'}{v^2}$.

Здесь $u(x) = (x-2)^2$ и $v(x) = x-1$.

Производные для них: $u'(x) = 2(x-2)$ и $v'(x) = 1$.

Подставляем в формулу:

$f'(x) = \frac{2(x-2)(x-1) - (x-2)^2 \cdot 1}{(x-1)^2}$

Упростим числитель, вынеся за скобки общий множитель $(x-2)$:

$f'(x) = \frac{(x-2) \cdot [2(x-1) - (x-2)]}{(x-1)^2} = \frac{(x-2)(2x-2-x+2)}{(x-1)^2} = \frac{x(x-2)}{(x-1)^2}$

2. Решим неравенство $f'(x) \le 0$:

$\frac{x(x-2)}{(x-1)^2} \le 0$

Решим это неравенство методом интервалов. Во-первых, определим область допустимых значений (ОДЗ): знаменатель дроби не может быть равен нулю, поэтому $(x-1)^2 \neq 0$, что означает $x \neq 1$.

Во-вторых, найдём нули числителя: $x(x-2)=0$, откуда $x=0$ или $x=2$. Эти точки входят в решение, так как неравенство нестрогое.

Нанесём на числовую прямую точки $0, 1, 2$. Точки $0$ и $2$ будут закрашенными, а точка $1$ — выколотой.

Определим знак выражения на полученных интервалах. Знаменатель $(x-1)^2$ всегда положителен (или равен нулю при $x=1$), поэтому знак всей дроби определяется знаком числителя $x(x-2)$.

  • Интервал $(-\infty, 0)$: $f'(x) > 0$
  • Интервал $(0, 1)$: $f'(x) < 0$
  • Интервал $(1, 2)$: $f'(x) < 0$
  • Интервал $(2, \infty)$: $f'(x) > 0$

Нас интересуют промежутки, где $f'(x) \le 0$. Это интервалы $(0, 1)$ и $(1, 2)$, а также точки $x=0$ и $x=2$, где производная равна нулю.

Объединив эти результаты, получаем решение: $x \in [0, 1) \cup (1, 2]$.

Ответ: $x \in [0, 1) \cup (1, 2]$.

Помогло решение? Оставьте отзыв в комментариях ниже.

Присоединяйтесь к Телеграм-группе @gdz_by_belarus

Присоединиться

Мы подготовили для вас ответ c подробным объяснением домашего задания по алгебре за 10 класс, для упражнения номер 3.66 расположенного на странице 238 к учебнику 2019 года издания для учащихся школ и гимназий.

Теперь на нашем сайте ГДЗ.ТОП вы всегда легко и бесплатно найдёте условие с правильным ответом на вопрос «Как решить ДЗ» и «Как сделать» задание по алгебре к упражнению №3.66 (с. 238), авторов: Арефьева (Ирина Глебовна), Пирютко (Ольга Николаевна), учебного пособия издательства Народная асвета.