Номер 12, страница 9 - гдз по алгебре 11 класс сборник задач Арефьева, Пирютко

Алгебра, 11 класс Сборник задач, авторы: Арефьева Ирина Глебовна, Пирютко Ольга Николаевна, издательство Народная асвета, Минск, 2020, белого цвета

Авторы: Арефьева И. Г., Пирютко О. Н.

Тип: Сборник задач

Издательство: Народная асвета

Год издания: 2020 - 2026

Уровень обучения: базовый и повышенный

Цвет обложки: белый с графиком

Допущено Министерством образования Республики Беларусь

Популярные ГДЗ в 11 классе

Глава 1. Обобщение понятия степени. Параграф 1. Степень с рациональным показателем. Степень с действительным показателем - номер 12, страница 9.

№12 (с. 9)
Условие. №12 (с. 9)
скриншот условия
Алгебра, 11 класс Сборник задач, авторы: Арефьева Ирина Глебовна, Пирютко Ольга Николаевна, издательство Народная асвета, Минск, 2020, белого цвета, страница 9, номер 12, Условие

1.12. Упростите выражение:

a) $(\frac{\sqrt[4]{x^3}y - \sqrt[4]{xy^3}}{\sqrt{y} - \sqrt{x}} + \frac{1 + \sqrt{xy}}{\sqrt[4]{xy}})^{-2} \cdot \left(1 + 2\sqrt{\frac{y}{x}} + \frac{y}{x}\right)^{\frac{1}{2}};$

б) $\left(b^{\frac{1}{3}} - 2a + \frac{4a^2 - \sqrt[3]{b^2}}{2a + \sqrt[3]{b}}\right) : \left(\frac{2a}{b^{\frac{2}{3}} - 4a^2} - \frac{2}{b^{\frac{1}{3}} - 2a} - \frac{1}{2a + b^{\frac{1}{3}}}\right);$

в) $\left(m + \frac{n^{1,5}}{m^{0,5}}\right)^{\frac{2}{3}} \cdot \left(\frac{m^{0,5} - n^{0,5}}{m^{0,5}} + \frac{n^{0,5}}{m^{0,5} - n^{0,5}}\right);$

г) $\left(\frac{\left(x + \sqrt[3]{2ax^2}\right) \cdot \left(2a + \sqrt[3]{4a^2x}\right)^{-1} - 1}{\sqrt[3]{x} - \sqrt[3]{2a}} - (2a)^{-\frac{1}{3}}\right)^{-6}.$

Решение. №12 (с. 9)
Алгебра, 11 класс Сборник задач, авторы: Арефьева Ирина Глебовна, Пирютко Ольга Николаевна, издательство Народная асвета, Минск, 2020, белого цвета, страница 9, номер 12, Решение Алгебра, 11 класс Сборник задач, авторы: Арефьева Ирина Глебовна, Пирютко Ольга Николаевна, издательство Народная асвета, Минск, 2020, белого цвета, страница 9, номер 12, Решение (продолжение 2)
Решение 2. №12 (с. 9)

а) Упростим выражение по частям:

$$ \left( \frac{\sqrt[4]{x^3y} - \sqrt[4]{xy^3}}{\sqrt{y} - \sqrt{x}} + \frac{1 + \sqrt{xy}}{\sqrt[4]{xy}} \right)^{-2} \cdot \left( 1 + 2\sqrt{\frac{y}{x}} + \frac{y}{x} \right)^{\frac{1}{2}} $$

1. Упростим первую дробь в больших скобках. В числителе вынесем общий множитель $\sqrt[4]{xy}$:

$$ \frac{\sqrt[4]{x^3y} - \sqrt[4]{xy^3}}{\sqrt{y} - \sqrt{x}} = \frac{\sqrt[4]{xy}(\sqrt[4]{x^2} - \sqrt[4]{y^2})}{\sqrt{y} - \sqrt{x}} = \frac{\sqrt[4]{xy}(\sqrt{x} - \sqrt{y})}{\sqrt{y} - \sqrt{x}} = \frac{\sqrt[4]{xy}(\sqrt{x} - \sqrt{y})}{-(\sqrt{x} - \sqrt{y})} = -\sqrt[4]{xy} $$

2. Упростим второе слагаемое в больших скобках, разделив почленно:

$$ \frac{1 + \sqrt{xy}}{\sqrt[4]{xy}} = \frac{1}{\sqrt[4]{xy}} + \frac{\sqrt{xy}}{\sqrt[4]{xy}} = \frac{1}{\sqrt[4]{xy}} + (xy)^{\frac{1}{2} - \frac{1}{4}} = \frac{1}{\sqrt[4]{xy}} + (xy)^{\frac{1}{4}} = \frac{1}{\sqrt[4]{xy}} + \sqrt[4]{xy} $$

3. Сложим результаты и возведем в степень -2:

$$ \left( -\sqrt[4]{xy} + \frac{1}{\sqrt[4]{xy}} + \sqrt[4]{xy} \right)^{-2} = \left( \frac{1}{\sqrt[4]{xy}} \right)^{-2} = (\sqrt[4]{xy})^2 = \sqrt{xy} $$

4. Упростим вторую часть выражения. Выражение в скобках является формулой квадрата суммы $(a+b)^2 = a^2+2ab+b^2$, где $a=1$ и $b=\sqrt{\frac{y}{x}}$:

$$ \left( 1 + 2\sqrt{\frac{y}{x}} + \frac{y}{x} \right)^{\frac{1}{2}} = \left( \left(1 + \sqrt{\frac{y}{x}}\right)^2 \right)^{\frac{1}{2}} = 1 + \sqrt{\frac{y}{x}} = 1 + \frac{\sqrt{y}}{\sqrt{x}} = \frac{\sqrt{x}+\sqrt{y}}{\sqrt{x}} $$

5. Перемножим упрощенные части:

$$ \sqrt{xy} \cdot \left( \frac{\sqrt{x}+\sqrt{y}}{\sqrt{x}} \right) = \sqrt{x}\sqrt{y} \cdot \frac{\sqrt{x}+\sqrt{y}}{\sqrt{x}} = \sqrt{y}(\sqrt{x}+\sqrt{y}) = \sqrt{xy} + y $$

Ответ: а) $y + \sqrt{xy}$

б) Упростим выражение:

$$ \left( b^{\frac{1}{3}} - 2a + \frac{4a^2 - 4\sqrt[3]{b^2}}{2a + \sqrt[3]{b}} \right) : \left( \frac{2a}{b^{\frac{2}{3}} - 4a^2} - \frac{2}{b^{\frac{1}{3}} - 2a} - \frac{1}{2a + b^{\frac{1}{3}}} \right) $$

1. Упростим делимое (выражение в первых скобках). Приведем к общему знаменателю $2a + b^{\frac{1}{3}}$:

$$ b^{\frac{1}{3}} - 2a + \frac{4a^2 - 4b^{\frac{2}{3}}}{2a + b^{\frac{1}{3}}} = \frac{(b^{\frac{1}{3}} - 2a)(b^{\frac{1}{3}} + 2a) + 4a^2 - 4b^{\frac{2}{3}}}{b^{\frac{1}{3}} + 2a} $$

Используем формулу разности квадратов $(x-y)(x+y) = x^2-y^2$:

$$ \frac{(b^{\frac{1}{3}})^2 - (2a)^2 + 4a^2 - 4b^{\frac{2}{3}}}{b^{\frac{1}{3}} + 2a} = \frac{b^{\frac{2}{3}} - 4a^2 + 4a^2 - 4b^{\frac{2}{3}}}{b^{\frac{1}{3}} + 2a} = \frac{-3b^{\frac{2}{3}}}{b^{\frac{1}{3}} + 2a} $$

2. Упростим делитель (выражение во вторых скобках). Общий знаменатель $b^{\frac{2}{3}} - 4a^2 = (b^{\frac{1}{3}} - 2a)(b^{\frac{1}{3}} + 2a)$:

$$ \frac{2a}{(b^{\frac{1}{3}} - 2a)(b^{\frac{1}{3}} + 2a)} - \frac{2(b^{\frac{1}{3}} + 2a)}{(b^{\frac{1}{3}} - 2a)(b^{\frac{1}{3}} + 2a)} - \frac{1(b^{\frac{1}{3}} - 2a)}{(b^{\frac{1}{3}} - 2a)(b^{\frac{1}{3}} + 2a)} $$

$$ = \frac{2a - 2(b^{\frac{1}{3}} + 2a) - (b^{\frac{1}{3}} - 2a)}{b^{\frac{2}{3}} - 4a^2} = \frac{2a - 2b^{\frac{1}{3}} - 4a - b^{\frac{1}{3}} + 2a}{b^{\frac{2}{3}} - 4a^2} = \frac{-3b^{\frac{1}{3}}}{b^{\frac{2}{3}} - 4a^2} $$

3. Выполним деление:

$$ \frac{-3b^{\frac{2}{3}}}{b^{\frac{1}{3}} + 2a} : \frac{-3b^{\frac{1}{3}}}{b^{\frac{2}{3}} - 4a^2} = \frac{-3b^{\frac{2}{3}}}{b^{\frac{1}{3}} + 2a} \cdot \frac{b^{\frac{2}{3}} - 4a^2}{-3b^{\frac{1}{3}}} = \frac{b^{\frac{2}{3}}}{b^{\frac{1}{3}}} \cdot \frac{(b^{\frac{1}{3}} - 2a)(b^{\frac{1}{3}} + 2a)}{b^{\frac{1}{3}} + 2a} $$

$$ = b^{\frac{2}{3}-\frac{1}{3}} \cdot (b^{\frac{1}{3}} - 2a) = b^{\frac{1}{3}}(b^{\frac{1}{3}} - 2a) = b^{\frac{2}{3}} - 2ab^{\frac{1}{3}} = \sqrt[3]{b^2} - 2a\sqrt[3]{b} $$

Ответ: б) $\sqrt[3]{b^2} - 2a\sqrt[3]{b}$

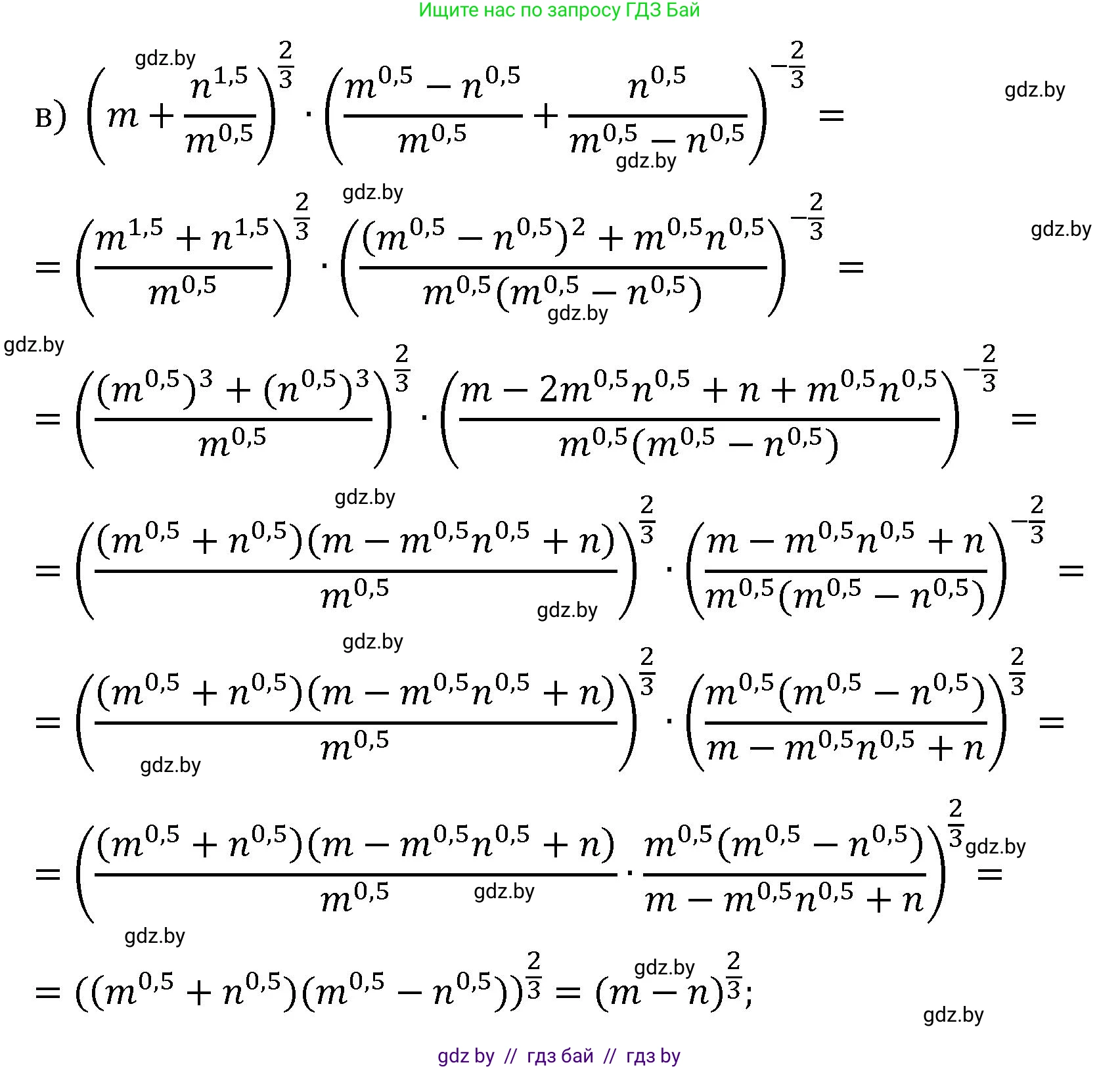
в) Упростим выражение:

$$ \left( m + \frac{n^{1.5}}{m^{0.5}} \right)^{\frac{2}{3}} \cdot \left( \frac{m^{0.5} - n^{0.5}}{m^{0.5}} + \frac{n^{0.5}}{m^{0.5} - n^{0.5}} \right)^{-\frac{2}{3}} $$

Поскольку оба множителя возводятся в одинаковую степень (с точностью до знака), объединим их под одной степенью $\frac{2}{3}$:

$$ \left( \left( m + \frac{n^{1.5}}{m^{0.5}} \right) \cdot \left( \frac{m^{0.5} - n^{0.5}}{m^{0.5}} + \frac{n^{0.5}}{m^{0.5} - n^{0.5}} \right)^{-1} \right)^{\frac{2}{3}} $$

1. Упростим первый множитель в скобках:

$$ m + \frac{n^{1.5}}{m^{0.5}} = \frac{m \cdot m^{0.5} + n^{1.5}}{m^{0.5}} = \frac{m^{1.5} + n^{1.5}}{m^{0.5}} $$

2. Упростим второй множитель в скобках (который нужно будет перевернуть из-за степени -1):

$$ \frac{m^{0.5} - n^{0.5}}{m^{0.5}} + \frac{n^{0.5}}{m^{0.5} - n^{0.5}} = \frac{(m^{0.5} - n^{0.5})^2 + m^{0.5}n^{0.5}}{m^{0.5}(m^{0.5} - n^{0.5})} $$

$$ = \frac{m - 2m^{0.5}n^{0.5} + n + m^{0.5}n^{0.5}}{m^{0.5}(m^{0.5} - n^{0.5})} = \frac{m - m^{0.5}n^{0.5} + n}{m^{0.5}(m^{0.5} - n^{0.5})} $$

3. Перемножим выражения внутри больших скобок, учитывая степень -1 у второго множителя:

$$ \frac{m^{1.5} + n^{1.5}}{m^{0.5}} \cdot \left(\frac{m - m^{0.5}n^{0.5} + n}{m^{0.5}(m^{0.5} - n^{0.5})}\right)^{-1} = \frac{m^{1.5} + n^{1.5}}{m^{0.5}} \cdot \frac{m^{0.5}(m^{0.5} - n^{0.5})}{m - m^{0.5}n^{0.5} + n} $$

Используем формулу суммы кубов $a^3+b^3 = (a+b)(a^2-ab+b^2)$. Пусть $a=m^{0.5}, b=n^{0.5}$. Тогда $m^{1.5} + n^{1.5} = (m^{0.5})^3 + (n^{0.5})^3 = (m^{0.5}+n^{0.5})(m - m^{0.5}n^{0.5} + n)$.

$$ \frac{(m^{0.5}+n^{0.5})(m - m^{0.5}n^{0.5} + n)}{m^{0.5}} \cdot \frac{m^{0.5}(m^{0.5} - n^{0.5})}{m - m^{0.5}n^{0.5} + n} $$

Сокращаем $m^{0.5}$ и $(m - m^{0.5}n^{0.5} + n)$:

$$ (m^{0.5}+n^{0.5})(m^{0.5} - n^{0.5}) = (m^{0.5})^2 - (n^{0.5})^2 = m - n $$

4. Возведем полученный результат в степень $\frac{2}{3}$:

$$ (m - n)^{\frac{2}{3}} $$

Ответ: в) $(m-n)^{\frac{2}{3}}$

г) Упростим выражение:

$$ \left( \frac{(x + \sqrt[3]{2ax^2}) \cdot (2a + \sqrt[3]{4a^2x})^{-1} - 1}{\sqrt[3]{x} - \sqrt[3]{2a}} - (2a)^{-\frac{1}{3}} \right)^{-6} $$

Для удобства введем замены: $u = \sqrt[3]{x}$ и $v = \sqrt[3]{2a}$. Тогда $u^3 = x$ и $v^3 = 2a$.

1. Преобразуем числитель большой дроби. Сначала первый множитель:

$$ x + \sqrt[3]{2ax^2} = u^3 + \sqrt[3]{v^3 \cdot (u^3)^2 / u^3} = u^3 + \sqrt[3]{v^3 u^6} = u^3 + vu^2 = u^2(u+v) $$

Теперь второй множитель (в степени -1):

$$ 2a + \sqrt[3]{4a^2x} = v^3 + \sqrt[3]{(2a)^2 x} = v^3 + \sqrt[3]{(v^3)^2 x} = v^3 + \sqrt[3]{v^6 u^3} = v^3 + v^2u = v^2(v+u) $$

Теперь вычислим числитель дроби:

$$ (u^2(u+v)) \cdot (v^2(v+u))^{-1} - 1 = \frac{u^2(u+v)}{v^2(u+v)} - 1 = \frac{u^2}{v^2} - 1 = \frac{u^2 - v^2}{v^2} $$

2. Знаменатель большой дроби: $\sqrt[3]{x} - \sqrt[3]{2a} = u-v$.

3. Вычислим большую дробь:

$$ \frac{\frac{u^2 - v^2}{v^2}}{u-v} = \frac{(u-v)(u+v)}{v^2(u-v)} = \frac{u+v}{v^2} $$

4. Вычтем последний член в скобках:

$$ (2a)^{-\frac{1}{3}} = (v^3)^{-\frac{1}{3}} = v^{-1} = \frac{1}{v} $$

$$ \frac{u+v}{v^2} - \frac{1}{v} = \frac{u+v}{v^2} - \frac{v}{v^2} = \frac{u+v-v}{v^2} = \frac{u}{v^2} $$

5. Возведем полученный результат в степень -6:

$$ \left(\frac{u}{v^2}\right)^{-6} = \left(\frac{v^2}{u}\right)^6 = \frac{(v^2)^6}{u^6} = \frac{v^{12}}{u^6} $$

6. Вернемся к исходным переменным:

$$ u^6 = (\sqrt[3]{x})^6 = x^2 $$

$$ v^{12} = (\sqrt[3]{2a})^{12} = (2a)^4 = 16a^4 $$

Итоговый результат:

$$ \frac{16a^4}{x^2} $$

Ответ: г) $\frac{16a^4}{x^2}$

Помогло решение? Оставьте отзыв в комментариях ниже.

Присоединяйтесь к Телеграм-группе @gdz_by_belarus

Присоединиться

Мы подготовили для вас ответ c подробным объяснением домашего задания по алгебре за 11 класс, для упражнения номер 12 расположенного на странице 9 к сборнику задач 2020 года издания для учащихся школ и гимназий.

Теперь на нашем сайте ГДЗ.ТОП вы всегда легко и бесплатно найдёте условие с правильным ответом на вопрос «Как решить ДЗ» и «Как сделать» задание по алгебре к упражнению №12 (с. 9), авторов: Арефьева (Ирина Глебовна), Пирютко (Ольга Николаевна), базовый и повышенный уровень обучения учебного пособия издательства Народная асвета.