Номер 679, страница 150 - гдз по химии 10 класс сборник задач Матулис, Матулис

Химия, 10 класс Сборник задач, авторы: Матулис Вадим Эдвардович, Матулис Виталий Эдвардович, Колевич Татьяна Александровна, издательство Национальный институт образования, Минск, 2021

Авторы: Матулис В. Э., Матулис В. Э., Колевич Т. А.

Тип: Сборник задач

Издательство: Национальный институт образования

Год издания: 2021 - 2026

Уровень обучения: базовый и повышенный

Цвет обложки: синий

ISBN: 978-985-594-959-7

Допущено Министерством образования Республики Беларусь

Популярные ГДЗ в 10 классе

Глава 3. Кислородсодержащие органические соединения. 3.5. Сложные эфиры. Жиры - номер 679, страница 150.

№679 (с. 150)
Условие. №679 (с. 150)
скриншот условия
Химия, 10 класс Сборник задач, авторы: Матулис Вадим Эдвардович, Матулис Виталий Эдвардович, Колевич Татьяна Александровна, издательство Национальный институт образования, Минск, 2021, страница 150, номер 679, Условие

679. Напишите формулы веществ:

а) этилпропаноата;

б) метилформиата;

в) этилового эфира 3-метилбутановой кислоты;

г) метилового эфира пропеновой кислоты;

д) фенилацетата. Для каждого случая приведите формулу и название одной карбоновой кислоты, изомерной данному сложному эфиру.

Решение. №679 (с. 150)
Химия, 10 класс Сборник задач, авторы: Матулис Вадим Эдвардович, Матулис Виталий Эдвардович, Колевич Татьяна Александровна, издательство Национальный институт образования, Минск, 2021, страница 150, номер 679, Решение Химия, 10 класс Сборник задач, авторы: Матулис Вадим Эдвардович, Матулис Виталий Эдвардович, Колевич Татьяна Александровна, издательство Национальный институт образования, Минск, 2021, страница 150, номер 679, Решение (продолжение 2)
Решение 2. №679 (с. 150)

а)

Этилпропаноат — это сложный эфир, образованный остатком пропановой кислоты и этиловым спиртом. Его структурная формула:

$CH_3-CH_2-COO-CH_2-CH_3$

Молекулярная формула данного эфира — $C_5H_{10}O_2$. Сложные эфиры и одноосновные предельные карбоновые кислоты являются межклассовыми изомерами. Следовательно, изомерной этилпропаноату будет карбоновая кислота с такой же молекулярной формулой, то есть содержащая 5 атомов углерода. Примером является пентановая кислота.

Формула и название изомерной карбоновой кислоты: пентановая кислота, $CH_3-CH_2-CH_2-CH_2-COOH$.

Ответ: Формула этилпропаноата: $CH_3-CH_2-COO-CH_2-CH_3$. Изомерная карбоновая кислота: пентановая кислота, $CH_3-CH_2-CH_2-CH_2-COOH$.

б)

Метилформиат — это сложный эфир, образованный остатком муравьиной кислоты и метиловым спиртом. Его структурная формула:

$H-COO-CH_3$

Молекулярная формула вещества — $C_2H_4O_2$. Изомерной ему будет карбоновая кислота с таким же составом. Этой кислотой является этановая (уксусная) кислота, содержащая 2 атома углерода.

Формула и название изомерной карбоновой кислоты: этановая (уксусная) кислота, $CH_3-COOH$.

Ответ: Формула метилформиата: $H-COO-CH_3$. Изомерная карбоновая кислота: этановая (уксусная) кислота, $CH_3-COOH$.

в)

Этиловый эфир 3-метилбутановой кислоты — это сложный эфир, образованный 3-метилбутановой кислотой и этиловым спиртом. Его структурная формула:

$CH_3-CH(CH_3)-CH_2-COO-CH_2-CH_3$

Молекулярная формула вещества — $C_7H_{14}O_2$. Изомерной ему будет любая предельная одноосновная карбоновая кислота с семью атомами углерода. В качестве примера можно привести гептановую кислоту.

Формула и название изомерной карбоновой кислоты: гептановая кислота, $CH_3-CH_2-CH_2-CH_2-CH_2-CH_2-COOH$.

Ответ: Формула этилового эфира 3-метилбутановой кислоты: $CH_3-CH(CH_3)-CH_2-COO-CH_2-CH_3$. Изомерная карбоновая кислота: гептановая кислота, $CH_3-CH_2-CH_2-CH_2-CH_2-CH_2-COOH$.

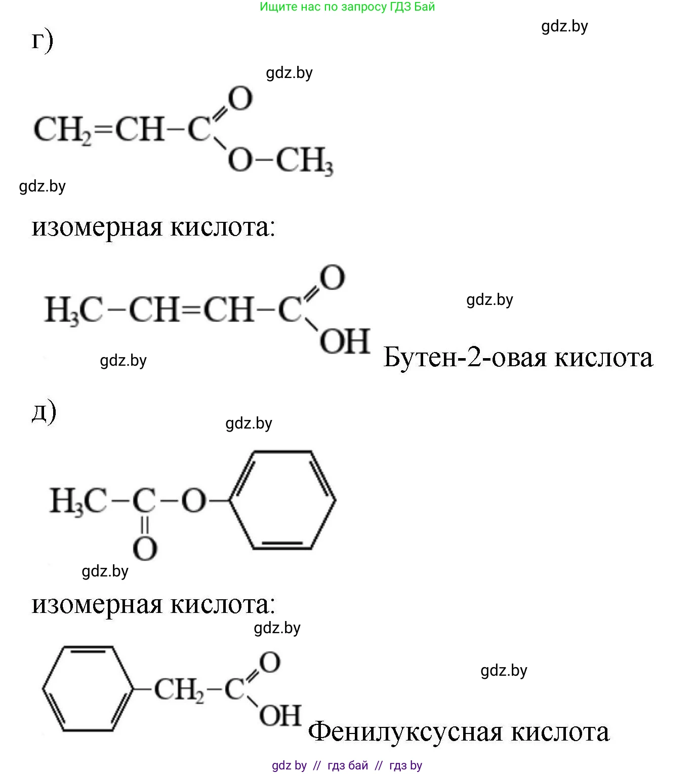
г)

Метиловый эфир пропеновой кислоты (также известный как метилакрилат) образован пропеновой (акриловой) кислотой и метиловым спиртом. Его структурная формула:

$CH_2=CH-COO-CH_3$

Молекулярная формула вещества — $C_4H_6O_2$. Так как в молекуле эфира присутствует двойная связь, изомерная ему карбоновая кислота также должна быть ненасыщенной (содержать одну двойную связь) и иметь 4 атома углерода. Примером является бут-2-еновая (кротоновая) кислота.

Формула и название изомерной карбоновой кислоты: бут-2-еновая (кротоновая) кислота, $CH_3-CH=CH-COOH$.

Ответ: Формула метилового эфира пропеновой кислоты: $CH_2=CH-COO-CH_3$. Изомерная карбоновая кислота: бут-2-еновая кислота, $CH_3-CH=CH-COOH$.

д)

Фенилацетат — это сложный эфир, образованный уксусной кислотой и фенолом. Его структурная формула:

$CH_3-COO-C_6H_5$

Молекулярная формула вещества — $C_8H_8O_2$. Изомерная карбоновая кислота должна иметь такой же состав. Примером такой кислоты, содержащей бензольное кольцо, является фенилуксусная кислота.

Формула и название изомерной карбоновой кислоты: фенилуксусная кислота, $C_6H_5-CH_2-COOH$.

Ответ: Формула фенилацетата: $CH_3-COO-C_6H_5$. Изомерная карбоновая кислота: фенилуксусная кислота, $C_6H_5-CH_2-COOH$.

Помогло решение? Оставьте отзыв в комментариях ниже.

Присоединяйтесь к Телеграм-группе @gdz_by_belarus

Присоединиться

Мы подготовили для вас ответ c подробным объяснением домашего задания по химии за 10 класс, для упражнения номер 679 расположенного на странице 150 к сборнику задач 2021 года издания для учащихся школ и гимназий.

Теперь на нашем сайте ГДЗ.ТОП вы всегда легко и бесплатно найдёте условие с правильным ответом на вопрос «Как решить ДЗ» и «Как сделать» задание по химии к упражнению №679 (с. 150), авторов: Матулис (Вадим Эдвардович), Матулис (Виталий Эдвардович), Колевич (Татьяна Александровна), базовый и повышенный уровень обучения учебного пособия издательства Национальный институт образования.