Страница 250 - гдз по физике 10 класс учебник Громыко, Зенькович

Физика, 10 класс Учебник, авторы: Громыко Елена Владимировна, Зенькович Владимир Иванович, Луцевич Александр Александрович, Слесарь Инесса Эдуардовна, издательство Адукацыя i выхаванне, Минск, 2019, бирюзового цвета

Авторы: Громыко Е. В., Зенькович В. И., Луцевич А. А., Слесарь И. Э.

Тип: Учебник

Издательство: Адукацыя i выхаванне

Год издания: 2019 - 2026

Цвет обложки: бирюзовый

ISBN: 978-985-599-140-4

Допущено Министерством образования Республики Беларусь

Популярные ГДЗ в 10 классе

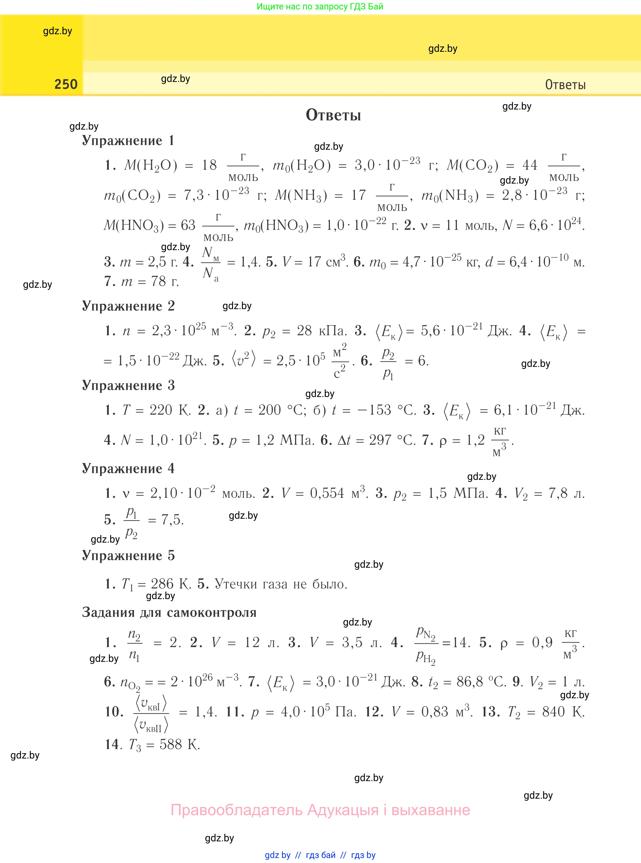
Cтраница 250

Физика, 10 класс Учебник, авторы: Громыко Елена Владимировна, Зенькович Владимир Иванович, Луцевич Александр Александрович, Слесарь Инесса Эдуардовна, издательство Адукацыя i выхаванне, Минск, 2019, бирюзового цвета, страница 250
Ваш номер не отображается здесь?
Такое бывает: задание могло начаться на предыдущей или следующей странице.

Помогло решение? Оставьте отзыв в комментариях ниже.

Присоединяйтесь к Телеграм-группе @gdz_by_belarus

Присоединиться