Номер 3, страница 8 - гдз по алгебре 11 класс сборник задач Арефьева, Пирютко

Алгебра, 11 класс Сборник задач, авторы: Арефьева Ирина Глебовна, Пирютко Ольга Николаевна, издательство Народная асвета, Минск, 2020, белого цвета

Авторы: Арефьева И. Г., Пирютко О. Н.

Тип: Сборник задач

Издательство: Народная асвета

Год издания: 2020 - 2026

Уровень обучения: базовый и повышенный

Цвет обложки: белый с графиком

Допущено Министерством образования Республики Беларусь

Популярные ГДЗ в 11 классе

Глава 1. Обобщение понятия степени. Параграф 1. Степень с рациональным показателем. Степень с действительным показателем - номер 3, страница 8.

№3 (с. 8)
Условие. №3 (с. 8)
скриншот условия
Алгебра, 11 класс Сборник задач, авторы: Арефьева Ирина Глебовна, Пирютко Ольга Николаевна, издательство Народная асвета, Минск, 2020, белого цвета, страница 8, номер 3, Условие

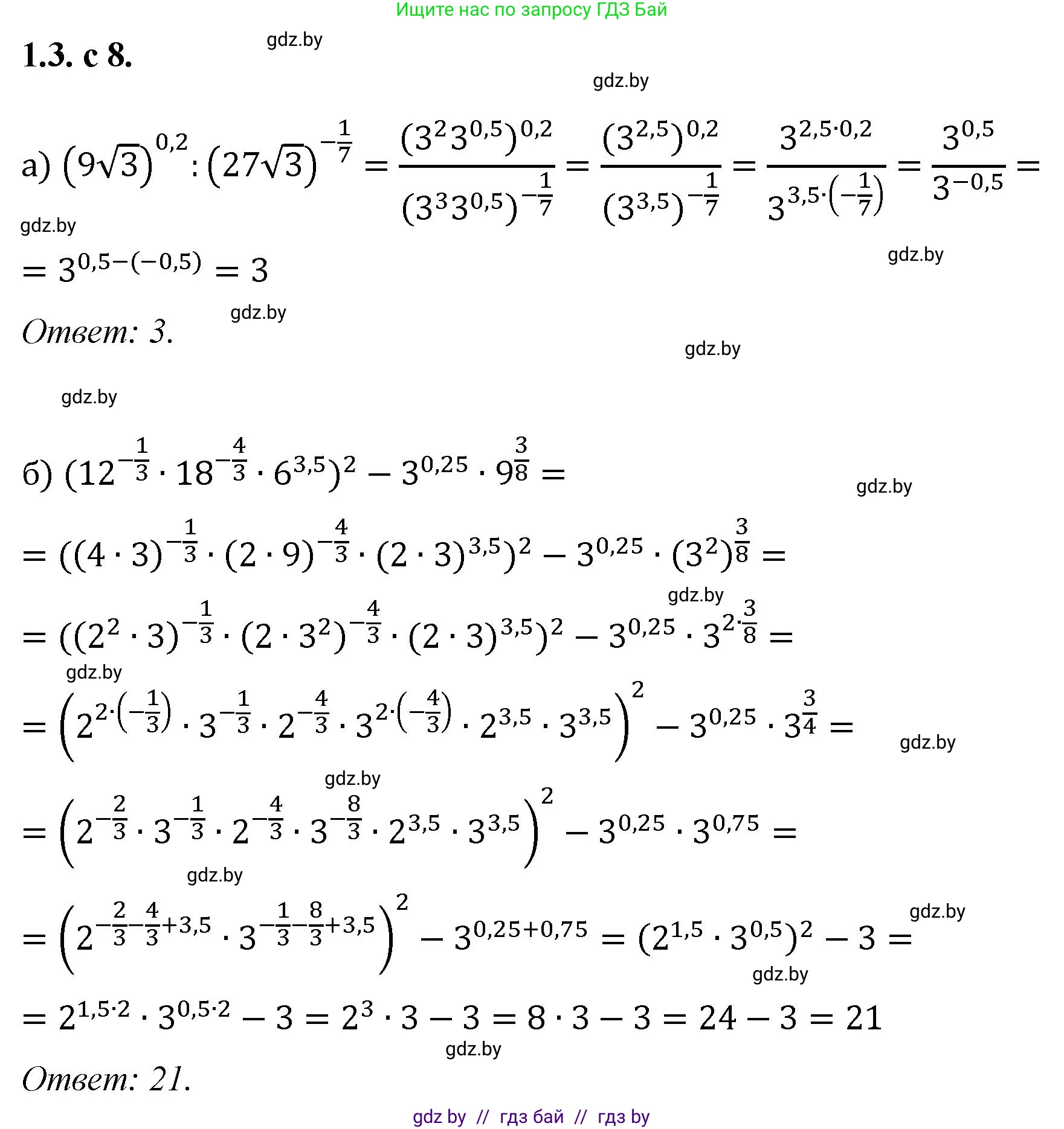
1.3. Воспользуйтесь свойствами степени с рациональным показателем и вычислите значение выражения:

а) $(9\sqrt{3})^{0.2} : (27\sqrt{3})^{-\frac{1}{7}};$

б) $(12^{-\frac{1}{3}} \cdot 18^{-\frac{4}{3}} \cdot 6^{3.5})^2 - 3^{0.25} \cdot 9^{\frac{3}{8}}.$

Решение. №3 (с. 8)
Алгебра, 11 класс Сборник задач, авторы: Арефьева Ирина Глебовна, Пирютко Ольга Николаевна, издательство Народная асвета, Минск, 2020, белого цвета, страница 8, номер 3, Решение
Решение 2. №3 (с. 8)

а) Для решения воспользуемся свойствами степени с рациональным показателем. Сначала представим все числа в выражении в виде степени с основанием 3.

  • $9 = 3^2$
  • $\sqrt{3} = 3^{\frac{1}{2}}$
  • $27 = 3^3$
  • $\sqrt[7]{3} = 3^{\frac{1}{7}}$
  • Показатель $0,2$ представим в виде дроби: $0,2 = \frac{2}{10} = \frac{1}{5}$

Разберем выражение на две части: делимое и делитель.

Делимое: $(9\sqrt{3})^{0,2} = (3^2 \cdot 3^{\frac{1}{2}})^{\frac{1}{5}}$.
Используя свойство $a^m \cdot a^n = a^{m+n}$, сложим показатели в скобках: $(3^{2+\frac{1}{2}})^{\frac{1}{5}} = (3^{\frac{5}{2}})^{\frac{1}{5}}$.
Используя свойство $(a^m)^n = a^{m \cdot n}$, перемножим показатели: $3^{\frac{5}{2} \cdot \frac{1}{5}} = 3^{\frac{1}{2}}$.

Делитель: $(27\sqrt[7]{3})^{-\frac{1}{7}} = (3^3 \cdot 3^{\frac{1}{7}})^{-\frac{1}{7}}$.
Сложим показатели в скобках: $(3^{3+\frac{1}{7}})^{-\frac{1}{7}} = (3^{\frac{22}{7}})^{-\frac{1}{7}}$.
Перемножим показатели: $3^{\frac{22}{7} \cdot (-\frac{1}{7})} = 3^{-\frac{22}{49}}$.

Теперь выполним деление полученных степеней, используя свойство $a^m : a^n = a^{m-n}$:
$3^{\frac{1}{2}} : 3^{-\frac{22}{49}} = 3^{\frac{1}{2} - (-\frac{22}{49})} = 3^{\frac{1}{2} + \frac{22}{49}}$.

Сложим дроби в показателе, приведя их к общему знаменателю 98:
$\frac{1}{2} + \frac{22}{49} = \frac{1 \cdot 49}{2 \cdot 49} + \frac{22 \cdot 2}{49 \cdot 2} = \frac{49}{98} + \frac{44}{98} = \frac{93}{98}$.

Ответ: а) $3^{\frac{93}{98}}$.

б) Решим выражение по частям: уменьшаемое и вычитаемое.

Уменьшаемое: $(12^{-\frac{1}{3}} \cdot 18^{-\frac{4}{3}} \cdot 6^{3,5})^2$

Разложим основания степеней на простые множители (2 и 3), а показатель 3,5 представим в виде дроби $\frac{7}{2}$.
$12 = 2^2 \cdot 3$; $18 = 2 \cdot 3^2$; $6 = 2 \cdot 3$.

Выражение в скобках примет вид:
$(2^2 \cdot 3)^{-\frac{1}{3}} \cdot (2 \cdot 3^2)^{-\frac{4}{3}} \cdot (2 \cdot 3)^{\frac{7}{2}} = (2^{-\frac{2}{3}} \cdot 3^{-\frac{1}{3}}) \cdot (2^{-\frac{4}{3}} \cdot 3^{-\frac{8}{3}}) \cdot (2^{\frac{7}{2}} \cdot 3^{\frac{7}{2}})$

Сгруппируем степени с одинаковыми основаниями и сложим их показатели:
Для основания 2: $2^{-\frac{2}{3} - \frac{4}{3} + \frac{7}{2}} = 2^{-\frac{6}{3} + \frac{7}{2}} = 2^{-2 + \frac{7}{2}} = 2^{-\frac{4}{2} + \frac{7}{2}} = 2^{\frac{3}{2}}$.
Для основания 3: $3^{-\frac{1}{3} - \frac{8}{3} + \frac{7}{2}} = 3^{-\frac{9}{3} + \frac{7}{2}} = 3^{-3 + \frac{7}{2}} = 3^{-\frac{6}{2} + \frac{7}{2}} = 3^{\frac{1}{2}}$.

Таким образом, выражение в скобках равно $2^{\frac{3}{2}} \cdot 3^{\frac{1}{2}}$.
Возведем результат в квадрат:
$(2^{\frac{3}{2}} \cdot 3^{\frac{1}{2}})^2 = 2^{\frac{3}{2} \cdot 2} \cdot 3^{\frac{1}{2} \cdot 2} = 2^{3} \cdot 3^{1} = 8 \cdot 3 = 24$.

Вычитаемое: $3^{0,25} \cdot 9^{\frac{3}{8}}$

Приведем степени к основанию 3, учитывая, что $0,25 = \frac{1}{4}$ и $9 = 3^2$:
$3^{\frac{1}{4}} \cdot (3^2)^{\frac{3}{8}} = 3^{\frac{1}{4}} \cdot 3^{\frac{2 \cdot 3}{8}} = 3^{\frac{1}{4}} \cdot 3^{\frac{3}{4}} = 3^{\frac{1}{4} + \frac{3}{4}} = 3^{\frac{4}{4}} = 3^1 = 3$.

Результат:
Вычтем из уменьшаемого вычитаемое: $24 - 3 = 21$.

Ответ: б) 21.

Помогло решение? Оставьте отзыв в комментариях ниже.

Присоединяйтесь к Телеграм-группе @gdz_by_belarus

Присоединиться

Мы подготовили для вас ответ c подробным объяснением домашего задания по алгебре за 11 класс, для упражнения номер 3 расположенного на странице 8 к сборнику задач 2020 года издания для учащихся школ и гимназий.

Теперь на нашем сайте ГДЗ.ТОП вы всегда легко и бесплатно найдёте условие с правильным ответом на вопрос «Как решить ДЗ» и «Как сделать» задание по алгебре к упражнению №3 (с. 8), авторов: Арефьева (Ирина Глебовна), Пирютко (Ольга Николаевна), базовый и повышенный уровень обучения учебного пособия издательства Народная асвета.