Номер 51, страница 34 - гдз по алгебре 11 класс сборник задач Арефьева, Пирютко

Алгебра, 11 класс Сборник задач, авторы: Арефьева Ирина Глебовна, Пирютко Ольга Николаевна, издательство Народная асвета, Минск, 2020, белого цвета

Авторы: Арефьева И. Г., Пирютко О. Н.

Тип: Сборник задач

Издательство: Народная асвета

Год издания: 2020 - 2026

Уровень обучения: базовый и повышенный

Цвет обложки: белый с графиком

Допущено Министерством образования Республики Беларусь

Глава 2. Показательная функция. Параграф 5. Показательные уравнения - номер 51, страница 34.

№51 (с. 34)
Условие. №51 (с. 34)
скриншот условия
Алгебра, 11 класс Сборник задач, авторы: Арефьева Ирина Глебовна, Пирютко Ольга Николаевна, издательство Народная асвета, Минск, 2020, белого цвета, страница 34, номер 51, Условие

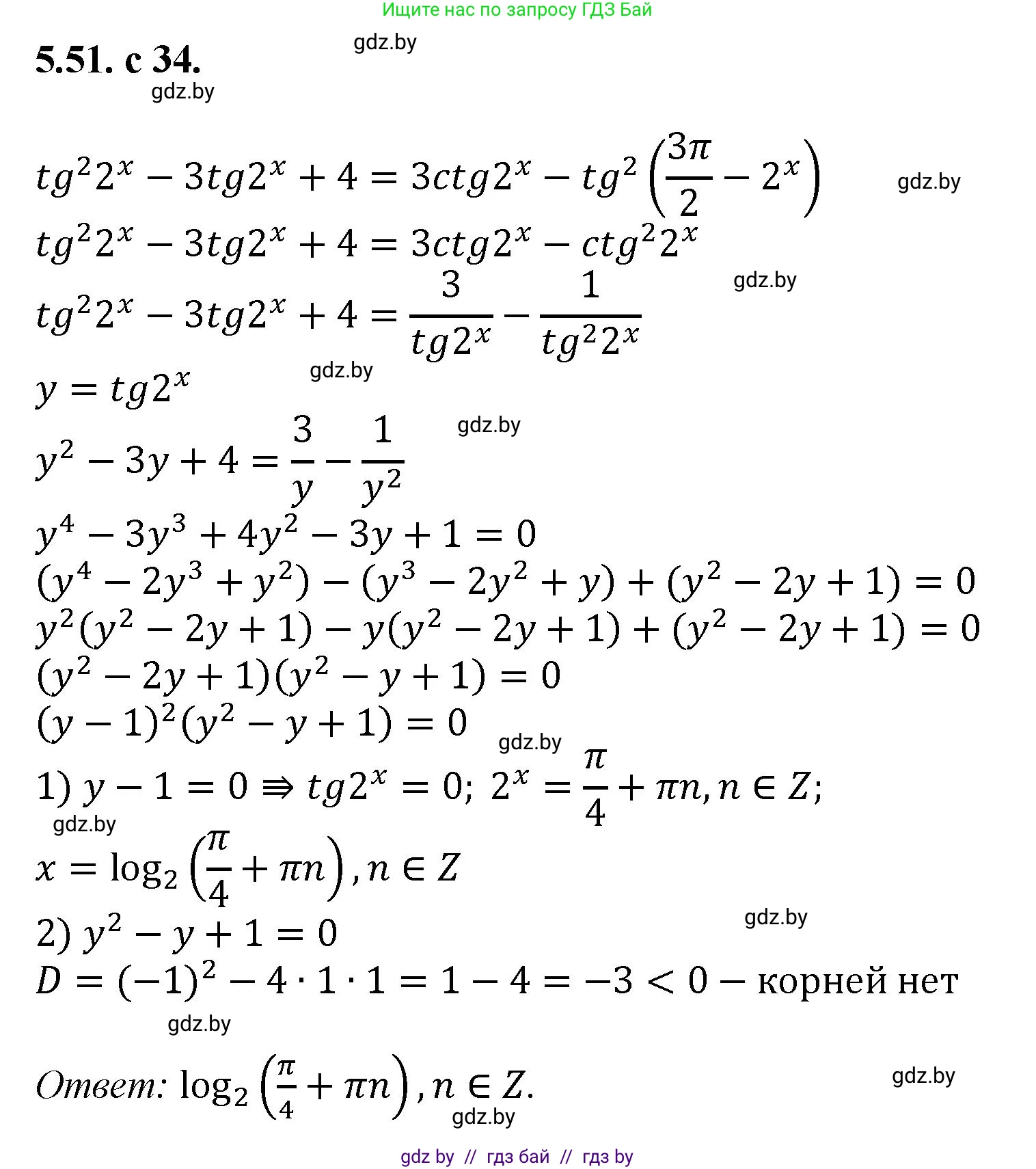
5.51. Решите уравнение

$tg^2 2^x - 3tg2^x + 4 = 3ctg2^x - tg^2 \left(\frac{3\pi}{2} - 2^x\right)$

Решение. №51 (с. 34)
Алгебра, 11 класс Сборник задач, авторы: Арефьева Ирина Глебовна, Пирютко Ольга Николаевна, издательство Народная асвета, Минск, 2020, белого цвета, страница 34, номер 51, Решение
Решение 2. №51 (с. 34)

Исходное уравнение:

$\tg^2 2^x - 3\tg 2^x + 4 = 3\ctg 2^x - \tg^2\left(\frac{3\pi}{2} - 2^x\right)$

Для начала, упростим правую часть уравнения, используя формулу приведения для тангенса: $\tg(\frac{3\pi}{2} - \alpha) = \ctg \alpha$.

Тогда $\tg^2\left(\frac{3\pi}{2} - 2^x\right) = \left(\ctg 2^x\right)^2 = \ctg^2 2^x$.

Подставим это выражение обратно в уравнение:

$\tg^2 2^x - 3\tg 2^x + 4 = 3\ctg 2^x - \ctg^2 2^x$

Перенесем все члены в левую часть:

$\tg^2 2^x + \ctg^2 2^x - 3\tg 2^x - 3\ctg 2^x + 4 = 0$

Сгруппируем слагаемые:

$(\tg^2 2^x + \ctg^2 2^x) - 3(\tg 2^x + \ctg 2^x) + 4 = 0$

Введем замену. Пусть $y = \tg 2^x + \ctg 2^x$.

Выразим сумму квадратов через $y$. Для этого возведем замену в квадрат:

$y^2 = (\tg 2^x + \ctg 2^x)^2 = \tg^2 2^x + 2\tg 2^x \ctg 2^x + \ctg^2 2^x$

Так как $\tg 2^x \cdot \ctg 2^x = 1$, получаем:

$y^2 = \tg^2 2^x + 2 + \ctg^2 2^x$

Отсюда, $\tg^2 2^x + \ctg^2 2^x = y^2 - 2$.

Подставим выражения с $y$ в сгруппированное уравнение:

$(y^2 - 2) - 3y + 4 = 0$

$y^2 - 3y + 2 = 0$

Это квадратное уравнение относительно $y$. Решим его, например, по теореме Виета или через дискриминант. Корни легко находятся: $y_1 = 1$, $y_2 = 2$.

Теперь вернемся к исходной переменной $x$, рассмотрев два случая.

Случай 1: $y = 1$

$\tg 2^x + \ctg 2^x = 1$

Пусть $t = \tg 2^x$. Тогда $\ctg 2^x = \frac{1}{t}$. Уравнение принимает вид:

$t + \frac{1}{t} = 1$

$t^2 - t + 1 = 0$

Дискриминант этого квадратного уравнения $D = (-1)^2 - 4 \cdot 1 \cdot 1 = 1 - 4 = -3$. Так как $D < 0$, уравнение не имеет действительных корней. Следовательно, в этом случае решений для $x$ нет.

Случай 2: $y = 2$

$\tg 2^x + \ctg 2^x = 2$

Снова, пусть $t = \tg 2^x$:

$t + \frac{1}{t} = 2$

$t^2 - 2t + 1 = 0$

$(t-1)^2 = 0$

Отсюда $t = 1$.

Значит, $\tg 2^x = 1$.

Общее решение для уравнения $\tg \alpha = 1$ имеет вид $\alpha = \frac{\pi}{4} + n\pi$, где $n$ - целое число ($n \in \mathbb{Z}$).

Следовательно:

$2^x = \frac{\pi}{4} + n\pi = \pi\left(n + \frac{1}{4}\right)$

Поскольку показательная функция $2^x$ всегда положительна ($2^x > 0$), то и правая часть должна быть положительной:

$\pi\left(n + \frac{1}{4}\right) > 0$

Так как $\pi > 0$, получаем условие на $n$:

$n + \frac{1}{4} > 0 \implies n > -\frac{1}{4}$

Поскольку $n$ - целое число, это условие означает, что $n$ может быть любым целым неотрицательным числом: $n \in \{0, 1, 2, ...\}$.

Наконец, выразим $x$ из уравнения $2^x = \pi\left(n + \frac{1}{4}\right)$, взяв логарифм по основанию 2 от обеих частей:

$x = \log_2\left(\pi\left(n + \frac{1}{4}\right)\right)$

Проверим область допустимых значений (ОДЗ). Исходное уравнение содержит $\tg 2^x$ и $\ctg 2^x$, что требует $2^x \ne \frac{k\pi}{2}$ для любого целого $k$. Наше решение $2^x = \pi(n+\frac{1}{4}) = \frac{\pi(4n+1)}{4}$. Равенство $\frac{\pi(4n+1)}{4} = \frac{k\pi}{2}$ привело бы к $4n+1 = 2k$, что невозможно, так как слева нечетное число, а справа - четное. Значит, все найденные решения входят в ОДЗ.

Ответ: $x = \log_2\left(\pi\left(n + \frac{1}{4}\right)\right)$, где $n$ - любое целое неотрицательное число ($n \in \mathbb{Z}, n \ge 0$).

Помогло решение? Оставьте отзыв в комментариях ниже.

Присоединяйтесь к Телеграм-группе @gdz_by_belarus

Присоединиться

Мы подготовили для вас ответ c подробным объяснением домашего задания по алгебре за 11 класс, для упражнения номер 51 расположенного на странице 34 к сборнику задач 2020 года издания для учащихся школ и гимназий.

Теперь на нашем сайте ГДЗ.ТОП вы всегда легко и бесплатно найдёте условие с правильным ответом на вопрос «Как решить ДЗ» и «Как сделать» задание по алгебре к упражнению №51 (с. 34), авторов: Арефьева (Ирина Глебовна), Пирютко (Ольга Николаевна), базовый и повышенный уровень обучения учебного пособия издательства Народная асвета.