Номер 294, страница 116 - гдз по геометрии 10 класс учебник Латотин, Чеботаревский

Геометрия, 10 класс Учебник, авторы: Латотин Леонид Александрович, Чеботаревский Борис Дмитриевич, Горбунова Ирина Владимировна, издательство Адукацыя i выхаванне, Минск, 2020, белого цвета

Авторы: Латотин Л. А., Чеботаревский Б. Д., Горбунова И. В.

Тип: Учебник

Издательство: Адукацыя i выхаванне

Год издания: 2020 - 2026

Уровень обучения: базовый и повышенный

Цвет обложки: белый в клеточку

Допущено Министерством образования Республики Беларусь

Раздел 3. Перпендикулярность прямых и плоскостей. Параграф 9. Угол между прямой и плоскостью. Задания - номер 294, страница 116.

№294 (с. 116)
Условие. №294 (с. 116)
скриншот условия
Геометрия, 10 класс Учебник, авторы: Латотин Леонид Александрович, Чеботаревский Борис Дмитриевич, Горбунова Ирина Владимировна, издательство Адукацыя i выхаванне, Минск, 2020, белого цвета, страница 116, номер 294, Условие

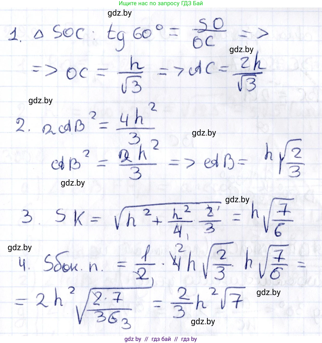
294. Вершина правильной четырёхугольной пирамиды отстоит от плоскости основания на $h$, а её боковые рёбра образуют с плоскостью основания углы в $60^\circ$. Найдите боковую поверхность пирамиды.

Решение 2. №294 (с. 116)
Геометрия, 10 класс Учебник, авторы: Латотин Леонид Александрович, Чеботаревский Борис Дмитриевич, Горбунова Ирина Владимировна, издательство Адукацыя i выхаванне, Минск, 2020, белого цвета, страница 116, номер 294, Решение 2 Геометрия, 10 класс Учебник, авторы: Латотин Леонид Александрович, Чеботаревский Борис Дмитриевич, Горбунова Ирина Владимировна, издательство Адукацыя i выхаванне, Минск, 2020, белого цвета, страница 116, номер 294, Решение 2 (продолжение 2)
Решение 3. №294 (с. 116)

Пусть дана правильная четырёхугольная пирамида $SABCD$, где $S$ — вершина, а $ABCD$ — квадрат в основании. Высота пирамиды $SO$ (где $O$ — центр квадрата) по условию равна $h$.

Боковые рёбра, например $SA$, образуют с плоскостью основания угол в $60^\circ$. Этот угол равен углу между самим ребром и его проекцией на плоскость основания. Проекцией ребра $SA$ на плоскость $(ABC)$ является отрезок $AO$. Следовательно, $\angle SAO = 60^\circ$.

Площадь боковой поверхности $S_{бок}$ правильной пирамиды вычисляется по формуле $S_{бок} = \frac{1}{2} P \cdot l$, где $P$ — периметр основания, а $l$ — апофема (высота боковой грани). Для решения задачи нам необходимо найти сторону основания и апофему.

1. Нахождение стороны основания (a)

Рассмотрим прямоугольный треугольник $\triangle SAO$. Мы знаем катет $SO = h$ и угол $\angle SAO = 60^\circ$. Найдём катет $AO$: $\tan(\angle SAO) = \frac{SO}{AO}$ $\tan(60^\circ) = \frac{h}{AO}$ Так как $\tan(60^\circ) = \sqrt{3}$, то: $\sqrt{3} = \frac{h}{AO} \Rightarrow AO = \frac{h}{\sqrt{3}}$

$AO$ является половиной диагонали $AC$ квадрата $ABCD$. Значит, $AC = 2 \cdot AO = \frac{2h}{\sqrt{3}}$. Диагональ квадрата $d$ связана с его стороной $a$ формулой $d = a\sqrt{2}$. $a\sqrt{2} = \frac{2h}{\sqrt{3}}$ Отсюда выражаем $a$: $a = \frac{2h}{\sqrt{3} \cdot \sqrt{2}} = \frac{2h}{\sqrt{6}} = \frac{2h\sqrt{6}}{6} = \frac{h\sqrt{6}}{3}$

2. Нахождение апофемы (l)

Апофема $l$ — это высота боковой грани, проведённая из вершины пирамиды $S$ к стороне основания. Пусть $SK$ — апофема, проведённая к стороне $AB$. Рассмотрим прямоугольный треугольник $\triangle SOK$. Катет $SO = h$. Катет $OK$ — это расстояние от центра квадрата до его стороны, он равен половине стороны основания: $OK = \frac{a}{2}$. $OK = \frac{1}{2} \cdot \frac{h\sqrt{6}}{3} = \frac{h\sqrt{6}}{6}$. По теореме Пифагора в $\triangle SOK$: $l^2 = SK^2 = SO^2 + OK^2$ $l^2 = h^2 + \left(\frac{h\sqrt{6}}{6}\right)^2 = h^2 + \frac{6h^2}{36} = h^2 + \frac{h^2}{6} = \frac{6h^2 + h^2}{6} = \frac{7h^2}{6}$ $l = \sqrt{\frac{7h^2}{6}} = \frac{h\sqrt{7}}{\sqrt{6}} = \frac{h\sqrt{42}}{6}$

3. Вычисление площади боковой поверхности

Периметр основания $P$ равен $4a$: $P = 4 \cdot \frac{h\sqrt{6}}{3} = \frac{4h\sqrt{6}}{3}$. Теперь можем вычислить площадь боковой поверхности: $S_{бок} = \frac{1}{2} P \cdot l = \frac{1}{2} \cdot \frac{4h\sqrt{6}}{3} \cdot \frac{h\sqrt{42}}{6}$ $S_{бок} = \frac{2h\sqrt{6}}{3} \cdot \frac{h\sqrt{42}}{6} = \frac{2h^2\sqrt{6 \cdot 42}}{18} = \frac{h^2\sqrt{252}}{9}$ Упростим выражение под корнем: $\sqrt{252} = \sqrt{36 \cdot 7} = 6\sqrt{7}$. $S_{бок} = \frac{h^2 \cdot 6\sqrt{7}}{9} = \frac{2h^2\sqrt{7}}{3}$

Ответ: $\frac{2h^2\sqrt{7}}{3}$

Помогло решение? Оставьте отзыв в комментариях ниже.

Присоединяйтесь к Телеграм-группе @gdz_by_belarus

Присоединиться

Мы подготовили для вас ответ c подробным объяснением домашего задания по геометрии за 10 класс, для упражнения номер 294 расположенного на странице 116 к учебнику 2020 года издания для учащихся школ и гимназий.

Теперь на нашем сайте ГДЗ.ТОП вы всегда легко и бесплатно найдёте условие с правильным ответом на вопрос «Как решить ДЗ» и «Как сделать» задание по геометрии к упражнению №294 (с. 116), авторов: Латотин (Леонид Александрович), Чеботаревский (Борис Дмитриевич), Горбунова (Ирина Владимировна), базовый и повышенный уровень обучения учебного пособия издательства Адукацыя i выхаванне.