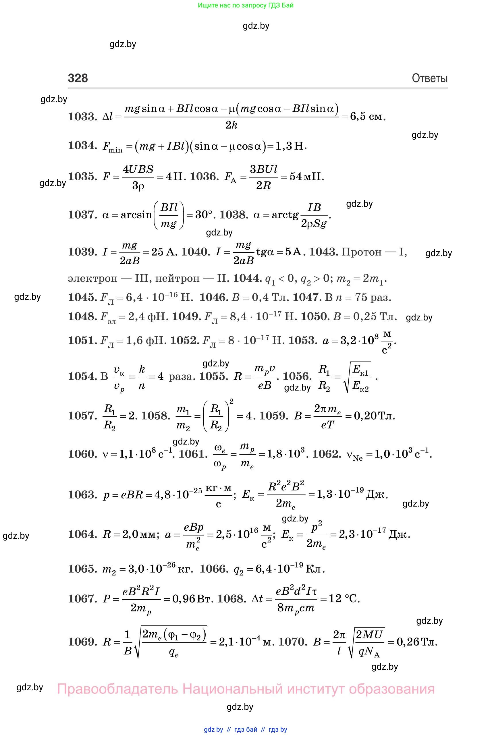
Страница 328 - гдз по физике 10 класс сборник задач Дорофейчик, Белая

Физика, 10 класс Сборник задач, авторы: Дорофейчик Владимир Владимирович, Белая Ольга Николаевна, издательство Национальный институт образования, Минск, 2022

Авторы: Дорофейчик В. В., Белая О. Н.

Тип: Сборник задач

Издательство: Национальный институт образования

Год издания: 2022 - 2026

Уровень обучения: базовый и повышенный

Цвет обложки: синий

ISBN: 978-985-893-022-6

Допущено Министерством образования Республики Беларусь

Популярные ГДЗ в 10 классе

Cтраница 328

Физика, 10 класс Сборник задач, авторы: Дорофейчик Владимир Владимирович, Белая Ольга Николаевна, издательство Национальный институт образования, Минск, 2022, страница 328
Ваш номер не отображается здесь?
Такое бывает: задание могло начаться на предыдущей или следующей странице.

Помогло решение? Оставьте отзыв в комментариях ниже.

Присоединяйтесь к Телеграм-группе @gdz_by_belarus

Присоединиться