Номер 3.62, страница 238 - гдз по алгебре 10 класс учебник Арефьева, Пирютко

Алгебра, 10 класс Учебник, авторы: Арефьева Ирина Глебовна, Пирютко Ольга Николаевна, издательство Народная асвета, Минск, 2019, голубого цвета

Авторы: Арефьева И. Г., Пирютко О. Н.

Тип: Учебник

Издательство: Народная асвета

Год издания: 2019 - 2026

Цвет обложки: голубой с графиком

Допущено Министерством образования Республики Беларусь

Глава 3. Производная. Параграф 19. Правила вычисления производных - номер 3.62, страница 238.

№3.62 (с. 238)
Условие. №3.62 (с. 238)
скриншот условия
Алгебра, 10 класс Учебник, авторы: Арефьева Ирина Глебовна, Пирютко Ольга Николаевна, издательство Народная асвета, Минск, 2019, голубого цвета, страница 238, номер 3.62, Условие

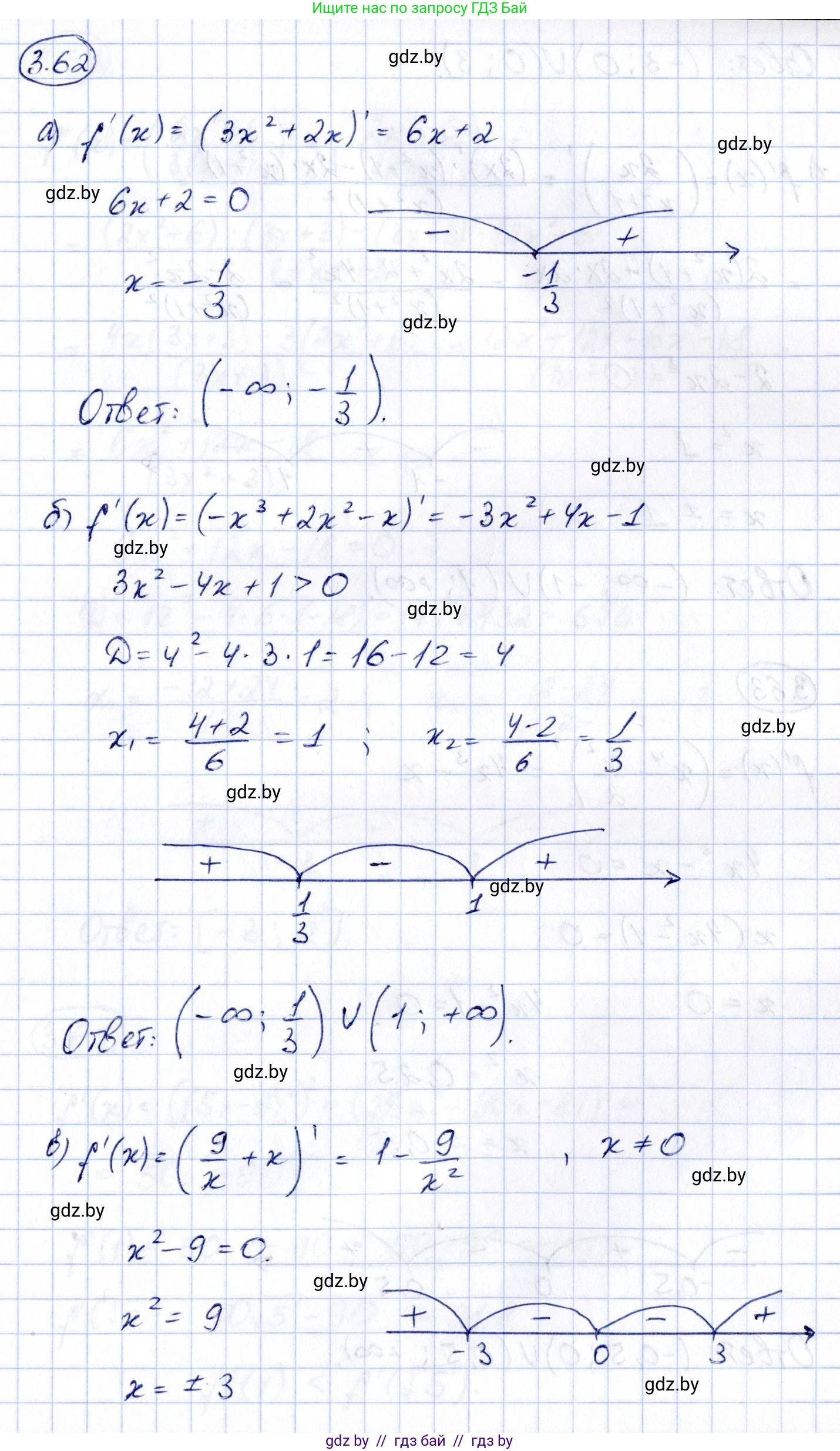
3.62. Решите неравенство $f'(x) < 0$, если:

а) $f(x) = 3x^2 + 2x$;

б) $f(x) = -x^3 + 2x^2 - x$;

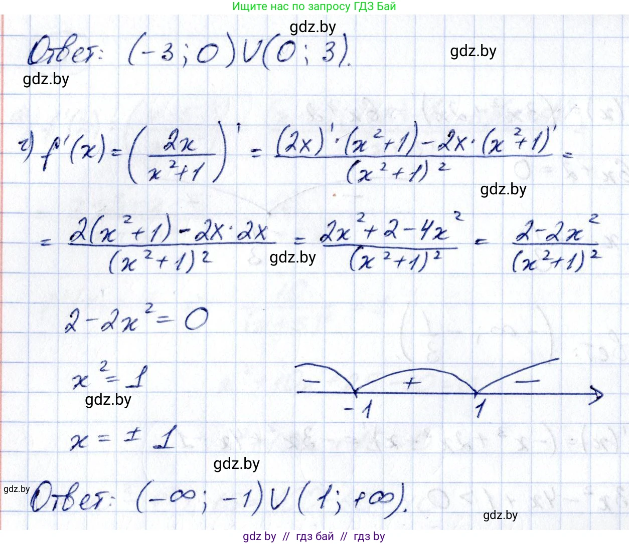
в) $f(x) = \frac{9}{x} + x$;

г) $f(x) = \frac{2x}{x^2 + 1}$.

Решение. №3.62 (с. 238)
Алгебра, 10 класс Учебник, авторы: Арефьева Ирина Глебовна, Пирютко Ольга Николаевна, издательство Народная асвета, Минск, 2019, голубого цвета, страница 238, номер 3.62, Решение Алгебра, 10 класс Учебник, авторы: Арефьева Ирина Глебовна, Пирютко Ольга Николаевна, издательство Народная асвета, Минск, 2019, голубого цвета, страница 238, номер 3.62, Решение (продолжение 2)
Решение 2. №3.62 (с. 238)

а) Для того чтобы решить неравенство $f'(x) < 0$, сначала найдем производную функции $f(x) = 3x^2 + 2x$.
Используя правило дифференцирования степенной функции $(x^n)' = nx^{n-1}$ и правило суммы, получаем:
$f'(x) = (3x^2 + 2x)' = 3 \cdot (x^2)' + 2 \cdot (x)' = 3 \cdot 2x + 2 \cdot 1 = 6x + 2$.
Теперь решим неравенство $f'(x) < 0$:
$6x + 2 < 0$
$6x < -2$
$x < -\frac{2}{6}$
$x < -\frac{1}{3}$
Ответ: $x \in (-\infty; -\frac{1}{3})$.

б) Найдем производную функции $f(x) = -x^3 + 2x^2 - x$:
$f'(x) = (-x^3 + 2x^2 - x)' = -3x^2 + 4x - 1$.
Решим неравенство $f'(x) < 0$:
$-3x^2 + 4x - 1 < 0$
Чтобы решить это квадратное неравенство, найдем корни соответствующего уравнения $-3x^2 + 4x - 1 = 0$. Умножим уравнение на -1 для удобства:
$3x^2 - 4x + 1 = 0$
Найдем дискриминант: $D = (-4)^2 - 4 \cdot 3 \cdot 1 = 16 - 12 = 4 = 2^2$.
Найдем корни:
$x_1 = \frac{4 - 2}{2 \cdot 3} = \frac{2}{6} = \frac{1}{3}$
$x_2 = \frac{4 + 2}{2 \cdot 3} = \frac{6}{6} = 1$
График функции $y = -3x^2 + 4x - 1$ — это парабола с ветвями, направленными вниз (т.к. коэффициент при $x^2$ отрицательный). Следовательно, значения функции меньше нуля ($<0$) находятся за пределами интервала между корнями.
Ответ: $x \in (-\infty; \frac{1}{3}) \cup (1; \infty)$.

в) Найдем производную функции $f(x) = \frac{9}{x} + x$. Область определения функции: $x \neq 0$.
Представим функцию в виде $f(x) = 9x^{-1} + x$.
$f'(x) = (9x^{-1} + x)' = 9 \cdot (-1)x^{-2} + 1 = -\frac{9}{x^2} + 1$.
Решим неравенство $f'(x) < 0$:
$1 - \frac{9}{x^2} < 0$
$1 < \frac{9}{x^2}$
Поскольку $x^2 > 0$ для всех $x$ из области определения, мы можем умножить обе части неравенства на $x^2$, не меняя знака неравенства:
$x^2 < 9$
$|x| < 3$
Это равносильно системе $-3 < x < 3$. Учитывая область определения ($x \neq 0$), получаем решение.
Ответ: $x \in (-3; 0) \cup (0; 3)$.

г) Найдем производную функции $f(x) = \frac{2x}{x^2+1}$, используя правило дифференцирования частного $(\frac{u}{v})' = \frac{u'v - uv'}{v^2}$.
Пусть $u(x) = 2x$ и $v(x) = x^2+1$. Тогда $u'(x) = 2$ и $v'(x) = 2x$.
$f'(x) = \frac{2(x^2+1) - 2x(2x)}{(x^2+1)^2} = \frac{2x^2 + 2 - 4x^2}{(x^2+1)^2} = \frac{2 - 2x^2}{(x^2+1)^2}$.
Решим неравенство $f'(x) < 0$:
$\frac{2 - 2x^2}{(x^2+1)^2} < 0$
Знаменатель $(x^2+1)^2$ всегда положителен при любом $x$. Следовательно, знак дроби зависит только от знака числителя:
$2 - 2x^2 < 0$
$2 < 2x^2$
$1 < x^2$
Это неравенство выполняется, когда $|x| > 1$, то есть $x < -1$ или $x > 1$.
Ответ: $x \in (-\infty; -1) \cup (1; \infty)$.

Помогло решение? Оставьте отзыв в комментариях ниже.

Присоединяйтесь к Телеграм-группе @gdz_by_belarus

Присоединиться

Мы подготовили для вас ответ c подробным объяснением домашего задания по алгебре за 10 класс, для упражнения номер 3.62 расположенного на странице 238 к учебнику 2019 года издания для учащихся школ и гимназий.

Теперь на нашем сайте ГДЗ.ТОП вы всегда легко и бесплатно найдёте условие с правильным ответом на вопрос «Как решить ДЗ» и «Как сделать» задание по алгебре к упражнению №3.62 (с. 238), авторов: Арефьева (Ирина Глебовна), Пирютко (Ольга Николаевна), учебного пособия издательства Народная асвета.