Номер 424, страница 96 - гдз по химии 10 класс сборник задач Матулис, Матулис

Химия, 10 класс Сборник задач, авторы: Матулис Вадим Эдвардович, Матулис Виталий Эдвардович, Колевич Татьяна Александровна, издательство Национальный институт образования, Минск, 2021

Авторы: Матулис В. Э., Матулис В. Э., Колевич Т. А.

Тип: Сборник задач

Издательство: Национальный институт образования

Год издания: 2021 - 2026

Уровень обучения: базовый и повышенный

Цвет обложки: синий

ISBN: 978-985-594-959-7

Допущено Министерством образования Республики Беларусь

Популярные ГДЗ в 10 классе

Глава 2. Углеводороды. 2.5. Арены - номер 424, страница 96.

№424 (с. 96)
Условие. №424 (с. 96)
скриншот условия
Химия, 10 класс Сборник задач, авторы: Матулис Вадим Эдвардович, Матулис Виталий Эдвардович, Колевич Татьяна Александровна, издательство Национальный институт образования, Минск, 2021, страница 96, номер 424, Условие

424. Относительная плотность по водороду газовой смеси, состоящей из паров бензола и водорода, равна 4,8. После пропускания смеси над катализатором ее плотность по озону возросла до 0,274. Определите объемную долю циклогексана в конечной смеси и степень превращения бензола в циклогексан.

Решение. №424 (с. 96)
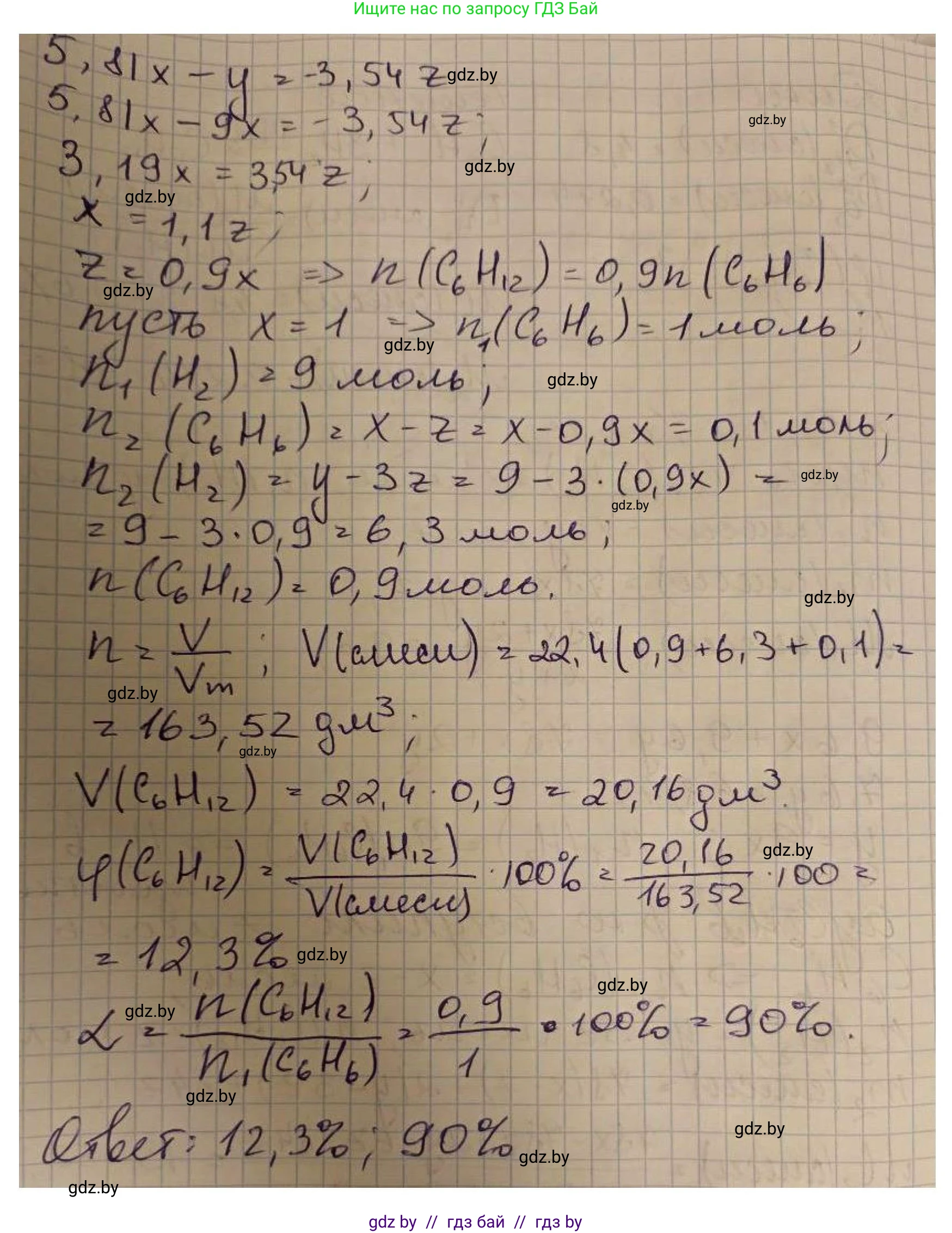
Химия, 10 класс Сборник задач, авторы: Матулис Вадим Эдвардович, Матулис Виталий Эдвардович, Колевич Татьяна Александровна, издательство Национальный институт образования, Минск, 2021, страница 96, номер 424, Решение Химия, 10 класс Сборник задач, авторы: Матулис Вадим Эдвардович, Матулис Виталий Эдвардович, Колевич Татьяна Александровна, издательство Национальный институт образования, Минск, 2021, страница 96, номер 424, Решение (продолжение 2)
Решение 2. №424 (с. 96)

Дано:

Начальная газовая смесь (смесь 1): пары бензола ($C_6H_6$) и водород ($H_2$)
Относительная плотность смеси 1 по водороду: $D_{H_2}(смесь_1) = 4,8$
Конечная газовая смесь (смесь 2) получена пропусканием смеси 1 над катализатором.
Относительная плотность смеси 2 по озону: $D_{О_3}(смесь_2) = 0,274$

Найти:

1. Объемную долю циклогексана ($\phi(C_6H_{12})$) в конечной смеси.
2. Степень превращения бензола в циклогексан ($\eta(C_6H_6)$).

Решение:

Уравнение реакции гидрирования бензола:

$C_6H_6 + 3H_2 \xrightarrow{катализатор, t, p} C_6H_{12}$

Рассчитаем молярные массы необходимых веществ:

$M(H_2) = 2 \cdot 1,008 \approx 2$ г/моль
$M(C_6H_6) = 6 \cdot 12,01 + 6 \cdot 1,008 \approx 78$ г/моль
$M(O_3) = 3 \cdot 16,00 = 48$ г/моль
$M(C_6H_{12}) = 6 \cdot 12,01 + 12 \cdot 1,008 \approx 84$ г/моль

Сначала определим состав исходной газовой смеси. Средняя молярная масса исходной смеси ($M_1$) вычисляется через относительную плотность по водороду:

$M_1 = D_{H_2}(смесь_1) \cdot M(H_2) = 4,8 \cdot 2 \text{ г/моль} = 9,6 \text{ г/моль}$

Пусть объемная (и мольная) доля бензола в исходной смеси равна $x$, тогда доля водорода равна $(1-x)$. Средняя молярная масса выражается формулой:

$M_1 = x \cdot M(C_6H_6) + (1-x) \cdot M(H_2)$

Подставим известные значения:

$9,6 = x \cdot 78 + (1-x) \cdot 2$

$9,6 = 78x + 2 - 2x$

$7,6 = 76x$

$x = 0,1$

Таким образом, исходная смесь содержит 10% паров бензола и 90% водорода по объему.

Степень превращения бензола в циклогексан

Для удобства вычислений примем, что в реакцию вступил 1 моль исходной смеси. Тогда количество веществ в ней:

$n_{исх}(C_6H_6) = 1 \text{ моль} \cdot 0,1 = 0,1 \text{ моль}$
$n_{исх}(H_2) = 1 \text{ моль} \cdot 0,9 = 0,9 \text{ моль}$

Пусть степень превращения бензола равна $\eta$. Тогда количество прореагировавшего бензола составляет $0,1\eta$ моль. Согласно уравнению реакции:

- Прореагировало $H_2$: $n_{прореаг}(H_2) = 3 \cdot n_{прореаг}(C_6H_6) = 3 \cdot 0,1\eta = 0,3\eta$ моль.
- Образовалось $C_6H_{12}$: $n_{образ}(C_6H_{12}) = n_{прореаг}(C_6H_6) = 0,1\eta$ моль.

Состав конечной смеси в молях:

$n_{кон}(C_6H_6) = n_{исх}(C_6H_6) - n_{прореаг}(C_6H_6) = 0,1 - 0,1\eta = 0,1(1-\eta)$
$n_{кон}(H_2) = n_{исх}(H_2) - n_{прореаг}(H_2) = 0,9 - 0,3\eta$
$n_{кон}(C_6H_{12}) = 0,1\eta$

Общее количество вещества в конечной смеси ($n_2$):

$n_2 = n_{кон}(C_6H_6) + n_{кон}(H_2) + n_{кон}(C_6H_{12}) = 0,1(1-\eta) + (0,9 - 0,3\eta) + 0,1\eta = 1 - 0,3\eta \text{ моль}$

Масса газовой смеси остается постоянной (закон сохранения массы). Масса исходной смеси $m_1 = n_1 \cdot M_1 = 1 \text{ моль} \cdot 9,6 \text{ г/моль} = 9,6$ г. Следовательно, масса конечной смеси $m_2 = 9,6$ г.

Средняя молярная масса конечной смеси ($M_2$) связана с ее плотностью по озону:

$M_2 = D_{O_3}(смесь_2) \cdot M(O_3) = 0,274 \cdot 48 \text{ г/моль} = 13,152 \text{ г/моль}$

Также среднюю молярную массу можно выразить как $M_2 = m_2 / n_2$. Приравняем два выражения для $M_2$ и решим уравнение относительно $\eta$:

$13,152 = \frac{9,6}{1 - 0,3\eta}$

$13,152 \cdot (1 - 0,3\eta) = 9,6$

$13,152 - 3,9456\eta = 9,6$

$3,552 = 3,9456\eta$

$\eta = \frac{3,552}{3,9456} = 0,9$

Ответ: Степень превращения бензола в циклогексан составляет 0,9 или 90%.

Объемная доля циклогексана в конечной смеси

Зная степень превращения $\eta = 0,9$, найдем состав конечной смеси и объемную долю циклогексана.

Количество вещества циклогексана в конечной смеси:

$n_{кон}(C_6H_{12}) = 0,1\eta = 0,1 \cdot 0,9 = 0,09 \text{ моль}$

Общее количество вещества в конечной смеси:

$n_2 = 1 - 0,3\eta = 1 - 0,3 \cdot 0,9 = 1 - 0,27 = 0,73 \text{ моль}$

Для газов объемная доля равна мольной доле. Объемная доля циклогексана $\phi(C_6H_{12})$:

$\phi(C_6H_{12}) = \frac{n_{кон}(C_6H_{12})}{n_2} = \frac{0,09 \text{ моль}}{0,73 \text{ моль}} \approx 0,123$

Ответ: Объемная доля циклогексана в конечной смеси равна 0,123 или 12,3%.

Помогло решение? Оставьте отзыв в комментариях ниже.

Присоединяйтесь к Телеграм-группе @gdz_by_belarus

Присоединиться

Мы подготовили для вас ответ c подробным объяснением домашего задания по химии за 10 класс, для упражнения номер 424 расположенного на странице 96 к сборнику задач 2021 года издания для учащихся школ и гимназий.

Теперь на нашем сайте ГДЗ.ТОП вы всегда легко и бесплатно найдёте условие с правильным ответом на вопрос «Как решить ДЗ» и «Как сделать» задание по химии к упражнению №424 (с. 96), авторов: Матулис (Вадим Эдвардович), Матулис (Виталий Эдвардович), Колевич (Татьяна Александровна), базовый и повышенный уровень обучения учебного пособия издательства Национальный институт образования.