Номер 3.48, страница 237 - гдз по алгебре 10 класс учебник Арефьева, Пирютко

Алгебра, 10 класс Учебник, авторы: Арефьева Ирина Глебовна, Пирютко Ольга Николаевна, издательство Народная асвета, Минск, 2019, голубого цвета

Авторы: Арефьева И. Г., Пирютко О. Н.

Тип: Учебник

Издательство: Народная асвета

Год издания: 2019 - 2026

Цвет обложки: голубой с графиком

Допущено Министерством образования Республики Беларусь

Популярные ГДЗ в 10 классе

Глава 3. Производная. Параграф 19. Правила вычисления производных - номер 3.48, страница 237.

№3.48 (с. 237)
Условие. №3.48 (с. 237)
скриншот условия
Алгебра, 10 класс Учебник, авторы: Арефьева Ирина Глебовна, Пирютко Ольга Николаевна, издательство Народная асвета, Минск, 2019, голубого цвета, страница 237, номер 3.48, Условие

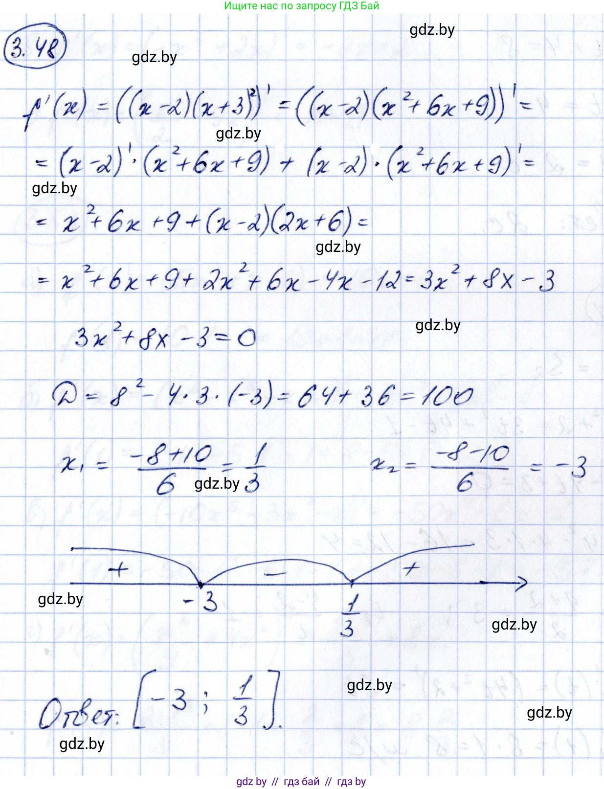
3.48. Решите неравенство $f'(x) \le 0$, если $f(x) = (x-2)(x+3)^2$.

Решение. №3.48 (с. 237)
Алгебра, 10 класс Учебник, авторы: Арефьева Ирина Глебовна, Пирютко Ольга Николаевна, издательство Народная асвета, Минск, 2019, голубого цвета, страница 237, номер 3.48, Решение
Решение 2. №3.48 (с. 237)

Для решения неравенства $f'(x) \le 0$ необходимо найти производную функции $f(x) = (x-2)(x+3)^2$.

1. Найдем производную функции, используя правило дифференцирования произведения $(u \cdot v)' = u'v + uv'$.

Пусть $u(x) = x-2$ и $v(x) = (x+3)^2$.

Тогда производные этих функций равны:

$u'(x) = (x-2)' = 1$

$v'(x) = ((x+3)^2)' = 2 \cdot (x+3) \cdot (x+3)' = 2(x+3) \cdot 1 = 2(x+3)$

Теперь найдем производную исходной функции $f(x)$:

$f'(x) = u'v + uv' = 1 \cdot (x+3)^2 + (x-2) \cdot 2(x+3)$

2. Упростим полученное выражение. Вынесем общий множитель $(x+3)$ за скобки:

$f'(x) = (x+3) \cdot [ (x+3) + 2(x-2) ]$

$f'(x) = (x+3) \cdot (x+3+2x-4)$

$f'(x) = (x+3)(3x-1)$

3. Теперь решим неравенство $f'(x) \le 0$:

$(x+3)(3x-1) \le 0$

Найдем корни выражения, приравняв его к нулю:

$(x+3)(3x-1) = 0$

$x+3 = 0 \Rightarrow x_1 = -3$

$3x-1 = 0 \Rightarrow 3x = 1 \Rightarrow x_2 = \frac{1}{3}$

Для решения неравенства используем метод интервалов. Нанесем корни на числовую ось, причем точки будут закрашенными, так как неравенство нестрогое ($\le$).

Определим знаки производной на полученных интервалах:

  • Интервал $(-\infty; -3)$: возьмем $x=-4$. $f'(-4) = (-4+3)(3(-4)-1) = (-1)(-13) = 13 > 0$.
  • Интервал $(-3; \frac{1}{3})$: возьмем $x=0$. $f'(0) = (0+3)(3(0)-1) = (3)(-1) = -3 < 0$.
  • Интервал $(\frac{1}{3}; +\infty)$: возьмем $x=1$. $f'(1) = (1+3)(3(1)-1) = (4)(2) = 8 > 0$.

Нам нужно найти промежуток, где $f'(x) \le 0$. Согласно методу интервалов, это промежуток между корнями, включая сами корни.

Решение неравенства $f'(x) \le 0$: Ответ: $x \in [-3; \frac{1}{3}]$

Помогло решение? Оставьте отзыв в комментариях ниже.

Присоединяйтесь к Телеграм-группе @gdz_by_belarus

Присоединиться

Мы подготовили для вас ответ c подробным объяснением домашего задания по алгебре за 10 класс, для упражнения номер 3.48 расположенного на странице 237 к учебнику 2019 года издания для учащихся школ и гимназий.

Теперь на нашем сайте ГДЗ.ТОП вы всегда легко и бесплатно найдёте условие с правильным ответом на вопрос «Как решить ДЗ» и «Как сделать» задание по алгебре к упражнению №3.48 (с. 237), авторов: Арефьева (Ирина Глебовна), Пирютко (Ольга Николаевна), учебного пособия издательства Народная асвета.