Номер 582, страница 128 - гдз по химии 10 класс сборник задач Матулис, Матулис

Химия, 10 класс Сборник задач, авторы: Матулис Вадим Эдвардович, Матулис Виталий Эдвардович, Колевич Татьяна Александровна, издательство Национальный институт образования, Минск, 2021

Авторы: Матулис В. Э., Матулис В. Э., Колевич Т. А.

Тип: Сборник задач

Издательство: Национальный институт образования

Год издания: 2021 - 2026

Уровень обучения: базовый и повышенный

Цвет обложки: синий

ISBN: 978-985-594-959-7

Допущено Министерством образования Республики Беларусь

Популярные ГДЗ в 10 классе

Глава 3. Кислородсодержащие органические соединения. 3.3. Альдегиды - номер 582, страница 128.

№582 (с. 128)
Условие. №582 (с. 128)
скриншот условия
Химия, 10 класс Сборник задач, авторы: Матулис Вадим Эдвардович, Матулис Виталий Эдвардович, Колевич Татьяна Александровна, издательство Национальный институт образования, Минск, 2021, страница 128, номер 582, Условие Химия, 10 класс Сборник задач, авторы: Матулис Вадим Эдвардович, Матулис Виталий Эдвардович, Колевич Татьяна Александровна, издательство Национальный институт образования, Минск, 2021, страница 128, номер 582, Условие (продолжение 2)

582. К 0,96 г смеси пропанола-1 и неизвестного альдегида добавили аммиачный раствор оксида серебра, содержащий 5,8 г $Ag_2O$, и слегка нагрели смесь. Образовавшийся осадок отделили от раствора, а непрореагировавший оксид серебра перевели в хлорид серебра.

Масса полученного хлорида серебра оказалась равной 2,87 г. Известно, что мольное соотношение альдегида к спирту в исходной смеси составляло 3 : 1. Установите формулу альдегида.

Решение. №582 (с. 128)
Химия, 10 класс Сборник задач, авторы: Матулис Вадим Эдвардович, Матулис Виталий Эдвардович, Колевич Татьяна Александровна, издательство Национальный институт образования, Минск, 2021, страница 128, номер 582, Решение
Решение 2. №582 (с. 128)

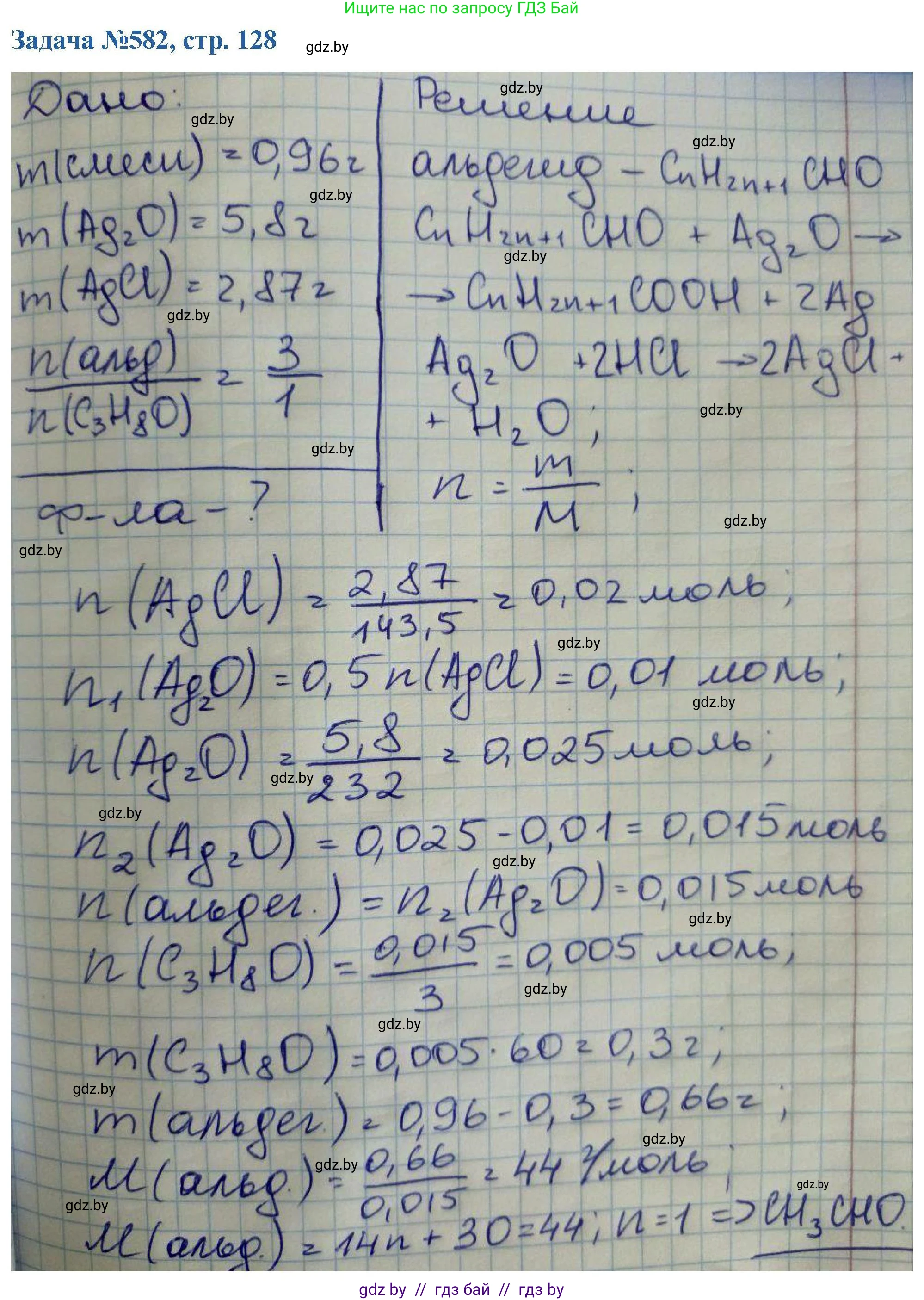
Дано:

$m(\text{смеси}) = 0,96 \text{ г}$

$m_{исх}(Ag_2O) = 5,8 \text{ г}$

$m(AgCl) = 2,87 \text{ г}$

$\nu(\text{альдегид}) : \nu(\text{спирт}) = 3 : 1$

Спирт - пропанол-1 ($C_3H_7OH$)

Найти:

Формулу альдегида

Решение:

1. Запишем уравнения протекающих реакций. Пропанол-1, как первичный спирт, не вступает в реакцию «серебряного зеркала». Неизвестный альдегид (обозначим его как $R-CHO$) реагирует с аммиачным раствором оксида серебра (реактивом Толенса):

$R-CHO + Ag_2O \xrightarrow{NH_3 \cdot H_2O, t} R-COOH + 2Ag \downarrow$

Непрореагировавший оксид серебра переводят в хлорид серебра, например, при взаимодействии с соляной кислотой:

$Ag_2O + 2HCl \rightarrow 2AgCl \downarrow + H_2O$

2. Рассчитаем молярные массы веществ, которые понадобятся для расчетов:

$M(Ag_2O) = 2 \cdot 108 + 16 = 232 \text{ г/моль}$

$M(AgCl) = 108 + 35,5 = 143,5 \text{ г/моль}$

$M(C_3H_7OH) = 3 \cdot 12 + 8 \cdot 1 + 16 = 60 \text{ г/моль}$

3. Найдем количество вещества непрореагировавшего оксида серебра ($Ag_2O$). Для этого сначала найдем количество вещества образовавшегося хлорида серебра ($AgCl$):

$\nu(AgCl) = \frac{m(AgCl)}{M(AgCl)} = \frac{2,87 \text{ г}}{143,5 \text{ г/моль}} = 0,02 \text{ моль}$

Согласно уравнению реакции $Ag_2O + 2HCl \rightarrow 2AgCl + H_2O$, количество вещества $Ag_2O$ в два раза меньше количества вещества $AgCl$:

$\nu_{непрореаг}(Ag_2O) = \frac{1}{2} \nu(AgCl) = \frac{1}{2} \cdot 0,02 \text{ моль} = 0,01 \text{ моль}$

4. Найдем количество вещества $Ag_2O$, вступившего в реакцию с альдегидом. Сначала найдем исходное количество вещества $Ag_2O$:

$\nu_{исх}(Ag_2O) = \frac{m_{исх}(Ag_2O)}{M(Ag_2O)} = \frac{5,8 \text{ г}}{232 \text{ г/моль}} = 0,025 \text{ моль}$

Теперь можем найти количество прореагировавшего $Ag_2O$:

$\nu_{прореаг}(Ag_2O) = \nu_{исх}(Ag_2O) - \nu_{непрореаг}(Ag_2O) = 0,025 \text{ моль} - 0,01 \text{ моль} = 0,015 \text{ моль}$

5. Найдем количество вещества альдегида и пропанола-1 в исходной смеси. Согласно уравнению реакции $R-CHO + Ag_2O \rightarrow R-COOH + 2Ag$, количество вещества альдегида равно количеству вещества прореагировавшего $Ag_2O$:

$\nu(\text{альдегид}) = \nu_{прореаг}(Ag_2O) = 0,015 \text{ моль}$

По условию, мольное соотношение альдегида к спирту равно $3:1$. Найдем количество вещества спирта (пропанола-1):

$\nu(\text{спирт}) = \frac{\nu(\text{альдегид})}{3} = \frac{0,015 \text{ моль}}{3} = 0,005 \text{ моль}$

6. Определим молярную массу неизвестного альдегида. Общая масса смеси ($0,96 \text{ г}$) складывается из массы альдегида и массы спирта:

$m(\text{смеси}) = m(\text{альдегид}) + m(\text{спирт})$

Найдем массу пропанола-1 в смеси:

$m(\text{спирт}) = \nu(\text{спирт}) \cdot M(C_3H_7OH) = 0,005 \text{ моль} \cdot 60 \text{ г/моль} = 0,3 \text{ г}$

Найдем массу альдегида в смеси:

$m(\text{альдегид}) = m(\text{смеси}) - m(\text{спирт}) = 0,96 \text{ г} - 0,3 \text{ г} = 0,66 \text{ г}$

Теперь можем рассчитать молярную массу альдегида:

$M(\text{альдегид}) = \frac{m(\text{альдегид})}{\nu(\text{альдегид})} = \frac{0,66 \text{ г}}{0,015 \text{ моль}} = 44 \text{ г/моль}$

7. Установим формулу альдегида. Общая формула предельных одноатомных альдегидов $C_nH_{2n}O$. Приравняем их молярную массу к найденному значению:

$12n + 2n \cdot 1 + 16 = 44$

$14n = 44 - 16$

$14n = 28$

$n = 2$

Следовательно, формула альдегида $C_2H_4O$. Это уксусный альдегид (этаналь), его структурная формула $CH_3-CHO$.

Ответ: Формула альдегида - $CH_3CHO$ (этаналь).

Помогло решение? Оставьте отзыв в комментариях ниже.

Присоединяйтесь к Телеграм-группе @gdz_by_belarus

Присоединиться

Мы подготовили для вас ответ c подробным объяснением домашего задания по химии за 10 класс, для упражнения номер 582 расположенного на странице 128 к сборнику задач 2021 года издания для учащихся школ и гимназий.

Теперь на нашем сайте ГДЗ.ТОП вы всегда легко и бесплатно найдёте условие с правильным ответом на вопрос «Как решить ДЗ» и «Как сделать» задание по химии к упражнению №582 (с. 128), авторов: Матулис (Вадим Эдвардович), Матулис (Виталий Эдвардович), Колевич (Татьяна Александровна), базовый и повышенный уровень обучения учебного пособия издательства Национальный институт образования.