Номер 3.61, страница 238 - гдз по алгебре 10 класс учебник Арефьева, Пирютко

Алгебра, 10 класс Учебник, авторы: Арефьева Ирина Глебовна, Пирютко Ольга Николаевна, издательство Народная асвета, Минск, 2019, голубого цвета

Авторы: Арефьева И. Г., Пирютко О. Н.

Тип: Учебник

Издательство: Народная асвета

Год издания: 2019 - 2026

Цвет обложки: голубой с графиком

Допущено Министерством образования Республики Беларусь

Популярные ГДЗ в 10 классе

Глава 3. Производная. Параграф 19. Правила вычисления производных - номер 3.61, страница 238.

№3.61 (с. 238)
Условие. №3.61 (с. 238)
скриншот условия
Алгебра, 10 класс Учебник, авторы: Арефьева Ирина Глебовна, Пирютко Ольга Николаевна, издательство Народная асвета, Минск, 2019, голубого цвета, страница 238, номер 3.61, Условие

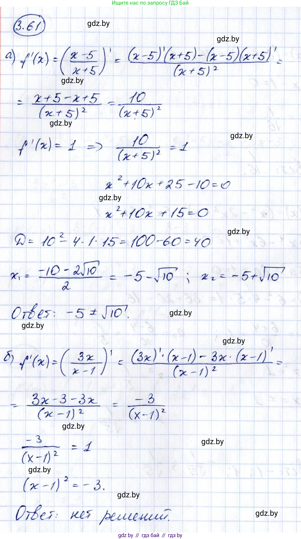
3.61. Решите уравнение $f'(x) = 1$, если:

а) $f(x) = \frac{x-5}{x+5}$;

б) $f(x) = \frac{3x}{x-1}$.

Решение. №3.61 (с. 238)
Алгебра, 10 класс Учебник, авторы: Арефьева Ирина Глебовна, Пирютко Ольга Николаевна, издательство Народная асвета, Минск, 2019, голубого цвета, страница 238, номер 3.61, Решение
Решение 2. №3.61 (с. 238)

a) Дана функция $f(x) = \frac{x-5}{x+5}$.

Для решения уравнения $f'(x) = 1$ необходимо сначала найти производную функции $f(x)$.

Будем использовать правило дифференцирования частного $(\frac{u}{v})' = \frac{u'v - uv'}{v^2}$.

В данном случае, пусть $u(x) = x-5$ и $v(x) = x+5$.

Тогда их производные равны: $u'(x) = 1$ и $v'(x) = 1$.

Подставим эти значения в формулу производной частного:

$f'(x) = \frac{1 \cdot (x+5) - (x-5) \cdot 1}{(x+5)^2}$

Упростим выражение в числителе:

$f'(x) = \frac{x+5 - x+5}{(x+5)^2} = \frac{10}{(x+5)^2}$

Теперь решим уравнение, приравняв производную к единице:

$f'(x) = 1 \implies \frac{10}{(x+5)^2} = 1$

При условии, что знаменатель не равен нулю ($x \neq -5$), мы можем умножить обе части на $(x+5)^2$:

$(x+5)^2 = 10$

Извлечем квадратный корень из обеих частей уравнения:

$x+5 = \sqrt{10}$ \quad или \quad $x+5 = -\sqrt{10}$

Отсюда находим два корня:

$x_1 = -5 + \sqrt{10}$

$x_2 = -5 - \sqrt{10}$

Оба корня являются решением уравнения.

Ответ: $x = -5 + \sqrt{10}; x = -5 - \sqrt{10}$.

б) Дана функция $f(x) = \frac{3x}{x-1}$.

Для решения уравнения $f'(x) = 1$ необходимо сначала найти производную функции $f(x)$.

Снова используем правило дифференцирования частного $(\frac{u}{v})' = \frac{u'v - uv'}{v^2}$.

В данном случае, пусть $u(x) = 3x$ и $v(x) = x-1$.

Тогда их производные равны: $u'(x) = 3$ и $v'(x) = 1$.

Подставим эти значения в формулу:

$f'(x) = \frac{3 \cdot (x-1) - 3x \cdot 1}{(x-1)^2}$

Упростим выражение в числителе:

$f'(x) = \frac{3x - 3 - 3x}{(x-1)^2} = \frac{-3}{(x-1)^2}$

Теперь решим уравнение, приравняв производную к единице:

$f'(x) = 1 \implies \frac{-3}{(x-1)^2} = 1$

При условии, что знаменатель не равен нулю ($x \neq 1$), мы можем умножить обе части на $(x-1)^2$:

$(x-1)^2 = -3$

Квадрат любого действительного числа $(x-1)^2$ всегда неотрицателен, т.е. $(x-1)^2 \ge 0$.

Уравнение, в котором неотрицательное число приравнивается к отрицательному числу (-3), не имеет решений в области действительных чисел.

Ответ: нет действительных корней.

Помогло решение? Оставьте отзыв в комментариях ниже.

Присоединяйтесь к Телеграм-группе @gdz_by_belarus

Присоединиться

Мы подготовили для вас ответ c подробным объяснением домашего задания по алгебре за 10 класс, для упражнения номер 3.61 расположенного на странице 238 к учебнику 2019 года издания для учащихся школ и гимназий.

Теперь на нашем сайте ГДЗ.ТОП вы всегда легко и бесплатно найдёте условие с правильным ответом на вопрос «Как решить ДЗ» и «Как сделать» задание по алгебре к упражнению №3.61 (с. 238), авторов: Арефьева (Ирина Глебовна), Пирютко (Ольга Николаевна), учебного пособия издательства Народная асвета.