Номер 11, страница 20 - гдз по алгебре 11 класс сборник задач Арефьева, Пирютко

Алгебра, 11 класс Сборник задач, авторы: Арефьева Ирина Глебовна, Пирютко Ольга Николаевна, издательство Народная асвета, Минск, 2020, белого цвета

Авторы: Арефьева И. Г., Пирютко О. Н.

Тип: Сборник задач

Издательство: Народная асвета

Год издания: 2020 - 2026

Уровень обучения: базовый и повышенный

Цвет обложки: белый с графиком

Допущено Министерством образования Республики Беларусь

Популярные ГДЗ в 11 классе

Глава 2. Показательная функция. Параграф 4. Показательная функция. Производная показательной функции - номер 11, страница 20.

№11 (с. 20)
Условие. №11 (с. 20)
скриншот условия
Алгебра, 11 класс Сборник задач, авторы: Арефьева Ирина Глебовна, Пирютко Ольга Николаевна, издательство Народная асвета, Минск, 2020, белого цвета, страница 20, номер 11, Условие

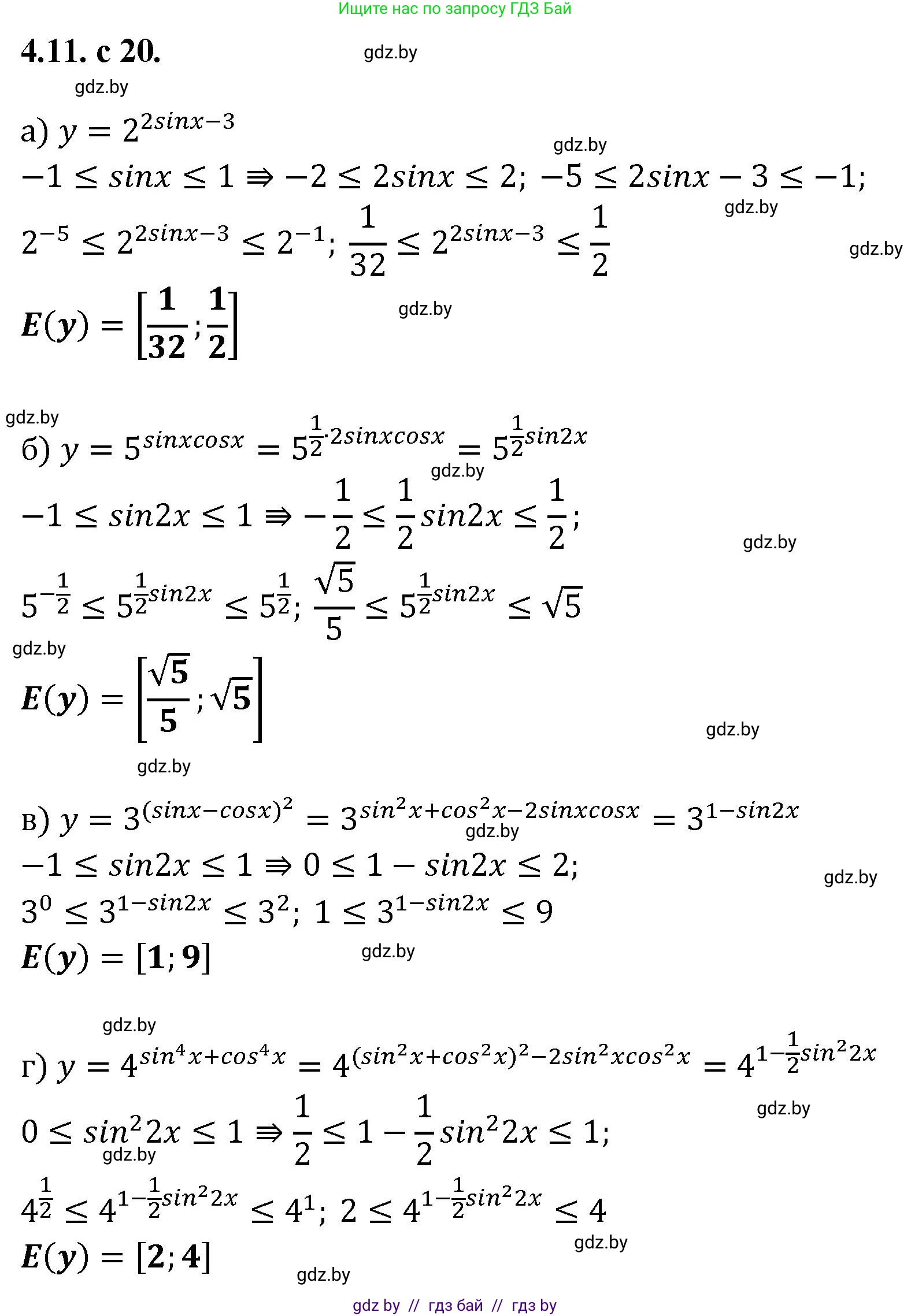
4.11. Найдите множество значений функции:

а) $y = 2^{2\sin x - 3}$;

б) $y = 5^{\sin x \cos x}$;

В) $y = 3^{(\sin x - \cos x)^2}$;

Г) $y = 4^{\sin^4 x + \cos^4 x}$.

Решение. №11 (с. 20)
Алгебра, 11 класс Сборник задач, авторы: Арефьева Ирина Глебовна, Пирютко Ольга Николаевна, издательство Народная асвета, Минск, 2020, белого цвета, страница 20, номер 11, Решение
Решение 2. №11 (с. 20)

а) Для нахождения множества значений функции $y = 2^{2\sin x - 3}$ сначала определим множество значений ее показателя степени $t = 2\sin x - 3$. Известно, что множество значений функции синус – это отрезок $[-1; 1]$, то есть $-1 \le \sin x \le 1$.
Выполним преобразования неравенства:
Умножим все части на 2: $2 \cdot (-1) \le 2\sin x \le 2 \cdot 1$, что дает $-2 \le 2\sin x \le 2$.
Вычтем 3 из всех частей: $-2 - 3 \le 2\sin x - 3 \le 2 - 3$, что дает $-5 \le 2\sin x - 3 \le -1$.
Таким образом, множество значений показателя степени $t$ есть отрезок $[-5; -1]$.
Поскольку основание степени $a = 2 > 1$, показательная функция $y = 2^t$ является возрастающей. Это означает, что наименьшее значение функции $y$ достигается при наименьшем значении показателя $t$, а наибольшее – при наибольшем.
Наименьшее значение функции: $y_{min} = 2^{-5} = \frac{1}{32}$.
Наибольшее значение функции: $y_{max} = 2^{-1} = \frac{1}{2}$.
Следовательно, множество значений функции $y$ есть отрезок $[\frac{1}{32}; \frac{1}{2}]$.
Ответ: $[\frac{1}{32}; \frac{1}{2}]$.

б) Для функции $y = 5^{\sin x \cos x}$ преобразуем ее показатель степени $t = \sin x \cos x$. Используем формулу синуса двойного угла: $\sin(2x) = 2\sin x \cos x$.
Отсюда следует, что $\sin x \cos x = \frac{1}{2}\sin(2x)$.
Тогда функция принимает вид: $y = 5^{\frac{1}{2}\sin(2x)}$.
Найдем множество значений показателя $t = \frac{1}{2}\sin(2x)$.
Множество значений $\sin(2x)$ есть отрезок $[-1; 1]$, то есть $-1 \le \sin(2x) \le 1$.
Умножим все части неравенства на $\frac{1}{2}$: $-\frac{1}{2} \le \frac{1}{2}\sin(2x) \le \frac{1}{2}$.
Множество значений показателя $t$ есть отрезок $[-\frac{1}{2}; \frac{1}{2}]$.
Так как основание $a=5 > 1$, функция $y=5^t$ является возрастающей.
Наименьшее значение функции: $y_{min} = 5^{-1/2} = \frac{1}{5^{1/2}} = \frac{1}{\sqrt{5}} = \frac{\sqrt{5}}{5}$.
Наибольшее значение функции: $y_{max} = 5^{1/2} = \sqrt{5}$.
Следовательно, множество значений функции $y$ есть отрезок $[\frac{\sqrt{5}}{5}; \sqrt{5}]$.
Ответ: $[\frac{\sqrt{5}}{5}; \sqrt{5}]$.

в) Для функции $y = 3^{(\sin x - \cos x)^2}$ преобразуем показатель степени $t = (\sin x - \cos x)^2$.
Раскроем квадрат разности: $(\sin x - \cos x)^2 = \sin^2 x - 2\sin x \cos x + \cos^2 x$.
Используя основное тригонометрическое тождество $\sin^2 x + \cos^2 x = 1$ и формулу синуса двойного угла $2\sin x \cos x = \sin(2x)$, получаем: $t = (\sin^2 x + \cos^2 x) - 2\sin x \cos x = 1 - \sin(2x)$.
Функция принимает вид $y = 3^{1 - \sin(2x)}$.
Найдем множество значений показателя $t = 1 - \sin(2x)$.
Множество значений $\sin(2x)$ есть отрезок $[-1; 1]$, то есть $-1 \le \sin(2x) \le 1$.
Умножим на -1 (знаки неравенства изменятся): $1 \ge -\sin(2x) \ge -1$, или $-1 \le -\sin(2x) \le 1$.
Прибавим 1 ко всем частям: $1 - 1 \le 1 - \sin(2x) \le 1 + 1$, что дает $0 \le 1 - \sin(2x) \le 2$.
Множество значений показателя $t$ есть отрезок $[0; 2]$.
Так как основание $a=3 > 1$, функция $y=3^t$ является возрастающей.
Наименьшее значение функции: $y_{min} = 3^0 = 1$.
Наибольшее значение функции: $y_{max} = 3^2 = 9$.
Следовательно, множество значений функции $y$ есть отрезок $[1; 9]$.
Ответ: $[1; 9]$.

г) Для функции $y = 4^{\sin^4 x + \cos^4 x}$ преобразуем показатель степени $t = \sin^4 x + \cos^4 x$.
Представим выражение в виде: $\sin^4 x + \cos^4 x = (\sin^2 x)^2 + (\cos^2 x)^2$.
Дополним до полного квадрата: $(\sin^2 x + \cos^2 x)^2 - 2\sin^2 x \cos^2 x$.
Так как $\sin^2 x + \cos^2 x = 1$, получаем: $t = 1 - 2\sin^2 x \cos^2 x$.
Используем формулу синуса двойного угла $\sin(2x) = 2\sin x \cos x$. Возведя в квадрат, получим $\sin^2(2x) = 4\sin^2 x \cos^2 x$, откуда $2\sin^2 x \cos^2 x = \frac{1}{2}\sin^2(2x)$.
Таким образом, показатель степени $t = 1 - \frac{1}{2}\sin^2(2x)$.
Найдем множество значений показателя. Множество значений $\sin(2x)$ есть $[-1; 1]$, значит, множество значений $\sin^2(2x)$ есть $[0; 1]$.
$0 \le \sin^2(2x) \le 1$.
Умножим на $-\frac{1}{2}$: $-\frac{1}{2} \le -\frac{1}{2}\sin^2(2x) \le 0$.
Прибавим 1: $1 - \frac{1}{2} \le 1 - \frac{1}{2}\sin^2(2x) \le 1 + 0$, что дает $\frac{1}{2} \le t \le 1$.
Множество значений показателя $t$ есть отрезок $[\frac{1}{2}; 1]$.
Так как основание $a=4 > 1$, функция $y=4^t$ является возрастающей.
Наименьшее значение функции: $y_{min} = 4^{1/2} = \sqrt{4} = 2$.
Наибольшее значение функции: $y_{max} = 4^1 = 4$.
Следовательно, множество значений функции $y$ есть отрезок $[2; 4]$.
Ответ: $[2; 4]$.

Помогло решение? Оставьте отзыв в комментариях ниже.

Присоединяйтесь к Телеграм-группе @gdz_by_belarus

Присоединиться

Мы подготовили для вас ответ c подробным объяснением домашего задания по алгебре за 11 класс, для упражнения номер 11 расположенного на странице 20 к сборнику задач 2020 года издания для учащихся школ и гимназий.

Теперь на нашем сайте ГДЗ.ТОП вы всегда легко и бесплатно найдёте условие с правильным ответом на вопрос «Как решить ДЗ» и «Как сделать» задание по алгебре к упражнению №11 (с. 20), авторов: Арефьева (Ирина Глебовна), Пирютко (Ольга Николаевна), базовый и повышенный уровень обучения учебного пособия издательства Народная асвета.