Номер 39, страница 33 - гдз по алгебре 11 класс сборник задач Арефьева, Пирютко

Алгебра, 11 класс Сборник задач, авторы: Арефьева Ирина Глебовна, Пирютко Ольга Николаевна, издательство Народная асвета, Минск, 2020, белого цвета

Авторы: Арефьева И. Г., Пирютко О. Н.

Тип: Сборник задач

Издательство: Народная асвета

Год издания: 2020 - 2026

Уровень обучения: базовый и повышенный

Цвет обложки: белый с графиком

Допущено Министерством образования Республики Беларусь

Глава 2. Показательная функция. Параграф 5. Показательные уравнения - номер 39, страница 33.

№39 (с. 33)
Условие. №39 (с. 33)
скриншот условия
Алгебра, 11 класс Сборник задач, авторы: Арефьева Ирина Глебовна, Пирютко Ольга Николаевна, издательство Народная асвета, Минск, 2020, белого цвета, страница 33, номер 39, Условие

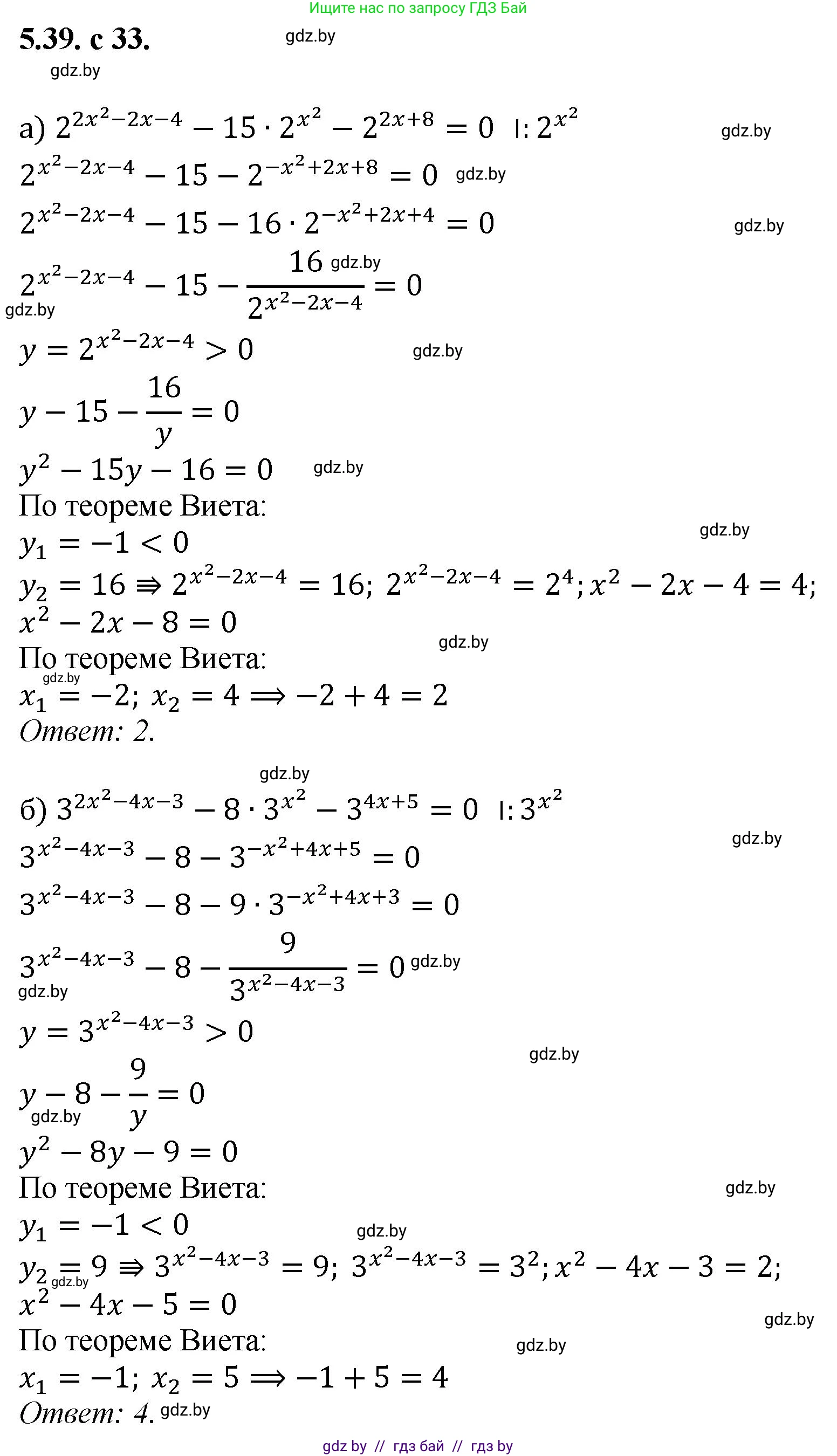
5.39. Найдите сумму корней (корень, если он единственный) уравнения:

а) $2^{2x^2 - 2x - 4} - 15 \cdot 2^{x^2} - 2^{2x + 8} = 0;$

б) $3^{2x^2 - 4x - 3} - 8 \cdot 3^{x^2} - 3^{4x + 5} = 0;$

в) $9^{x^2} - 4 \cdot 3^{x^2 + 2x + 3} + 3^{4x + 7} = 0;$

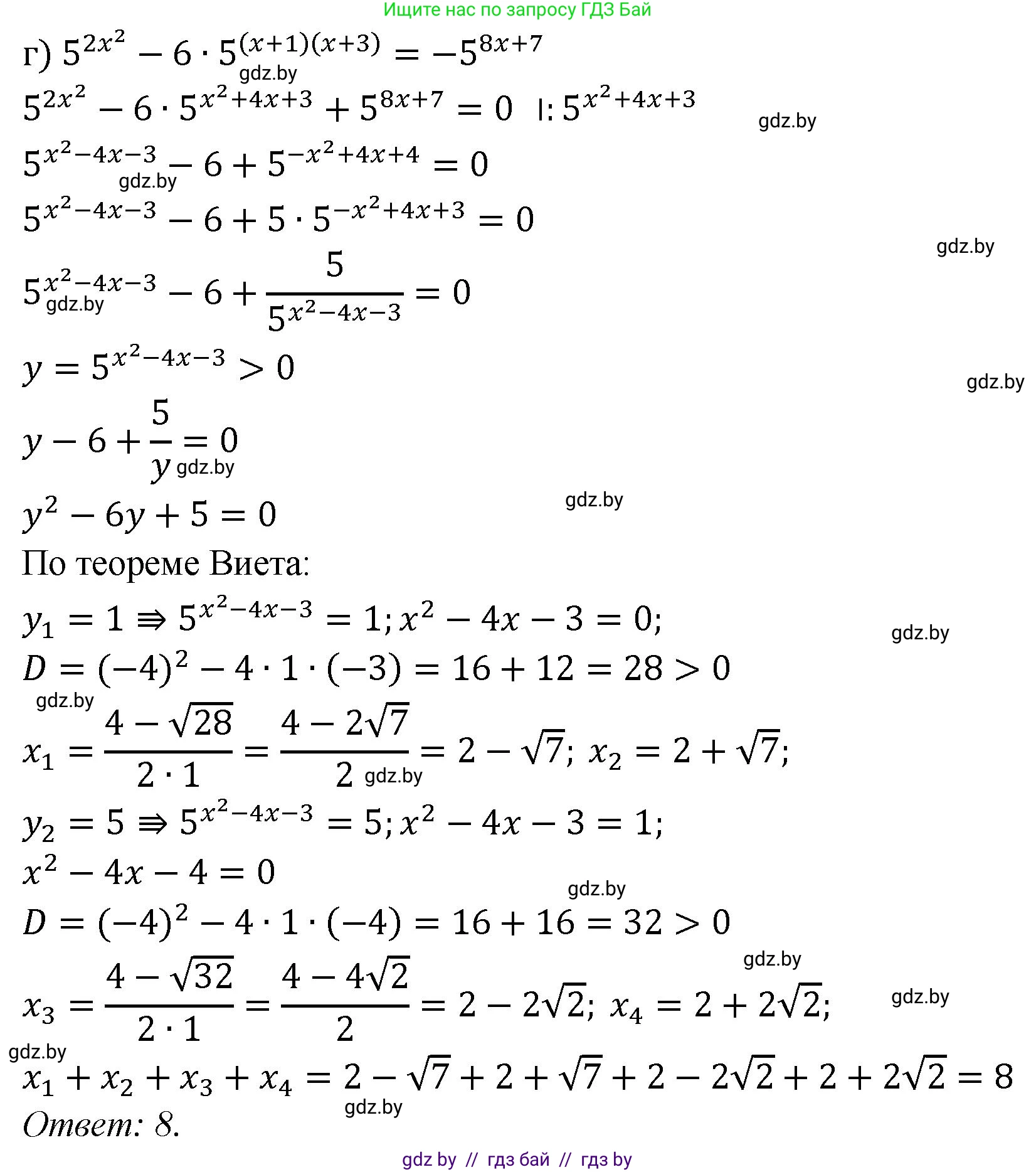
г) $5^{2x^2} - 6 \cdot 5^{(x + 1)(x + 3)} = -5^{8x + 7}.$

Решение. №39 (с. 33)
Алгебра, 11 класс Сборник задач, авторы: Арефьева Ирина Глебовна, Пирютко Ольга Николаевна, издательство Народная асвета, Минск, 2020, белого цвета, страница 33, номер 39, Решение Алгебра, 11 класс Сборник задач, авторы: Арефьева Ирина Глебовна, Пирютко Ольга Николаевна, издательство Народная асвета, Минск, 2020, белого цвета, страница 33, номер 39, Решение (продолжение 2)
Решение 2. №39 (с. 33)

а) $2^{2x^2-2x-4} - 15 \cdot 2^{x^2-x-2} - 2^4 = 0$

Заметим, что последний член в исходном уравнении на изображении ($2^{2x+8}$) не позволяет решить уравнение стандартными методами. Наиболее вероятно, что в условии допущена опечатка, и уравнение должно иметь вид, который сводится к квадратному. Предположим, что верный вид уравнения следующий:

$2^{2x^2-2x-4} - 15 \cdot 2^{x^2-x-2} - 16 = 0$

Преобразуем первый член уравнения, используя свойство степеней $(a^m)^n = a^{mn}$:
$2^{2x^2-2x-4} = 2^{2(x^2-x-2)} = (2^{x^2-x-2})^2$.

Теперь уравнение принимает вид:
$(2^{x^2-x-2})^2 - 15 \cdot 2^{x^2-x-2} - 16 = 0$.

Сделаем замену переменной. Пусть $y = 2^{x^2-x-2}$. Так как основание степени 2 положительно, то $y > 0$.
Получаем квадратное уравнение относительно $y$:
$y^2 - 15y - 16 = 0$.

Решим это уравнение. По теореме Виета, произведение корней равно -16, а сумма 15. Корни: $y_1 = 16$ и $y_2 = -1$.
Поскольку $y > 0$, корень $y_2 = -1$ является посторонним.

Выполним обратную замену для $y_1 = 16$:
$2^{x^2-x-2} = 16$.
Так как $16 = 2^4$, получаем:
$2^{x^2-x-2} = 2^4$.

Приравниваем показатели степеней:
$x^2 - x - 2 = 4$
$x^2 - x - 6 = 0$.

Решим полученное квадратное уравнение. По теореме Виета, произведение корней равно -6, а сумма 1. Корни: $x_1 = 3$ и $x_2 = -2$.
Найдем сумму корней: $3 + (-2) = 1$.

Ответ: 1


б) $3^{2x^2-4x-3} - 8 \cdot 3^{x^2} - 3^{4x+5} = 0$

Перенесем члены уравнения:
$3^{2x^2-4x-3} = 8 \cdot 3^{x^2} + 3^{4x+5}$.

Данное уравнение не сводится к квадратному заменой вида $y=3^{f(x)}$. Однако, если разделить все члены на один из них, можно получить более простую структуру. Разделим обе части уравнения на $3^{2x^2-4x-3}$:
$1 - 8 \cdot \frac{3^{x^2}}{3^{2x^2-4x-3}} - \frac{3^{4x+5}}{3^{2x^2-4x-3}} = 0$.

Используя свойство $\frac{a^m}{a^n} = a^{m-n}$, упростим показатели:
$1 - 8 \cdot 3^{x^2 - (2x^2-4x-3)} - 3^{4x+5 - (2x^2-4x-3)} = 0$
$1 - 8 \cdot 3^{-x^2+4x+3} - 3^{-2x^2+8x+8} = 0$.

Заметим, что показатель второго члена связан с показателем первого: $-2x^2+8x+8 = 2(-x^2+4x+4) = 2(-x^2+4x+3+1) = 2(-x^2+4x+3)+2$.
Тогда $3^{-2x^2+8x+8} = 3^{2(-x^2+4x+3)+2} = 3^2 \cdot (3^{-x^2+4x+3})^2 = 9 \cdot (3^{-x^2+4x+3})^2$.

Сделаем замену переменной. Пусть $y = 3^{-x^2+4x+3}$. Очевидно, $y > 0$.
Уравнение принимает вид:
$1 - 8y - 9y^2 = 0$, или $9y^2 + 8y - 1 = 0$.

Решим квадратное уравнение для $y$ с помощью дискриминанта:
$D = 8^2 - 4 \cdot 9 \cdot (-1) = 64 + 36 = 100 = 10^2$.
$y_{1,2} = \frac{-8 \pm 10}{18}$.
$y_1 = \frac{2}{18} = \frac{1}{9}$.
$y_2 = \frac{-18}{18} = -1$.
Так как $y > 0$, корень $y_2 = -1$ не подходит.

Выполним обратную замену для $y_1 = \frac{1}{9}$:
$3^{-x^2+4x+3} = \frac{1}{9} = 3^{-2}$.

Приравниваем показатели:
$-x^2+4x+3 = -2$
$x^2-4x-5 = 0$.

Корни этого уравнения: $x_1 = 5$ и $x_2 = -1$.
Сумма корней: $5 + (-1) = 4$.

Ответ: 4


в) $9^{x^2} - 4 \cdot 3^{x^2+2x+3} + 3^{4x+7} = 0$

Приведем все степени к основанию 3:
$(3^2)^{x^2} - 4 \cdot 3^{x^2+2x+3} + 3^{4x+7} = 0$
$3^{2x^2} - 4 \cdot 3^{x^2+2x+3} + 3^{4x+7} = 0$.

Разделим все члены уравнения на $3^{4x+7}$:
$\frac{3^{2x^2}}{3^{4x+7}} - 4 \cdot \frac{3^{x^2+2x+3}}{3^{4x+7}} + 1 = 0$.

Упростим показатели:
$3^{2x^2 - 4x - 7} - 4 \cdot 3^{x^2+2x+3 - (4x+7)} + 1 = 0$
$3^{2x^2 - 4x - 7} - 4 \cdot 3^{x^2-2x-4} + 1 = 0$.

Заметим, что $2x^2-4x-7 = 2(x^2-2x-4)+1$.
Тогда $3^{2x^2-4x-7} = 3^{2(x^2-2x-4)+1} = 3 \cdot (3^{x^2-2x-4})^2$.

Сделаем замену $y = 3^{x^2-2x-4}$, где $y > 0$.
Уравнение принимает вид:
$3y^2 - 4y + 1 = 0$.

Решим это квадратное уравнение. Сумма коэффициентов $3-4+1=0$, значит один корень $y_1=1$. Второй корень $y_2 = c/a = 1/3$. Оба корня положительны.

Рассмотрим два случая:
1) $y=1$:
$3^{x^2-2x-4} = 1 = 3^0$.
$x^2-2x-4 = 0$.
$x_{1,2} = \frac{2 \pm \sqrt{4 - 4(-4)}}{2} = \frac{2 \pm \sqrt{20}}{2} = 1 \pm \sqrt{5}$.

2) $y=1/3$:
$3^{x^2-2x-4} = \frac{1}{3} = 3^{-1}$.
$x^2-2x-4 = -1$
$x^2-2x-3 = 0$.
$(x-3)(x+1) = 0$. Корни $x_3=3, x_4=-1$.

Всего четыре корня: $1+\sqrt{5}$, $1-\sqrt{5}$, $3$, $-1$.
Найдем их сумму: $(1+\sqrt{5}) + (1-\sqrt{5}) + 3 + (-1) = 2 + 2 = 4$.

Ответ: 4


г) $5^{2x^2} - 6 \cdot 5^{(x+1)(x+3)} = -5^{8x+7}$

Перепишем уравнение в стандартном виде и раскроем скобки в показателе степени:
$5^{2x^2} - 6 \cdot 5^{x^2+4x+3} + 5^{8x+7} = 0$.

Это уравнение аналогично предыдущему. Разделим все члены на $5^{8x+7}$:
$\frac{5^{2x^2}}{5^{8x+7}} - 6 \cdot \frac{5^{x^2+4x+3}}{5^{8x+7}} + 1 = 0$.

Упростим показатели:
$5^{2x^2 - 8x - 7} - 6 \cdot 5^{x^2+4x+3 - (8x+7)} + 1 = 0$
$5^{2x^2 - 8x - 7} - 6 \cdot 5^{x^2-4x-4} + 1 = 0$.

Заметим, что $2x^2-8x-7 = 2(x^2-4x-4)+1$.
Следовательно, $5^{2x^2-8x-7} = 5^{2(x^2-4x-4)+1} = 5 \cdot (5^{x^2-4x-4})^2$.

Сделаем замену $y = 5^{x^2-4x-4}$, где $y > 0$.
Получаем уравнение:
$5y^2 - 6y + 1 = 0$.

Сумма коэффициентов $5-6+1=0$, значит $y_1=1$. Второй корень $y_2=c/a=1/5$. Оба корня подходят.

Рассмотрим два случая:
1) $y=1$:
$5^{x^2-4x-4} = 1 = 5^0$.
$x^2-4x-4 = 0$.
$x_{1,2} = \frac{4 \pm \sqrt{16-4(-4)}}{2} = \frac{4 \pm \sqrt{32}}{2} = 2 \pm 2\sqrt{2}$.

2) $y=1/5$:
$5^{x^2-4x-4} = \frac{1}{5} = 5^{-1}$.
$x^2-4x-4 = -1$
$x^2-4x-3 = 0$.
$x_{3,4} = \frac{4 \pm \sqrt{16-4(-3)}}{2} = \frac{4 \pm \sqrt{28}}{2} = 2 \pm \sqrt{7}$.

Всего четыре корня: $2+2\sqrt{2}$, $2-2\sqrt{2}$, $2+\sqrt{7}$, $2-\sqrt{7}$.
Найдем их сумму: $(2+2\sqrt{2}) + (2-2\sqrt{2}) + (2+\sqrt{7}) + (2-\sqrt{7}) = 4 + 4 = 8$.

Ответ: 8

Помогло решение? Оставьте отзыв в комментариях ниже.

Присоединяйтесь к Телеграм-группе @gdz_by_belarus

Присоединиться

Мы подготовили для вас ответ c подробным объяснением домашего задания по алгебре за 11 класс, для упражнения номер 39 расположенного на странице 33 к сборнику задач 2020 года издания для учащихся школ и гимназий.

Теперь на нашем сайте ГДЗ.ТОП вы всегда легко и бесплатно найдёте условие с правильным ответом на вопрос «Как решить ДЗ» и «Как сделать» задание по алгебре к упражнению №39 (с. 33), авторов: Арефьева (Ирина Глебовна), Пирютко (Ольга Николаевна), базовый и повышенный уровень обучения учебного пособия издательства Народная асвета.