Номер 439, страница 160 - гдз по геометрии 10 класс учебник Латотин, Чеботаревский

Геометрия, 10 класс Учебник, авторы: Латотин Леонид Александрович, Чеботаревский Борис Дмитриевич, Горбунова Ирина Владимировна, издательство Адукацыя i выхаванне, Минск, 2020, белого цвета

Авторы: Латотин Л. А., Чеботаревский Б. Д., Горбунова И. В.

Тип: Учебник

Издательство: Адукацыя i выхаванне

Год издания: 2020 - 2026

Уровень обучения: базовый и повышенный

Цвет обложки: белый в клеточку

Допущено Министерством образования Республики Беларусь

Популярные ГДЗ в 10 классе

Раздел 4. Координаты и векторы в пространстве. Параграф 13. Скалярное произведение векторов. Задания - номер 439, страница 160.

№439 (с. 160)
Условие. №439 (с. 160)
скриншот условия
Геометрия, 10 класс Учебник, авторы: Латотин Леонид Александрович, Чеботаревский Борис Дмитриевич, Горбунова Ирина Владимировна, издательство Адукацыя i выхаванне, Минск, 2020, белого цвета, страница 160, номер 439, Условие

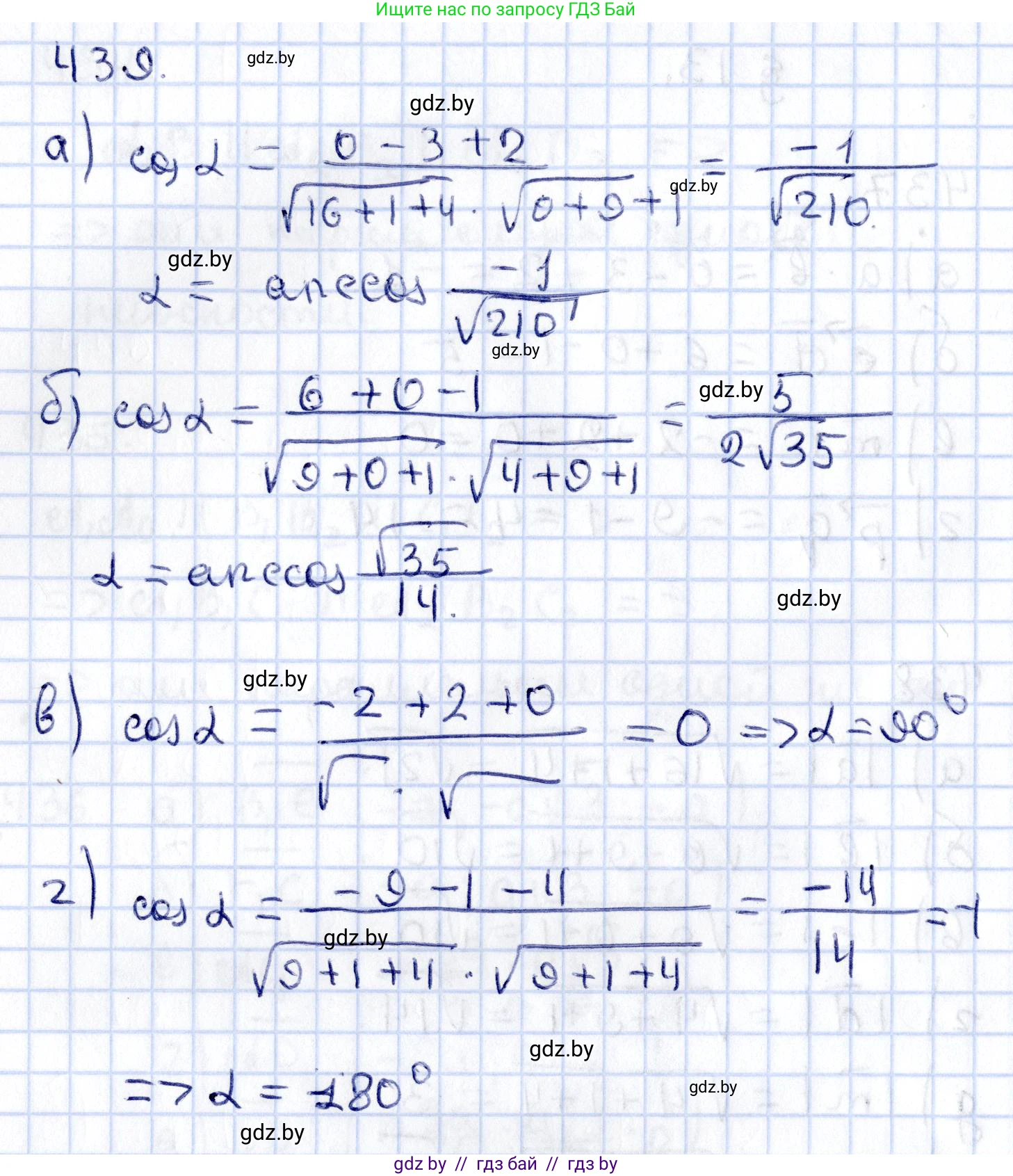
439. Найдите угол между векторами:

а) $\vec{a}(4; -1; -2)$ и $\vec{b}(0; 3; -1)$;

б) $\vec{c}(3; 0; -1)$ и $\vec{d}(2; 3; 1)$;

в) $\vec{m}(2; 1; 2)$ и $\vec{n}(-1; 2; 0)$;

г) $\vec{p}(-3; -1; 2)$ и $\vec{q}(3; 1; -2)$.

Решение 2. №439 (с. 160)
Геометрия, 10 класс Учебник, авторы: Латотин Леонид Александрович, Чеботаревский Борис Дмитриевич, Горбунова Ирина Владимировна, издательство Адукацыя i выхаванне, Минск, 2020, белого цвета, страница 160, номер 439, Решение 2
Решение 3. №439 (с. 160)

Для нахождения угла $\alpha$ между двумя векторами $\vec{u}(x_1; y_1; z_1)$ и $\vec{v}(x_2; y_2; z_2)$ используется формула, основанная на скалярном произведении векторов:
$\cos(\alpha) = \frac{\vec{u} \cdot \vec{v}}{|\vec{u}| \cdot |\vec{v}|} = \frac{x_1x_2 + y_1y_2 + z_1z_2}{\sqrt{x_1^2 + y_1^2 + z_1^2} \cdot \sqrt{x_2^2 + y_2^2 + z_2^2}}$.

а) Найдем угол между векторами $\vec{a}(4; -1; -2)$ и $\vec{b}(0; 3; -1)$.
Вычислим скалярное произведение:
$\vec{a} \cdot \vec{b} = 4 \cdot 0 + (-1) \cdot 3 + (-2) \cdot (-1) = 0 - 3 + 2 = -1$.
Вычислим модули (длины) векторов:
$|\vec{a}| = \sqrt{4^2 + (-1)^2 + (-2)^2} = \sqrt{16 + 1 + 4} = \sqrt{21}$.
$|\vec{b}| = \sqrt{0^2 + 3^2 + (-1)^2} = \sqrt{0 + 9 + 1} = \sqrt{10}$.
Найдем косинус угла:
$\cos(\alpha) = \frac{-1}{\sqrt{21} \cdot \sqrt{10}} = -\frac{1}{\sqrt{210}}$.
Следовательно, угол $\alpha = \arccos\left(-\frac{1}{\sqrt{210}}\right)$.
Ответ: $\arccos\left(-\frac{1}{\sqrt{210}}\right)$.

б) Найдем угол между векторами $\vec{c}(3; 0; -1)$ и $\vec{d}(2; 3; 1)$.
Вычислим скалярное произведение:
$\vec{c} \cdot \vec{d} = 3 \cdot 2 + 0 \cdot 3 + (-1) \cdot 1 = 6 + 0 - 1 = 5$.
Вычислим модули векторов:
$|\vec{c}| = \sqrt{3^2 + 0^2 + (-1)^2} = \sqrt{9 + 0 + 1} = \sqrt{10}$.
$|\vec{d}| = \sqrt{2^2 + 3^2 + 1^2} = \sqrt{4 + 9 + 1} = \sqrt{14}$.
Найдем косинус угла:
$\cos(\alpha) = \frac{5}{\sqrt{10} \cdot \sqrt{14}} = \frac{5}{\sqrt{140}} = \frac{5}{\sqrt{4 \cdot 35}} = \frac{5}{2\sqrt{35}}$.
Следовательно, угол $\alpha = \arccos\left(\frac{5}{2\sqrt{35}}\right)$.
Ответ: $\arccos\left(\frac{5}{2\sqrt{35}}\right)$.

в) Найдем угол между векторами $\vec{m}(2; 1; 2)$ и $\vec{n}(-1; 2; 0)$.
Вычислим скалярное произведение:
$\vec{m} \cdot \vec{n} = 2 \cdot (-1) + 1 \cdot 2 + 2 \cdot 0 = -2 + 2 + 0 = 0$.
Поскольку скалярное произведение равно нулю, а векторы не являются нулевыми ($|\vec{m}|=3$, $|\vec{n}|=\sqrt{5}$), они перпендикулярны.
$\cos(\alpha) = 0$, следовательно, угол $\alpha = 90^\circ$.
Ответ: $90^\circ$.

г) Найдем угол между векторами $\vec{p}(-3; -1; 2)$ и $\vec{q}(3; 1; -2)$.
Вычислим скалярное произведение:
$\vec{p} \cdot \vec{q} = (-3) \cdot 3 + (-1) \cdot 1 + 2 \cdot (-2) = -9 - 1 - 4 = -14$.
Вычислим модули векторов:
$|\vec{p}| = \sqrt{(-3)^2 + (-1)^2 + 2^2} = \sqrt{9 + 1 + 4} = \sqrt{14}$.
$|\vec{q}| = \sqrt{3^2 + 1^2 + (-2)^2} = \sqrt{9 + 1 + 4} = \sqrt{14}$.
Найдем косинус угла:
$\cos(\alpha) = \frac{-14}{\sqrt{14} \cdot \sqrt{14}} = \frac{-14}{14} = -1$.
Следовательно, угол $\alpha = \arccos(-1) = 180^\circ$. (Векторы коллинеарны и противоположно направлены, так как $\vec{q} = -1 \cdot \vec{p}$).
Ответ: $180^\circ$.

Помогло решение? Оставьте отзыв в комментариях ниже.

Присоединяйтесь к Телеграм-группе @gdz_by_belarus

Присоединиться

Мы подготовили для вас ответ c подробным объяснением домашего задания по геометрии за 10 класс, для упражнения номер 439 расположенного на странице 160 к учебнику 2020 года издания для учащихся школ и гимназий.

Теперь на нашем сайте ГДЗ.ТОП вы всегда легко и бесплатно найдёте условие с правильным ответом на вопрос «Как решить ДЗ» и «Как сделать» задание по геометрии к упражнению №439 (с. 160), авторов: Латотин (Леонид Александрович), Чеботаревский (Борис Дмитриевич), Горбунова (Ирина Владимировна), базовый и повышенный уровень обучения учебного пособия издательства Адукацыя i выхаванне.