Номер 5, страница 8 - гдз по алгебре 11 класс сборник задач Арефьева, Пирютко

Алгебра, 11 класс Сборник задач, авторы: Арефьева Ирина Глебовна, Пирютко Ольга Николаевна, издательство Народная асвета, Минск, 2020, белого цвета

Авторы: Арефьева И. Г., Пирютко О. Н.

Тип: Сборник задач

Издательство: Народная асвета

Год издания: 2020 - 2026

Уровень обучения: базовый и повышенный

Цвет обложки: белый с графиком

Допущено Министерством образования Республики Беларусь

Популярные ГДЗ в 11 классе

Глава 1. Обобщение понятия степени. Параграф 1. Степень с рациональным показателем. Степень с действительным показателем - номер 5, страница 8.

№5 (с. 8)
Условие. №5 (с. 8)
скриншот условия
Алгебра, 11 класс Сборник задач, авторы: Арефьева Ирина Глебовна, Пирютко Ольга Николаевна, издательство Народная асвета, Минск, 2020, белого цвета, страница 8, номер 5, Условие

1.5. Найдите значение выражения:

а) $3^{\sqrt{18}} \cdot 27^{1-\sqrt{2}}$;

б) $5^{1+\sqrt{17}} : 5^{3+\sqrt{17}}$;

в) $2^{(\sqrt{3}+1)^2} : 2^{2\sqrt{3}}$;

г) $((\sqrt[4]{6})^{2\sqrt{2}})^{2\sqrt{2}}$;

д) $((2\sqrt[3]{5})^{\sqrt{3}})^{-\sqrt{3}}$;

е) $\sqrt[6]{9^{(\sqrt{2}-1)^2} \cdot 81^{\sqrt{2}}}$.

Решение. №5 (с. 8)
Алгебра, 11 класс Сборник задач, авторы: Арефьева Ирина Глебовна, Пирютко Ольга Николаевна, издательство Народная асвета, Минск, 2020, белого цвета, страница 8, номер 5, Решение
Решение 2. №5 (с. 8)

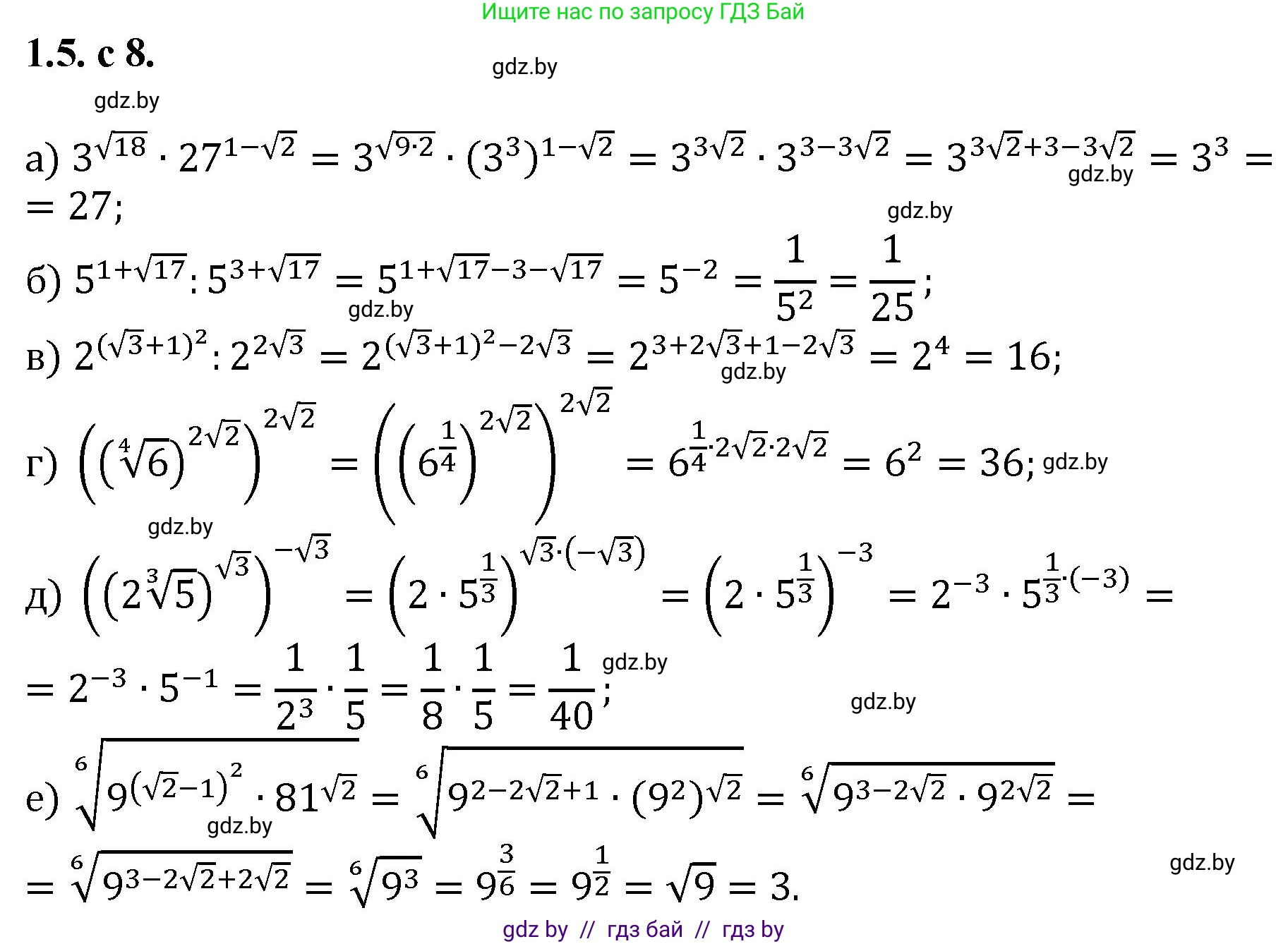
а) $3^{\sqrt{18}} \cdot 27^{1-\sqrt{2}}$
Для решения этого примера приведем все степени к одному основанию 3.
Сначала упростим корень в показателе: $\sqrt{18} = \sqrt{9 \cdot 2} = 3\sqrt{2}$.
Число 27 представим как степень 3: $27 = 3^3$.
Подставим полученные значения в исходное выражение:
$3^{3\sqrt{2}} \cdot (3^3)^{1-\sqrt{2}}$
Используем свойство степени $(a^m)^n = a^{mn}$:
$3^{3\sqrt{2}} \cdot 3^{3(1-\sqrt{2})} = 3^{3\sqrt{2}} \cdot 3^{3-3\sqrt{2}}$
Теперь используем свойство умножения степеней с одинаковым основанием $a^m \cdot a^n = a^{m+n}$:
$3^{3\sqrt{2} + 3 - 3\sqrt{2}} = 3^3 = 27$.
Ответ: 27

б) $5^{1+\sqrt{17}} : 5^{3+\sqrt{17}}$
При делении степеней с одинаковым основанием их показатели вычитаются, согласно свойству $a^m : a^n = a^{m-n}$:
$5^{(1+\sqrt{17}) - (3+\sqrt{17})} = 5^{1+\sqrt{17} - 3 - \sqrt{17}} = 5^{1-3} = 5^{-2}$.
Используя определение степени с отрицательным показателем $a^{-n} = \frac{1}{a^n}$, получаем:
$5^{-2} = \frac{1}{5^2} = \frac{1}{25}$.
Ответ: $\frac{1}{25}$

в) $2^{(\sqrt{3}+1)^2} : 2^{2\sqrt{3}}$
Сначала раскроем квадрат суммы в показателе первой степени по формуле $(a+b)^2 = a^2+2ab+b^2$:
$(\sqrt{3}+1)^2 = (\sqrt{3})^2 + 2 \cdot \sqrt{3} \cdot 1 + 1^2 = 3 + 2\sqrt{3} + 1 = 4 + 2\sqrt{3}$.
Теперь выражение принимает вид:
$2^{4+2\sqrt{3}} : 2^{2\sqrt{3}}$
При делении степеней с одинаковым основанием их показатели вычитаются:
$2^{(4+2\sqrt{3}) - 2\sqrt{3}} = 2^{4+2\sqrt{3} - 2\sqrt{3}} = 2^4 = 16$.
Ответ: 16

г) $((\sqrt[4]{6})^{2\sqrt{2}})^{2\sqrt{2}}$
Представим корень как степень с дробным показателем: $\sqrt[4]{6} = 6^{1/4}$.
Выражение примет вид: $((6^{1/4})^{2\sqrt{2}})^{2\sqrt{2}}$.
При возведении степени в степень показатели перемножаются: $(a^m)^n=a^{mn}$.
$6^{\frac{1}{4} \cdot 2\sqrt{2} \cdot 2\sqrt{2}} = 6^{\frac{1}{4} \cdot (4 \cdot (\sqrt{2})^2)} = 6^{\frac{1}{4} \cdot (4 \cdot 2)} = 6^{\frac{1}{4} \cdot 8} = 6^2 = 36$.
Ответ: 36

д) $((2^{\sqrt[3]{5}})^{\sqrt{3}})^{-\sqrt{3}}$
Для упрощения этого выражения воспользуемся свойством возведения степени в степень $(a^m)^n = a^{mn}$ последовательно:
$((2^{\sqrt[3]{5}})^{\sqrt{3}})^{-\sqrt{3}} = 2^{\sqrt[3]{5} \cdot \sqrt{3} \cdot (-\sqrt{3})}$.
Упростим показатель степени:
$\sqrt[3]{5} \cdot \sqrt{3} \cdot (-\sqrt{3}) = \sqrt[3]{5} \cdot (-(\sqrt{3})^2) = \sqrt[3]{5} \cdot (-3) = -3\sqrt[3]{5}$.
Таким образом, исходное выражение равно:
$2^{-3\sqrt[3]{5}}$.
Ответ: $2^{-3\sqrt[3]{5}}$

е) $\sqrt[6]{9^{(\sqrt{2}-1)^2} \cdot 81^{\sqrt{2}}}$
Приведем все основания под корнем к числу 3: $9 = 3^2$ и $81 = 3^4$.
Выражение под корнем станет: $(3^2)^{(\sqrt{2}-1)^2} \cdot (3^4)^{\sqrt{2}}$.
Раскроем квадрат разности: $(\sqrt{2}-1)^2 = (\sqrt{2})^2 - 2\sqrt{2} + 1^2 = 2-2\sqrt{2}+1 = 3-2\sqrt{2}$.
Подставим и применим свойство степени $(a^m)^n = a^{mn}$:
$3^{2(3-2\sqrt{2})} \cdot 3^{4\sqrt{2}} = 3^{6-4\sqrt{2}} \cdot 3^{4\sqrt{2}}$.
При умножении степеней с одинаковым основанием показатели складываются:
$3^{(6-4\sqrt{2}) + 4\sqrt{2}} = 3^{6-4\sqrt{2}+4\sqrt{2}} = 3^6$.
Теперь извлечем корень шестой степени:
$\sqrt[6]{3^6} = 3$.
Ответ: 3

Помогло решение? Оставьте отзыв в комментариях ниже.

Присоединяйтесь к Телеграм-группе @gdz_by_belarus

Присоединиться

Мы подготовили для вас ответ c подробным объяснением домашего задания по алгебре за 11 класс, для упражнения номер 5 расположенного на странице 8 к сборнику задач 2020 года издания для учащихся школ и гимназий.

Теперь на нашем сайте ГДЗ.ТОП вы всегда легко и бесплатно найдёте условие с правильным ответом на вопрос «Как решить ДЗ» и «Как сделать» задание по алгебре к упражнению №5 (с. 8), авторов: Арефьева (Ирина Глебовна), Пирютко (Ольга Николаевна), базовый и повышенный уровень обучения учебного пособия издательства Народная асвета.