Номер 36, страница 33 - гдз по алгебре 11 класс сборник задач Арефьева, Пирютко

Алгебра, 11 класс Сборник задач, авторы: Арефьева Ирина Глебовна, Пирютко Ольга Николаевна, издательство Народная асвета, Минск, 2020, белого цвета

Авторы: Арефьева И. Г., Пирютко О. Н.

Тип: Сборник задач

Издательство: Народная асвета

Год издания: 2020 - 2026

Уровень обучения: базовый и повышенный

Цвет обложки: белый с графиком

Допущено Министерством образования Республики Беларусь

Популярные ГДЗ в 11 классе

Глава 2. Показательная функция. Параграф 5. Показательные уравнения - номер 36, страница 33.

№36 (с. 33)
Условие. №36 (с. 33)
скриншот условия
Алгебра, 11 класс Сборник задач, авторы: Арефьева Ирина Глебовна, Пирютко Ольга Николаевна, издательство Народная асвета, Минск, 2020, белого цвета, страница 33, номер 36, Условие

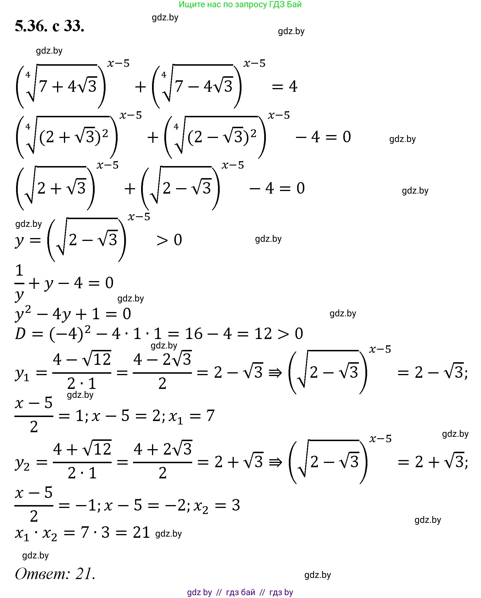
5.36. Найдите произведение корней уравнения

$(\sqrt[4]{7 + 4\sqrt{3}})^{x-5} + (\sqrt[4]{7 - 4\sqrt{3}})^{x-5} = 4.$

Решение. №36 (с. 33)
Алгебра, 11 класс Сборник задач, авторы: Арефьева Ирина Глебовна, Пирютко Ольга Николаевна, издательство Народная асвета, Минск, 2020, белого цвета, страница 33, номер 36, Решение
Решение 2. №36 (с. 33)

Для решения данного уравнения сначала упростим выражения, стоящие в основаниях степеней. Заметим, что подкоренные выражения можно представить в виде полного квадрата.

1. Упростим основание первого слагаемого:Выражение под корнем четвертой степени $7+4\sqrt{3}$ можно преобразовать:$7+4\sqrt{3} = 4 + 2 \cdot 2 \cdot \sqrt{3} + 3 = 2^2 + 2 \cdot 2 \cdot \sqrt{3} + (\sqrt{3})^2 = (2+\sqrt{3})^2$. Тогда основание степени равно:$\sqrt[4]{7+4\sqrt{3}} = \sqrt[4]{(2+\sqrt{3})^2} = \sqrt{2+\sqrt{3}}$.

2. Упростим основание второго слагаемого:Аналогично для выражения $7-4\sqrt{3}$:$7-4\sqrt{3} = 4 - 2 \cdot 2 \cdot \sqrt{3} + 3 = 2^2 - 2 \cdot 2 \cdot \sqrt{3} + (\sqrt{3})^2 = (2-\sqrt{3})^2$. Тогда основание степени равно:$\sqrt[4]{7-4\sqrt{3}} = \sqrt[4]{(2-\sqrt{3})^2} = \sqrt{2-\sqrt{3}}$.

3. Проверим, как связаны между собой полученные основания. Найдем их произведение:$\sqrt{2+\sqrt{3}} \cdot \sqrt{2-\sqrt{3}} = \sqrt{(2+\sqrt{3})(2-\sqrt{3})} = \sqrt{2^2 - (\sqrt{3})^2} = \sqrt{4-3} = \sqrt{1} = 1$. Поскольку произведение оснований равно 1, они являются взаимно обратными числами. То есть, $\sqrt{2-\sqrt{3}} = \frac{1}{\sqrt{2+\sqrt{3}}}$.

4. Перепишем исходное уравнение с новыми основаниями:$(\sqrt{2+\sqrt{3}})^{x-5} + (\sqrt{2-\sqrt{3}})^{x-5} = 4$. Используя свойство взаимно обратных оснований:$(\sqrt{2+\sqrt{3}})^{x-5} + \left(\frac{1}{\sqrt{2+\sqrt{3}}}\right)^{x-5} = 4$.

5. Введем замену переменной. Пусть $t = (\sqrt{2+\sqrt{3}})^{x-5}$. Так как основание $\sqrt{2+\sqrt{3}} > 0$, то и $t > 0$. Тогда уравнение примет вид:$t + \frac{1}{t} = 4$.

6. Решим полученное уравнение относительно $t$. Умножим обе части на $t$ (поскольку $t \neq 0$):$t^2 + 1 = 4t$$t^2 - 4t + 1 = 0$. Это квадратное уравнение. Найдем его корни с помощью формулы для корней квадратного уравнения:$t = \frac{-(-4) \pm \sqrt{(-4)^2 - 4 \cdot 1 \cdot 1}}{2 \cdot 1} = \frac{4 \pm \sqrt{16-4}}{2} = \frac{4 \pm \sqrt{12}}{2} = \frac{4 \pm 2\sqrt{3}}{2} = 2 \pm \sqrt{3}$. Мы получили два значения для $t$:$t_1 = 2+\sqrt{3}$$t_2 = 2-\sqrt{3}$Оба корня положительны, поэтому они оба являются допустимыми решениями.

7. Вернемся к исходной переменной $x$.Случай 1: $t = 2+\sqrt{3}$.$(\sqrt{2+\sqrt{3}})^{x-5} = 2+\sqrt{3}$$(2+\sqrt{3})^{\frac{x-5}{2}} = (2+\sqrt{3})^1$Так как основания степеней равны, приравниваем их показатели:$\frac{x-5}{2} = 1$$x-5 = 2$$x_1 = 7$.

Случай 2: $t = 2-\sqrt{3}$.$(\sqrt{2+\sqrt{3}})^{x-5} = 2-\sqrt{3}$Так как $2-\sqrt{3} = \frac{1}{2+\sqrt{3}} = (2+\sqrt{3})^{-1}$, уравнение можно переписать:$(2+\sqrt{3})^{\frac{x-5}{2}} = (2+\sqrt{3})^{-1}$Приравниваем показатели степеней:$\frac{x-5}{2} = -1$$x-5 = -2$$x_2 = 3$.

Корнями уравнения являются $x_1 = 7$ и $x_2 = 3$.

8. Найдем произведение корней уравнения:$x_1 \cdot x_2 = 7 \cdot 3 = 21$.

Произведение корней уравнения: Ответ: 21

Помогло решение? Оставьте отзыв в комментариях ниже.

Присоединяйтесь к Телеграм-группе @gdz_by_belarus

Присоединиться

Мы подготовили для вас ответ c подробным объяснением домашего задания по алгебре за 11 класс, для упражнения номер 36 расположенного на странице 33 к сборнику задач 2020 года издания для учащихся школ и гимназий.

Теперь на нашем сайте ГДЗ.ТОП вы всегда легко и бесплатно найдёте условие с правильным ответом на вопрос «Как решить ДЗ» и «Как сделать» задание по алгебре к упражнению №36 (с. 33), авторов: Арефьева (Ирина Глебовна), Пирютко (Ольга Николаевна), базовый и повышенный уровень обучения учебного пособия издательства Народная асвета.