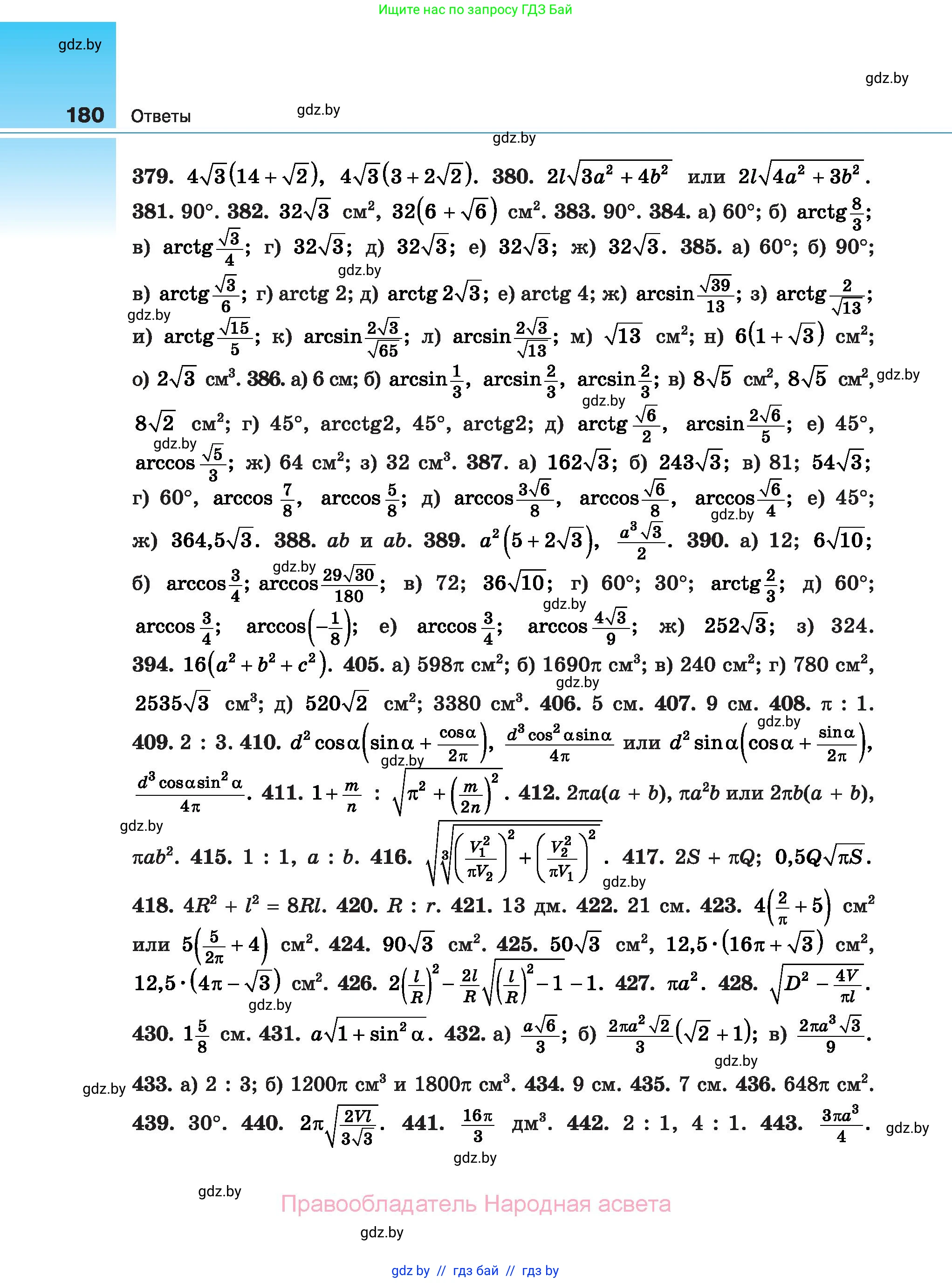
Страница 180 - гдз по геометрии 10 класс сборник задач Латотин, Чеботаревский

Геометрия, 10 класс Сборник задач, авторы: Латотин Леонид Александрович, Чеботаревский Борис Дмитриевич, издательство Народная асвета, Минск, 2021

Авторы: Латотин Л. А., Чеботаревский Б. Д.

Тип: Сборник задач

Издательство: Народная асвета

Год издания: 2021 - 2026

Уровень обучения: базовый и повышенный

ISBN: 978-985-03-3704-7

Допущено Министерством образования Республики Беларусь

Популярные ГДЗ в 10 классе

Cтраница 180

Геометрия, 10 класс Сборник задач, авторы: Латотин Леонид Александрович, Чеботаревский Борис Дмитриевич, издательство Народная асвета, Минск, 2021, страница 180
Ваш номер не отображается здесь?
Такое бывает: задание могло начаться на предыдущей или следующей странице.

Помогло решение? Оставьте отзыв в комментариях ниже.

Присоединяйтесь к Телеграм-группе @gdz_by_belarus

Присоединиться