Номер 2, страница 41 - гдз по алгебре 11 класс сборник задач Арефьева, Пирютко

Алгебра, 11 класс Сборник задач, авторы: Арефьева Ирина Глебовна, Пирютко Ольга Николаевна, издательство Народная асвета, Минск, 2020, белого цвета

Авторы: Арефьева И. Г., Пирютко О. Н.

Тип: Сборник задач

Издательство: Народная асвета

Год издания: 2020 - 2026

Уровень обучения: базовый и повышенный

Цвет обложки: белый с графиком

Допущено Министерством образования Республики Беларусь

Популярные ГДЗ в 11 классе

Глава 2. Показательная функция. Параграф 6. Показательные неравенства - номер 2, страница 41.

№2 (с. 41)
Условие. №2 (с. 41)
скриншот условия
Алгебра, 11 класс Сборник задач, авторы: Арефьева Ирина Глебовна, Пирютко Ольга Николаевна, издательство Народная асвета, Минск, 2020, белого цвета, страница 41, номер 2, Условие

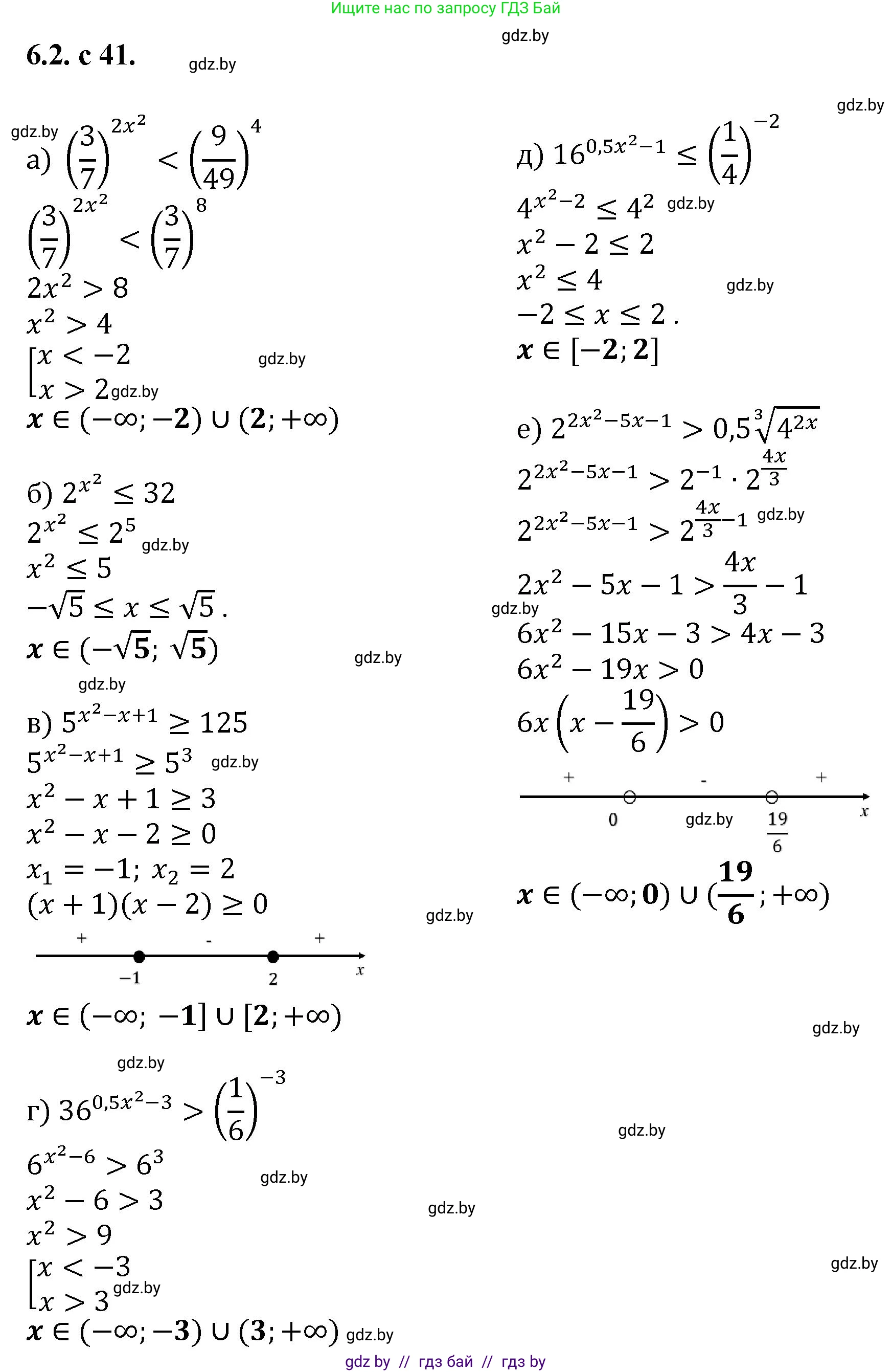
6.2. Решите неравенство:

а) $(\frac{3}{7})^{2x^2} < (\frac{9}{49})^4$;

б) $2^{x^2} \le 32$;

в) $5^{x^2-x+1} \ge 125$;

г) $36^{0.5x^2-3} > (\frac{1}{6})^{-3}$;

д) $16^{0.5x^2-1} \le (\frac{1}{4})^{-2}$;

е) $2^{2x^2-5x-1} > 0,5 \sqrt[3]{4^{2x}}$.

Решение. №2 (с. 41)
Алгебра, 11 класс Сборник задач, авторы: Арефьева Ирина Глебовна, Пирютко Ольга Николаевна, издательство Народная асвета, Минск, 2020, белого цвета, страница 41, номер 2, Решение
Решение 2. №2 (с. 41)

а) $(\frac{3}{7})^{2x^2} < (\frac{9}{49})^4$

Приведем обе части неравенства к одному основанию $\frac{3}{7}$.
Правая часть: $(\frac{9}{49})^4 = ((\frac{3}{7})^2)^4 = (\frac{3}{7})^{2 \cdot 4} = (\frac{3}{7})^8$.
Неравенство принимает вид: $(\frac{3}{7})^{2x^2} < (\frac{3}{7})^8$.
Так как основание $a = \frac{3}{7}$ и $0 < a < 1$, показательная функция является убывающей. Это означает, что при переходе от степеней к их показателям знак неравенства меняется на противоположный.
$2x^2 > 8$
$x^2 > 4$
$x^2 - 4 > 0$
$(x-2)(x+2) > 0$
Решением этого неравенства является объединение интервалов $x < -2$ и $x > 2$.

Ответ: $x \in (-\infty; -2) \cup (2; \infty)$.

б) $2^{x^2} \le 32$

Приведем обе части к основанию 2.
$32 = 2^5$.
Неравенство принимает вид: $2^{x^2} \le 2^5$.
Так как основание $a = 2$ и $a > 1$, показательная функция является возрастающей. Знак неравенства сохраняется.
$x^2 \le 5$
$x^2 - 5 \le 0$
$(x-\sqrt{5})(x+\sqrt{5}) \le 0$
Решением этого неравенства является отрезок.

Ответ: $x \in [-\sqrt{5}; \sqrt{5}]$.

в) $5^{x^2 - x + 1} \ge 125$

Приведем обе части к основанию 5.
$125 = 5^3$.
Неравенство принимает вид: $5^{x^2 - x + 1} \ge 5^3$.
Так как основание $a = 5$ и $a > 1$, показательная функция является возрастающей. Знак неравенства сохраняется.
$x^2 - x + 1 \ge 3$
$x^2 - x - 2 \ge 0$
Найдем корни квадратного уравнения $x^2 - x - 2 = 0$. По теореме Виета, $x_1 = 2$, $x_2 = -1$.
$(x-2)(x+1) \ge 0$
Решением этого неравенства является объединение интервалов.

Ответ: $x \in (-\infty; -1] \cup [2; \infty)$.

г) $36^{0.5x^2 - 3} > (\frac{1}{6})^{-3}$

Приведем обе части неравенства к основанию 6.
Левая часть: $36^{0.5x^2 - 3} = (6^2)^{0.5x^2 - 3} = 6^{2(0.5x^2 - 3)} = 6^{x^2 - 6}$.
Правая часть: $(\frac{1}{6})^{-3} = (6^{-1})^{-3} = 6^3$.
Неравенство принимает вид: $6^{x^2 - 6} > 6^3$.
Так как основание $a = 6$ и $a > 1$, функция возрастающая, знак неравенства сохраняется.
$x^2 - 6 > 3$
$x^2 - 9 > 0$
$(x-3)(x+3) > 0$
Решением является объединение интервалов.

Ответ: $x \in (-\infty; -3) \cup (3; \infty)$.

д) $16^{0.5x^2 - 1} \le (\frac{1}{4})^{-2}$

Приведем обе части к основанию 4.
Левая часть: $16^{0.5x^2 - 1} = (4^2)^{0.5x^2 - 1} = 4^{2(0.5x^2 - 1)} = 4^{x^2 - 2}$.
Правая часть: $(\frac{1}{4})^{-2} = (4^{-1})^{-2} = 4^2$.
Неравенство принимает вид: $4^{x^2 - 2} \le 4^2$.
Так как основание $a = 4$ и $a > 1$, функция возрастающая, знак неравенства сохраняется.
$x^2 - 2 \le 2$
$x^2 - 4 \le 0$
$(x-2)(x+2) \le 0$
Решением является отрезок.

Ответ: $x \in [-2; 2]$.

е) $2^{2x^2 - 5x - 1} > 0,5\sqrt[3]{4^{2x}}$

Приведем обе части неравенства к основанию 2. В правой части $0,5$ — это десятичная дробь, которая является множителем.
Правая часть: $0,5 \cdot \sqrt[3]{4^{2x}} = \frac{1}{2} \cdot ( (2^2)^{2x} )^{1/3} = 2^{-1} \cdot (2^{4x})^{1/3} = 2^{-1} \cdot 2^{4x/3} = 2^{\frac{4x}{3} - 1}$.
Неравенство принимает вид: $2^{2x^2 - 5x - 1} > 2^{\frac{4x}{3} - 1}$.
Так как основание $a=2$ и $a>1$, функция возрастающая, знак неравенства сохраняется.
$2x^2 - 5x - 1 > \frac{4x}{3} - 1$
$2x^2 - 5x > \frac{4x}{3}$
$2x^2 - 5x - \frac{4x}{3} > 0$
$2x^2 - (\frac{15x}{3} + \frac{4x}{3}) > 0$
$2x^2 - \frac{19x}{3} > 0$
Вынесем $x$ за скобки: $x(2x - \frac{19}{3}) > 0$.
Корни соответствующего уравнения: $x_1 = 0$ и $x_2 = \frac{19}{6}$.
Решением неравенства является объединение интервалов $(-\infty; 0) \cup (\frac{19}{6}; \infty)$.
Представим неправильную дробь в виде смешанного числа: $\frac{19}{6} = 3\frac{1}{6}$.

Ответ: $x \in (-\infty; 0) \cup (\mathbf{3}\frac{1}{6}; \infty)$.

Помогло решение? Оставьте отзыв в комментариях ниже.

Присоединяйтесь к Телеграм-группе @gdz_by_belarus

Присоединиться

Мы подготовили для вас ответ c подробным объяснением домашего задания по алгебре за 11 класс, для упражнения номер 2 расположенного на странице 41 к сборнику задач 2020 года издания для учащихся школ и гимназий.

Теперь на нашем сайте ГДЗ.ТОП вы всегда легко и бесплатно найдёте условие с правильным ответом на вопрос «Как решить ДЗ» и «Как сделать» задание по алгебре к упражнению №2 (с. 41), авторов: Арефьева (Ирина Глебовна), Пирютко (Ольга Николаевна), базовый и повышенный уровень обучения учебного пособия издательства Народная асвета.