Номер 870, страница 206 - гдз по химии 10 класс сборник задач Матулис, Матулис

Химия, 10 класс Сборник задач, авторы: Матулис Вадим Эдвардович, Матулис Виталий Эдвардович, Колевич Татьяна Александровна, издательство Национальный институт образования, Минск, 2021

Авторы: Матулис В. Э., Матулис В. Э., Колевич Т. А.

Тип: Сборник задач

Издательство: Национальный институт образования

Год издания: 2021 - 2026

Уровень обучения: базовый и повышенный

Цвет обложки: синий

ISBN: 978-985-594-959-7

Допущено Министерством образования Республики Беларусь

Популярные ГДЗ в 10 классе

Глава 4. Азотсодержащие органические соединения. 4.2. Аминокислоты - номер 870, страница 206.

№870 (с. 206)
Условие. №870 (с. 206)
скриншот условия
Химия, 10 класс Сборник задач, авторы: Матулис Вадим Эдвардович, Матулис Виталий Эдвардович, Колевич Татьяна Александровна, издательство Национальный институт образования, Минск, 2021, страница 206, номер 870, Условие

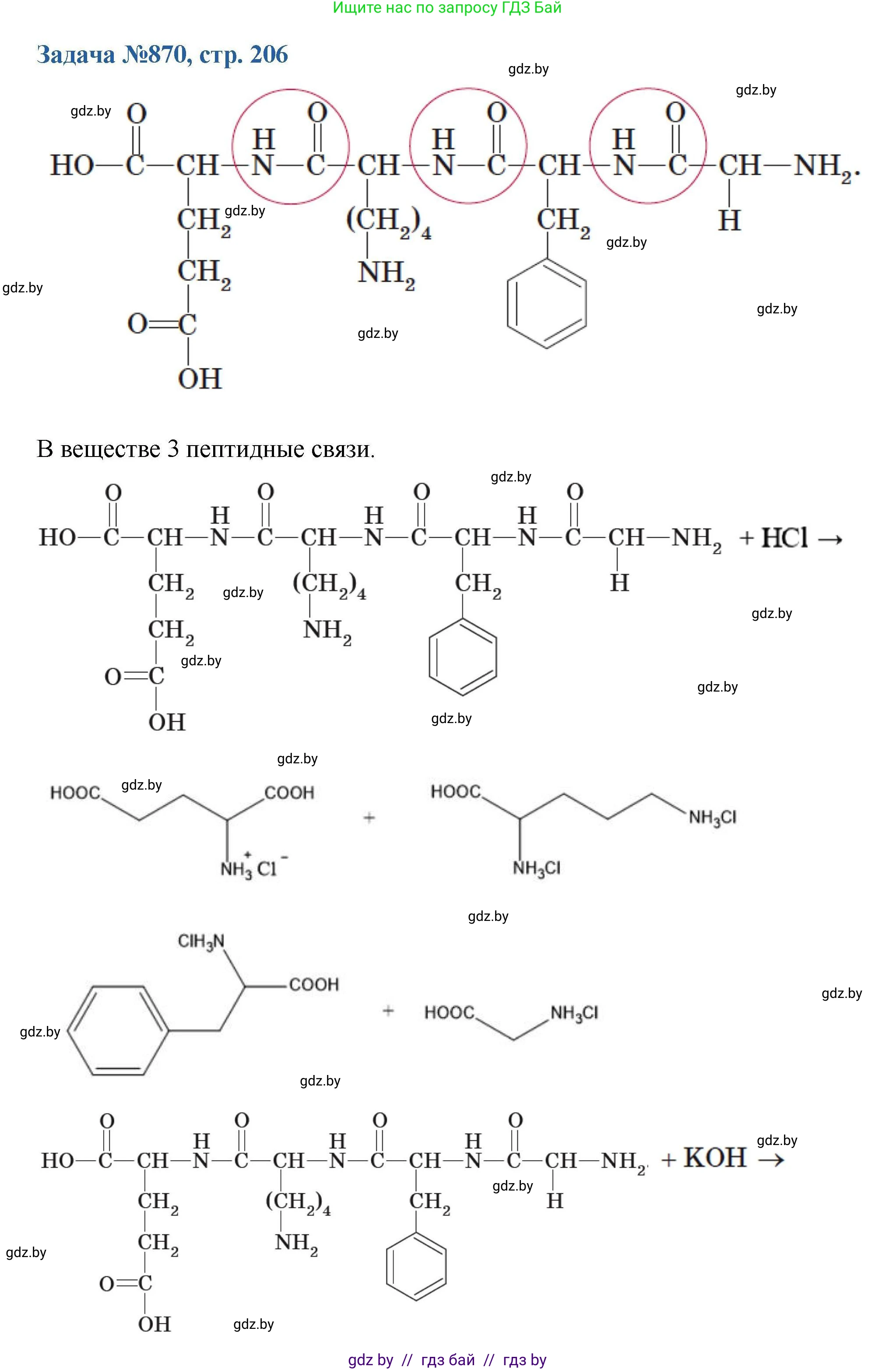
870. Укажите число пептидных связей в веществе, формула которого

$\text{HO-}\overset{\text{O}}{\parallel}\text{C}-\underset{\substack{\text{CH}_2 \\ \text{CH}_2 \\ \overset{\text{O}}{\parallel}\text{C} \\ \text{OH}}}{\text{CH}}-\overset{\text{H}}{\text{N}}-\overset{\text{O}}{\parallel}\text{C}-\underset{\substack{(\text{CH}_2)_4 \\ \text{NH}_2}}{\text{CH}}-\overset{\text{H}}{\text{N}}-\overset{\text{O}}{\parallel}\text{C}-\underset{\substack{\text{CH}_2 \\ \text{C}_6\text{H}_5}}{\text{CH}}-\overset{\text{H}}{\text{N}}-\overset{\text{O}}{\parallel}\text{C}-\underset{\text{H}}{\text{CH}}-\text{NH}_2.$

Напишите уравнения реакций гидролиза данного вещества в присутствии:

а) избытка щелочи;

б) избытка хлороводорода.

Решение. №870 (с. 206)
Химия, 10 класс Сборник задач, авторы: Матулис Вадим Эдвардович, Матулис Виталий Эдвардович, Колевич Татьяна Александровна, издательство Национальный институт образования, Минск, 2021, страница 206, номер 870, Решение Химия, 10 класс Сборник задач, авторы: Матулис Вадим Эдвардович, Матулис Виталий Эдвардович, Колевич Татьяна Александровна, издательство Национальный институт образования, Минск, 2021, страница 206, номер 870, Решение (продолжение 2)
Решение 2. №870 (с. 206)

В представленном веществе, являющемся полипептидом, аминокислотные остатки соединены пептидными связями. Пептидная связь — это амидная связь вида $-CO-NH-$, которая образуется между карбоксильной группой одной аминокислоты и аминогруппой другой.

Данная молекула является тетрапептидом, так как состоит из четырех аминокислотных остатков. Если читать структурную формулу справа налево (от N-конца к C-концу), то последовательность аминокислот следующая: глицин, фенилаланин, лизин, глутаминовая кислота. В линейном пептиде, состоящем из $n$ аминокислотных остатков, содержится $(n-1)$ пептидная связь. Следовательно, в данном тетрапептиде 3 пептидные связи.

Ответ: в веществе 3 пептидные связи.

Ниже представлены уравнения реакций гидролиза.

а)

Решение:
Гидролиз в присутствии избытка щелочи (например, $NaOH$) приводит к разрыву всех пептидных связей, а также к нейтрализации всех кислотных групп. В данном пептиде есть 3 пептидные связи и 2 карбоксильные группы (одна на С-конце и одна в боковом радикале глутаминовой кислоты). Для гидролиза 3 пептидных связей потребуется 3 моль $NaOH$, а для нейтрализации 2 карбоксильных групп — 2 моль $NaOH$. Аминогруппы (одна на N-конце и одна в боковом радикале лизина) являются основными и со щелочью не реагируют. Таким образом, общее количество щелочи, необходимое для реакции, составляет 5 моль. Продуктами реакции являются натриевые соли соответствующих аминокислот и вода, которая образуется при нейтрализации исходных карбоксильных групп.

Уравнение реакции:
$\text{Пептид} + 5\text{NaOH} \xrightarrow{t^\circ} \\\text{NaOOC–CH(NH}_2\text{)–(CH}_2)_2\text{–COONa} \quad (\text{глутамат натрия}) \\+ \text{ H}_2\text{N–(CH}_2)_4\text{–CH(NH}_2\text{)–COONa} \quad (\text{лизат натрия}) \\+ \text{ C}_6\text{H}_5\text{–CH}_2\text{–CH(NH}_2\text{)–COONa} \quad (\text{фенилаланинат натрия}) \\+ \text{ H}_2\text{N–CH}_2\text{–COONa} \quad (\text{глицинат натрия}) \\+ 2\text{H}_2\text{O}$

Ответ:
$\text{HOOC–CH(CH}_2\text{CH}_2\text{COOH)–NH–CO–CH((CH}_2)_4\text{NH}_2\text{)–NH–CO–CH(CH}_2\text{C}_6\text{H}_5\text{)–NH–CO–CH}_2\text{–NH}_2 + 5\text{NaOH} \xrightarrow{t^\circ} \text{NaOOC–CH(NH}_2\text{)–(CH}_2)_2\text{–COONa} + \text{H}_2\text{N–(CH}_2)_4\text{–CH(NH}_2\text{)–COONa} + \text{C}_6\text{H}_5\text{–CH}_2\text{–CH(NH}_2\text{)–COONa} + \text{H}_2\text{N–CH}_2\text{–COONa} + 2\text{H}_2\text{O}$

б)

Решение:
Гидролиз в присутствии избытка хлороводорода ($HCl$) протекает с участием воды, которая разрывает пептидные связи. Для гидролиза 3 пептидных связей необходимо 3 моль $H_2O$. Все основные центры в молекуле (аминогруппы) реагируют с кислотой. В исходном пептиде 2 аминогруппы (N-концевая и в радикале лизина), и еще 3 аминогруппы образуются в результате гидролиза пептидных связей. Всего 5 аминогрупп, которые прореагируют с 5 моль $HCl$. Карбоксильные группы являются кислотными и с $HCl$ не реагируют. Продуктами реакции являются гидрохлориды (или дигидрохлорид для лизина) аминокислот.

Уравнение реакции:
$\text{Пептид} + 3\text{H}_2\text{O} + 5\text{HCl} \xrightarrow{t^\circ} \\[\text{HOOC–(CH}_2)_2\text{–CH(NH}_3^+)\text{–COOH}]\text{Cl}^- \quad (\text{гидрохлорид глутаминовой кислоты}) \\+ \text{ }[\text{HOOC–CH(NH}_3^+)\text{–(CH}_2)_4\text{–NH}_3^+]2\text{Cl}^- \quad (\text{дигидрохлорид лизина}) \\+ \text{ }[\text{HOOC–CH(NH}_3^+)\text{–CH}_2\text{–C}_6\text{H}_5]\text{Cl}^- \quad (\text{гидрохлорид фенилаланина}) \\+ \text{ }[\text{HOOC–CH}_2\text{–NH}_3^+]\text{Cl}^- \quad (\text{гидрохлорид глицина})$

Ответ:
$\text{HOOC–CH(CH}_2\text{CH}_2\text{COOH)–NH–CO–CH((CH}_2)_4\text{NH}_2\text{)–NH–CO–CH(CH}_2\text{C}_6\text{H}_5\text{)–NH–CO–CH}_2\text{–NH}_2 + 3\text{H}_2\text{O} + 5\text{HCl} \xrightarrow{t^\circ} [\text{HOOC–(CH}_2)_2\text{–CH(NH}_3^+)\text{–COOH}]\text{Cl}^- + [\text{HOOC–CH(NH}_3^+)\text{–(CH}_2)_4\text{–NH}_3^+]2\text{Cl}^- + [\text{HOOC–CH(NH}_3^+)\text{–CH}_2\text{–C}_6\text{H}_5]\text{Cl}^- + [\text{HOOC–CH}_2\text{–NH}_3^+]\text{Cl}^-$

Помогло решение? Оставьте отзыв в комментариях ниже.

Присоединяйтесь к Телеграм-группе @gdz_by_belarus

Присоединиться

Мы подготовили для вас ответ c подробным объяснением домашего задания по химии за 10 класс, для упражнения номер 870 расположенного на странице 206 к сборнику задач 2021 года издания для учащихся школ и гимназий.

Теперь на нашем сайте ГДЗ.ТОП вы всегда легко и бесплатно найдёте условие с правильным ответом на вопрос «Как решить ДЗ» и «Как сделать» задание по химии к упражнению №870 (с. 206), авторов: Матулис (Вадим Эдвардович), Матулис (Виталий Эдвардович), Колевич (Татьяна Александровна), базовый и повышенный уровень обучения учебного пособия издательства Национальный институт образования.