Номер 6, страница 19 - гдз по алгебре 11 класс сборник задач Арефьева, Пирютко

Алгебра, 11 класс Сборник задач, авторы: Арефьева Ирина Глебовна, Пирютко Ольга Николаевна, издательство Народная асвета, Минск, 2020, белого цвета

Авторы: Арефьева И. Г., Пирютко О. Н.

Тип: Сборник задач

Издательство: Народная асвета

Год издания: 2020 - 2026

Уровень обучения: базовый и повышенный

Цвет обложки: белый с графиком

Допущено Министерством образования Республики Беларусь

Популярные ГДЗ в 11 классе

Глава 2. Показательная функция. Параграф 4. Показательная функция. Производная показательной функции - номер 6, страница 19.

№6 (с. 19)
Условие. №6 (с. 19)
скриншот условия
Алгебра, 11 класс Сборник задач, авторы: Арефьева Ирина Глебовна, Пирютко Ольга Николаевна, издательство Народная асвета, Минск, 2020, белого цвета, страница 19, номер 6, Условие

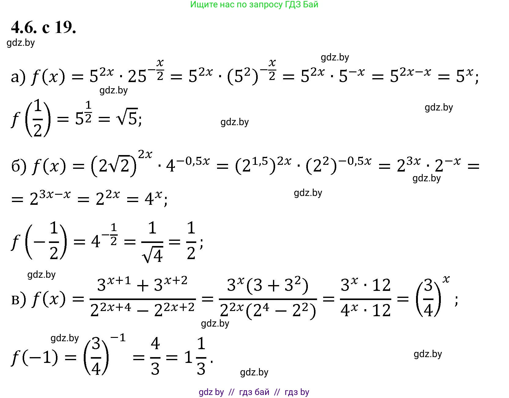
4.6. Представьте функцию $y = f(x)$ в виде $y = a^x$:

а) $f(x) = 5^{2x} \cdot 25^{-\frac{x}{2}}$ и найдите $f(\frac{1}{2})$;

б) $f(x) = (2\sqrt{2})^{2x} \cdot 4^{-0.5x}$ и найдите $f(-\frac{1}{2})$;

в) $f(x) = \frac{3^{x+1} + 3^{x+2}}{2^{2x+4} - 2^{2x+2}}$ и найдите $f(-1)$.

Решение. №6 (с. 19)
Алгебра, 11 класс Сборник задач, авторы: Арефьева Ирина Глебовна, Пирютко Ольга Николаевна, издательство Народная асвета, Минск, 2020, белого цвета, страница 19, номер 6, Решение
Решение 2. №6 (с. 19)

a) Для функции $f(x) = 5^{2x} \cdot 25^{-\frac{x}{2}}$ сначала представим ее в виде $y = a^x$.

Приведем все степени к одному основанию 5, учитывая, что $25 = 5^2$:

$f(x) = 5^{2x} \cdot (5^2)^{-\frac{x}{2}}$

Используя свойство степени $(a^m)^n = a^{mn}$, получаем:

$f(x) = 5^{2x} \cdot 5^{2 \cdot (-\frac{x}{2})} = 5^{2x} \cdot 5^{-x}$

Теперь, используя свойство $a^m \cdot a^n = a^{m+n}$, сложим показатели:

$f(x) = 5^{2x - x} = 5^x$

Функция представлена в виде $y = a^x$, где $a=5$.

Теперь найдем значение $f(\frac{1}{2})$:

$f(\frac{1}{2}) = 5^{\frac{1}{2}} = \sqrt{5}$

Ответ: $\sqrt{5}$.

б) Для функции $f(x) = (2\sqrt{2})^{2x} \cdot 4^{-0,5x}$ представим ее в виде $y = a^x$.

Приведем основания степеней к общему основанию 2.

$2\sqrt{2} = 2^1 \cdot 2^{\frac{1}{2}} = 2^{1+\frac{1}{2}} = 2^{\frac{3}{2}}$

$4 = 2^2$

Подставим эти значения в исходную функцию:

$f(x) = (2^{\frac{3}{2}})^{2x} \cdot (2^2)^{-0,5x}$

Используя свойство $(a^m)^n = a^{mn}$, упростим выражение:

$f(x) = 2^{\frac{3}{2} \cdot 2x} \cdot 2^{2 \cdot (-0,5x)} = 2^{3x} \cdot 2^{-x}$

Далее, по свойству $a^m \cdot a^n = a^{m+n}$:

$f(x) = 2^{3x - x} = 2^{2x}$

Чтобы получить вид $y=a^x$, запишем $2^{2x}$ как $(2^2)^x$:

$f(x) = (2^2)^x = 4^x$

Функция представлена в виде $y = a^x$, где $a=4$.

Теперь найдем значение $f(-\frac{1}{2})$:

$f(-\frac{1}{2}) = 4^{-\frac{1}{2}} = \frac{1}{4^{\frac{1}{2}}} = \frac{1}{\sqrt{4}} = \frac{1}{2}$

Ответ: $\frac{1}{2}$.

в) Для функции $f(x) = \frac{3^{x+1} + 3^{x+2}}{2^{2x+4} - 2^{2x+2}}$ представим ее в виде $y = a^x$.

Упростим числитель и знаменатель, вынеся за скобки общие множители.

Числитель: $3^{x+1} + 3^{x+2} = 3^x \cdot 3^1 + 3^x \cdot 3^2 = 3^x(3+9) = 12 \cdot 3^x$.

Знаменатель: $2^{2x+4} - 2^{2x+2} = 2^{2x} \cdot 2^4 - 2^{2x} \cdot 2^2 = 2^{2x}(16 - 4) = 12 \cdot 2^{2x}$.

Теперь подставим упрощенные выражения обратно в дробь:

$f(x) = \frac{12 \cdot 3^x}{12 \cdot 2^{2x}}$

Сократим на 12 и преобразуем знаменатель $2^{2x} = (2^2)^x = 4^x$:

$f(x) = \frac{3^x}{4^x} = (\frac{3}{4})^x$

Функция представлена в виде $y=a^x$, где $a = \frac{3}{4}$.

Теперь найдем значение $f(-1)$:

$f(-1) = (\frac{3}{4})^{-1} = \frac{4}{3}$

Так как мы получили неправильную дробь, выделим из нее целую часть:

$\frac{4}{3} = 1\frac{1}{3}$

Ответ: $1\frac{1}{3}$.

Помогло решение? Оставьте отзыв в комментариях ниже.

Присоединяйтесь к Телеграм-группе @gdz_by_belarus

Присоединиться

Мы подготовили для вас ответ c подробным объяснением домашего задания по алгебре за 11 класс, для упражнения номер 6 расположенного на странице 19 к сборнику задач 2020 года издания для учащихся школ и гимназий.

Теперь на нашем сайте ГДЗ.ТОП вы всегда легко и бесплатно найдёте условие с правильным ответом на вопрос «Как решить ДЗ» и «Как сделать» задание по алгебре к упражнению №6 (с. 19), авторов: Арефьева (Ирина Глебовна), Пирютко (Ольга Николаевна), базовый и повышенный уровень обучения учебного пособия издательства Народная асвета.