Номер 1, страница 8 - гдз по алгебре 11 класс сборник задач Арефьева, Пирютко

Алгебра, 11 класс Сборник задач, авторы: Арефьева Ирина Глебовна, Пирютко Ольга Николаевна, издательство Народная асвета, Минск, 2020, белого цвета

Авторы: Арефьева И. Г., Пирютко О. Н.

Тип: Сборник задач

Издательство: Народная асвета

Год издания: 2020 - 2026

Уровень обучения: базовый и повышенный

Цвет обложки: белый с графиком

Допущено Министерством образования Республики Беларусь

Популярные ГДЗ в 11 классе

Глава 1. Обобщение понятия степени. Параграф 1. Степень с рациональным показателем. Степень с действительным показателем - номер 1, страница 8.

№1 (с. 8)
Условие. №1 (с. 8)
скриншот условия
Алгебра, 11 класс Сборник задач, авторы: Арефьева Ирина Глебовна, Пирютко Ольга Николаевна, издательство Народная асвета, Минск, 2020, белого цвета, страница 8, номер 1, Условие

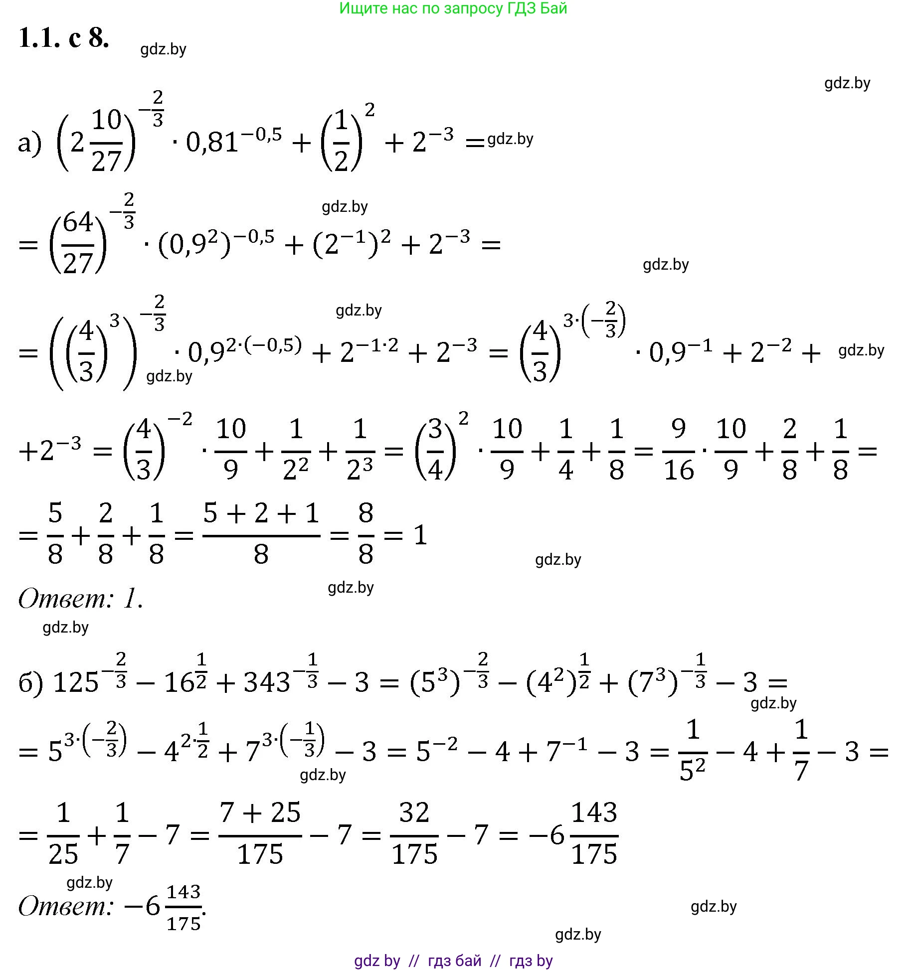
1.1. Вычислите:

a) $ (2\frac{10}{27})^{-\frac{2}{3}} \cdot 0.81^{-0.5} + (\frac{1}{2})^2 + 2^{-3}; $

б) $ 125^{-\frac{2}{3}} - 16^{\frac{1}{2}} + 343^{-\frac{1}{3}} - 3. $

Решение. №1 (с. 8)
Алгебра, 11 класс Сборник задач, авторы: Арефьева Ирина Глебовна, Пирютко Ольга Николаевна, издательство Народная асвета, Минск, 2020, белого цвета, страница 8, номер 1, Решение
Решение 2. №1 (с. 8)

а) $(2\frac{10}{27})^{-\frac{2}{3}} \cdot 0.81^{-0.5} + (\frac{1}{2})^2 + 2^{-3}$

Для решения данного выражения вычислим каждое слагаемое и произведение по шагам.

1. Преобразуем смешанную дробь, десятичную дробь и десятичный показатель степени в удобный для вычислений вид:
$2\frac{10}{27} = \frac{2 \cdot 27 + 10}{27} = \frac{54 + 10}{27} = \frac{64}{27}$
$0.81 = \frac{81}{100}$
$-0.5 = -\frac{1}{2}$

2. Вычислим произведение $(2\frac{10}{27})^{-\frac{2}{3}} \cdot 0.81^{-0.5}$:
Первый множитель: $( \frac{64}{27} )^{-\frac{2}{3}} = ( \frac{27}{64} )^{\frac{2}{3}}$. Используя свойство степени $(a/b)^{m/n} = (\sqrt[n]{a/b})^m$, получаем: $(\sqrt[3]{\frac{27}{64}})^2 = (\frac{\sqrt[3]{27}}{\sqrt[3]{64}})^2 = (\frac{3}{4})^2 = \frac{9}{16}$.
Второй множитель: $0.81^{-0.5} = (\frac{81}{100})^{-\frac{1}{2}} = (\frac{100}{81})^{\frac{1}{2}} = \sqrt{\frac{100}{81}} = \frac{10}{9}$.
Произведение: $\frac{9}{16} \cdot \frac{10}{9} = \frac{10}{16} = \frac{5}{8}$.

3. Вычислим остальные слагаемые:
$(\frac{1}{2})^2 = \frac{1}{4}$
$2^{-3} = \frac{1}{2^3} = \frac{1}{8}$

4. Сложим все полученные значения:
$\frac{5}{8} + \frac{1}{4} + \frac{1}{8}$. Приведем к общему знаменателю 8:
$\frac{5}{8} + \frac{2}{8} + \frac{1}{8} = \frac{5+2+1}{8} = \frac{8}{8} = 1$.

Ответ: 1

б) $125^{\frac{2}{3}} - 16^{\frac{1}{2}} + 343^{\frac{1}{3}} - 3$

Вычислим значение выражения по действиям, используя свойство степени $a^{\frac{m}{n}} = (\sqrt[n]{a})^m$.

1. $125^{\frac{2}{3}} = (\sqrt[3]{125})^2 = 5^2 = 25$
2. $16^{\frac{1}{2}} = \sqrt{16} = 4$
3. $343^{\frac{1}{3}} = \sqrt[3]{343} = 7$

4. Подставим вычисленные значения в исходное выражение и выполним арифметические операции:
$25 - 4 + 7 - 3 = 21 + 7 - 3 = 28 - 3 = 25$.

Ответ: 25

Помогло решение? Оставьте отзыв в комментариях ниже.

Присоединяйтесь к Телеграм-группе @gdz_by_belarus

Присоединиться

Мы подготовили для вас ответ c подробным объяснением домашего задания по алгебре за 11 класс, для упражнения номер 1 расположенного на странице 8 к сборнику задач 2020 года издания для учащихся школ и гимназий.

Теперь на нашем сайте ГДЗ.ТОП вы всегда легко и бесплатно найдёте условие с правильным ответом на вопрос «Как решить ДЗ» и «Как сделать» задание по алгебре к упражнению №1 (с. 8), авторов: Арефьева (Ирина Глебовна), Пирютко (Ольга Николаевна), базовый и повышенный уровень обучения учебного пособия издательства Народная асвета.