Номер 96, страница 47 - гдз по геометрии 10 класс учебник Латотин, Чеботаревский
Авторы: Латотин Л. А., Чеботаревский Б. Д., Горбунова И. В.
Тип: Учебник
Издательство: Адукацыя i выхаванне
Год издания: 2020 - 2026
Уровень обучения: базовый и повышенный
Цвет обложки: белый в клеточку
Допущено Министерством образования Республики Беларусь
Популярные ГДЗ в 10 классе
Раздел 1. Введение в стериометрию. Параграф 3. Построение сечений многогранников. Задания - номер 96, страница 47.
№96 (с. 47)
Условие. №96 (с. 47)
скриншот условия
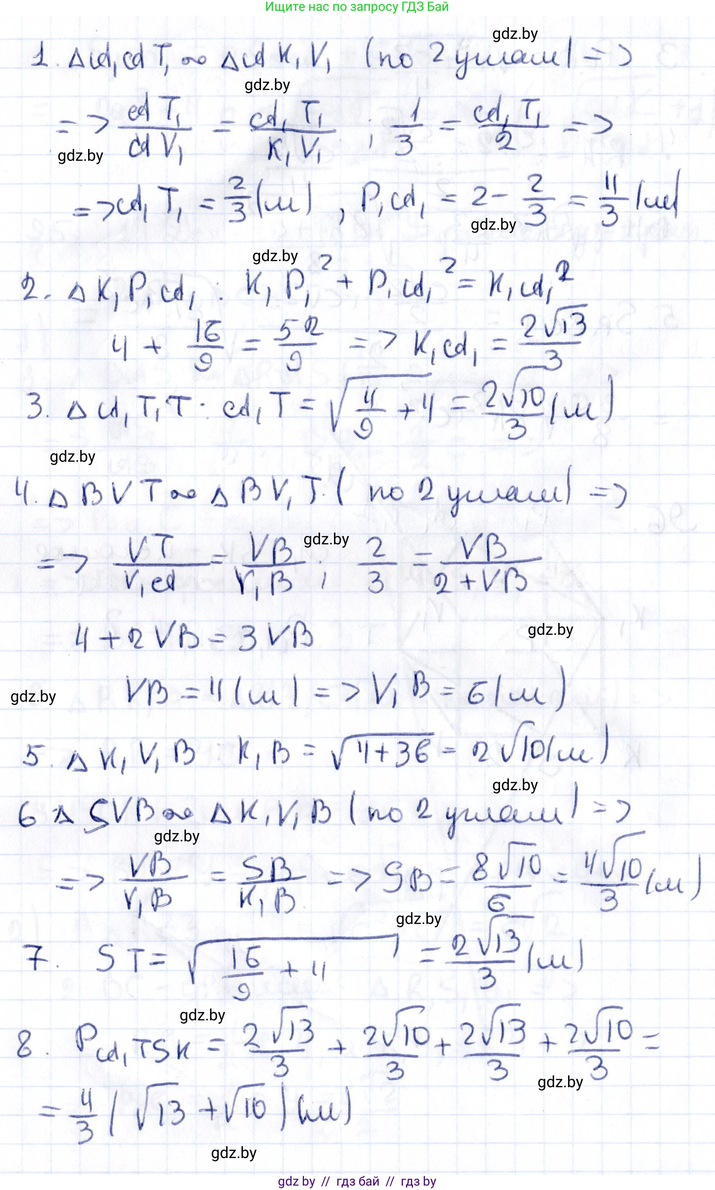
96*. Изобразите куб $KPTVK_1P_1T_1V_1$ и постройте его сечение плоскостью, проходящей через прямую $K_1T$ и такую точку $A$ луча $V_1T_1$, что вершина $T_1$ делит отрезок $V_1A$ в соотношении $2 : 1$, если считать от точки $V_1$. Найдите периметр этого сечения, учитывая, что ребро куба равно 2 м.
Решение 1. №96 (с. 47)
Решение 2. №96 (с. 47)
Решение 3. №96 (с. 47)
Построение сечения
Введем прямоугольную систему координат с началом в вершине $V$ и осями, направленными вдоль ребер $VK$, $VT$ и $VV₁$. Так как ребро куба равно 2 м, вершины имеют следующие координаты:
$V(0, 0, 0)$, $K(2, 0, 0)$, $P(2, 2, 0)$, $T(0, 2, 0)$
$V₁(0, 0, 2)$, $K₁(2, 0, 2)$, $P₁(2, 2, 2)$, $T₁(0, 2, 2)$
Секущая плоскость проходит через прямую $K₁T$ и точку $A$ на луче $V₁T₁$. По условию, вершина $T₁$ делит отрезок $V₁A$ в отношении 2:1, считая от точки $V₁$. Это означает, что $V₁T₁ : T₁A = 2 : 1$. Длина ребра куба $V₁T₁ = 2$ м. Следовательно, $2 : T₁A = 2 : 1$, откуда $T₁A = 1$ м. Точка $A$ лежит на продолжении ребра $V₁T₁$ за точку $T₁$. Найдем ее координаты. Вектор $\vec{V₁T₁}$ имеет координаты $(0, 2, 0)$. Точка $A$ находится на луче $V₁T₁$, значит вектор $\vec{T₁A}$ сонаправлен с $\vec{V₁T₁}$ и его длина равна 1. $A = T₁ + \frac{1}{2}\vec{V₁T₁} = (0, 2, 2) + \frac{1}{2}(0, 2, 0) = (0, 2, 2) + (0, 1, 0) = (0, 3, 2)$.
Секущая плоскость $\alpha$ задается тремя точками: $K₁(2, 0, 2)$, $T(0, 2, 0)$ и $A(0, 3, 2)$. Для построения сечения найдем точки пересечения плоскости $\alpha$ с ребрами куба.
1. Точки $T$ и $K₁$ — вершины куба, через которые проходит секущая плоскость.
2. Найдем линию пересечения (след) плоскости $\alpha$ с плоскостью верхней грани $K₁P₁T₁V₁$ (плоскость $z=2$). Этот след проходит через точки $K₁(2, 0, 2)$ и $A(0, 3, 2)$, которые лежат в плоскости $z=2$. Прямая $K₁A$ пересекает ребро $P₁T₁$. Уравнение прямой $K₁A$ в плоскости $z=2$: $\frac{x-2}{0-2} = \frac{y-0}{3-0}$, что дает $3(x-2) = -2y$ или $3x+2y=6$. Ребро $P₁T₁$ лежит на прямой $y=2$ (для $0 \le x \le 2$). Подставим $y=2$ в уравнение прямой $K₁A$: $3x + 2(2) = 6 \Rightarrow 3x = 2 \Rightarrow x = \frac{2}{3}$. Точка пересечения $M$ имеет координаты $(\frac{2}{3}, 2, 2)$. Так как $0 \le \frac{2}{3} \le 2$, точка $M$ лежит на ребре $P₁T₁$. Отрезок $K₁M$ — сторона сечения.
3. Точки $M(\frac{2}{3}, 2, 2)$ и $T(0, 2, 0)$ обе лежат в плоскости грани $PP₁T₁T$ (плоскость $y=2$). Следовательно, отрезок $MT$ — это сторона сечения.
4. Для нахождения остальных вершин сечения составим уравнение плоскости $\alpha$. Используем векторы $\vec{TK₁} = (2, -2, 2)$ и $\vec{TA} = (0, 1, 2)$. Нормальный вектор к плоскости: $\vec{n} = \vec{TK₁} \times \vec{TA} = (-6, -4, 2)$. В качестве нормали можно взять пропорциональный вектор $(3, 2, -1)$. Уравнение плоскости: $3x + 2y - z + D = 0$. Подставим координаты точки $T(0, 2, 0)$: $3(0) + 2(2) - 0 + D = 0 \Rightarrow D = -4$. Уравнение плоскости $\alpha$: $3x + 2y - z - 4 = 0$. Найдем точку пересечения $N$ с ребром $VK$ (прямая $y=0, z=0$): $3x + 2(0) - 0 - 4 = 0 \Rightarrow 3x=4 \Rightarrow x=\frac{4}{3}$. Точка $N$ имеет координаты $(\frac{4}{3}, 0, 0)$. Так как $0 \le \frac{4}{3} \le 2$, $N$ лежит на ребре $VK$. Отрезок $TN$ — сторона сечения.
5. Точки $N(\frac{4}{3}, 0, 0)$ и $K₁(2, 0, 2)$ лежат в плоскости грани $VKK₁V₁$ (плоскость $y=0$). Следовательно, отрезок $NK₁$ замыкает сечение.
Таким образом, искомое сечение — это четырехугольник $K₁MTN$.

Нахождение периметра сечения
Периметр сечения $P$ равен сумме длин его сторон: $P = |K₁M| + |MT| + |TN| + |NK₁|$. Найдем длины сторон, используя координаты вершин: $K₁(2, 0, 2)$, $M(\frac{2}{3}, 2, 2)$, $T(0, 2, 0)$, $N(\frac{4}{3}, 0, 0)$.
- Длина стороны $K₁M$: $|K₁M| = \sqrt{(\frac{2}{3} - 2)^2 + (2-0)^2 + (2-2)^2} = \sqrt{(-\frac{4}{3})^2 + 2^2 + 0^2} = \sqrt{\frac{16}{9} + 4} = \sqrt{\frac{16+36}{9}} = \sqrt{\frac{52}{9}} = \frac{\sqrt{52}}{3} = \frac{2\sqrt{13}}{3}$ м.
- Длина стороны $MT$: $|MT| = \sqrt{(0 - \frac{2}{3})^2 + (2-2)^2 + (0-2)^2} = \sqrt{(-\frac{2}{3})^2 + 0^2 + (-2)^2} = \sqrt{\frac{4}{9} + 4} = \sqrt{\frac{4+36}{9}} = \sqrt{\frac{40}{9}} = \frac{\sqrt{40}}{3} = \frac{2\sqrt{10}}{3}$ м.
- Длина стороны $TN$: $|TN| = \sqrt{(\frac{4}{3} - 0)^2 + (0-2)^2 + (0-0)^2} = \sqrt{(\frac{4}{3})^2 + (-2)^2 + 0^2} = \sqrt{\frac{16}{9} + 4} = \sqrt{\frac{16+36}{9}} = \sqrt{\frac{52}{9}} = \frac{2\sqrt{13}}{3}$ м.
- Длина стороны $NK₁$: $|NK₁| = \sqrt{(2 - \frac{4}{3})^2 + (0-0)^2 + (2-0)^2} = \sqrt{(\frac{2}{3})^2 + 0^2 + 2^2} = \sqrt{\frac{4}{9} + 4} = \sqrt{\frac{4+36}{9}} = \sqrt{\frac{40}{9}} = \frac{2\sqrt{10}}{3}$ м.
Так как $|K₁M| = |TN|$ и $|MT| = |NK₁|$, сечение $K₁MTN$ является параллелограммом. Периметр равен: $P = |K₁M| + |MT| + |TN| + |NK₁| = 2 \cdot |K₁M| + 2 \cdot |MT|$ $P = 2 \cdot \frac{2\sqrt{13}}{3} + 2 \cdot \frac{2\sqrt{10}}{3} = \frac{4\sqrt{13}}{3} + \frac{4\sqrt{10}}{3} = \frac{4}{3}(\sqrt{13} + \sqrt{10})$ м.
Ответ: $\frac{4}{3}(\sqrt{13} + \sqrt{10})$ м.
Другие задания:
Помогло решение? Оставьте отзыв в комментариях ниже.
Присоединяйтесь к Телеграм-группе @gdz_by_belarus
ПрисоединитьсяМы подготовили для вас ответ c подробным объяснением домашего задания по геометрии за 10 класс, для упражнения номер 96 расположенного на странице 47 к учебнику 2020 года издания для учащихся школ и гимназий.
Теперь на нашем сайте ГДЗ.ТОП вы всегда легко и бесплатно найдёте условие с правильным ответом на вопрос «Как решить ДЗ» и «Как сделать» задание по геометрии к упражнению №96 (с. 47), авторов: Латотин (Леонид Александрович), Чеботаревский (Борис Дмитриевич), Горбунова (Ирина Владимировна), базовый и повышенный уровень обучения учебного пособия издательства Адукацыя i выхаванне.