Номер 9, страница 42 - гдз по алгебре 11 класс сборник задач Арефьева, Пирютко

Алгебра, 11 класс Сборник задач, авторы: Арефьева Ирина Глебовна, Пирютко Ольга Николаевна, издательство Народная асвета, Минск, 2020, белого цвета

Авторы: Арефьева И. Г., Пирютко О. Н.

Тип: Сборник задач

Издательство: Народная асвета

Год издания: 2020 - 2026

Уровень обучения: базовый и повышенный

Цвет обложки: белый с графиком

Допущено Министерством образования Республики Беларусь

Популярные ГДЗ в 11 классе

Глава 2. Показательная функция. Параграф 6. Показательные неравенства - номер 9, страница 42.

№9 (с. 42)
Условие. №9 (с. 42)
скриншот условия
Алгебра, 11 класс Сборник задач, авторы: Арефьева Ирина Глебовна, Пирютко Ольга Николаевна, издательство Народная асвета, Минск, 2020, белого цвета, страница 42, номер 9, Условие

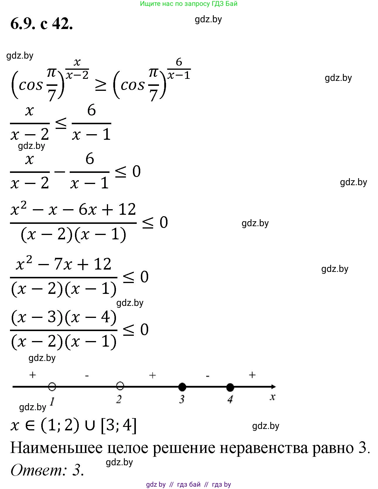
6.9. Найдите наименьшее целое решение неравенства

$(\cos\frac{\pi}{7})^{\frac{x}{x-2}} \ge (\cos\frac{\pi}{7})^{\frac{6}{x-1}}$

Решение. №9 (с. 42)
Алгебра, 11 класс Сборник задач, авторы: Арефьева Ирина Глебовна, Пирютко Ольга Николаевна, издательство Народная асвета, Минск, 2020, белого цвета, страница 42, номер 9, Решение
Решение 2. №9 (с. 42)

Данное неравенство является показательным. Проанализируем его по шагам.

Исходное неравенство:

$$ \left(\cos\frac{\pi}{7}\right)^{\frac{x}{x-2}} \ge \left(\cos\frac{\pi}{7}\right)^{\frac{6}{x-1}} $$

1. Определение области допустимых значений (ОДЗ)

Показатели степени должны быть определены. Это означает, что знаменатели дробей в показателях не могут быть равны нулю:

$$ x - 2 \neq 0 \implies x \neq 2 $$

$$ x - 1 \neq 0 \implies x \neq 1 $$

Таким образом, ОДЗ: $x \in (-\infty; 1) \cup (1; 2) \cup (2; +\infty)$.

2. Анализ основания степени

Основание степени в обеих частях неравенства одинаково и равно $a = \cos\frac{\pi}{7}$.

Оценим значение этого основания. Угол $\frac{\pi}{7}$ находится в первой четверти, так как $0 < \frac{\pi}{7} < \frac{\pi}{2}$.

В первой четверти косинус положителен. Кроме того, функция $y = \cos(t)$ является убывающей на интервале $(0, \frac{\pi}{2})$.

Следовательно, $\cos\frac{\pi}{2} < \cos\frac{\pi}{7} < \cos 0$, что дает нам $0 < \cos\frac{\pi}{7} < 1$.

3. Переход к неравенству для показателей

Так как основание степени $a = \cos\frac{\pi}{7}$ удовлетворяет условию $0 < a < 1$, показательная функция $y = a^t$ является убывающей. Это означает, что при переходе от неравенства для степеней к неравенству для показателей знак неравенства меняется на противоположный:

$$ \frac{x}{x-2} \le \frac{6}{x-1} $$

4. Решение рационального неравенства

Перенесем все члены в левую часть и приведем их к общему знаменателю:

$$ \frac{x}{x-2} - \frac{6}{x-1} \le 0 $$

$$ \frac{x(x-1) - 6(x-2)}{(x-2)(x-1)} \le 0 $$

Раскроем скобки в числителе:

$$ \frac{x^2 - x - 6x + 12}{(x-2)(x-1)} \le 0 $$

$$ \frac{x^2 - 7x + 12}{(x-2)(x-1)} \le 0 $$

Найдем корни числителя, решив квадратное уравнение $x^2 - 7x + 12 = 0$. По теореме Виета, сумма корней равна 7, а произведение равно 12. Корни: $x_1 = 3$ и $x_2 = 4$.

Теперь мы можем разложить числитель на множители:

$$ \frac{(x-3)(x-4)}{(x-1)(x-2)} \le 0 $$

Решим это неравенство методом интервалов. Отметим на числовой оси нули числителя ($x=3, x=4$) и нули знаменателя ($x=1, x=2$). Нули числителя будут входить в решение (закрашенные точки), а нули знаменателя — нет (выколотые точки).

Определим знаки выражения на каждом из полученных интервалов:

  • Интервал $(-\infty, 1)$: $(+)$. Пример $x=0$: $\frac{(-)(-)}{(-)(-)} > 0$.
  • Интервал $(1, 2)$: $(-)$. Пример $x=1.5$: $\frac{(-)(-)}{(-)(+)} < 0$.
  • Интервал $(2, 3]$: $(+)$. Пример $x=2.5$: $\frac{(-)(-)}{(+)(+)} > 0$.
  • Интервал $[3, 4]$: $(-)$. Пример $x=3.5$: $\frac{(+)(-)}{(+)(+)} < 0$.
  • Интервал $[4, +\infty)$: $(+)$. Пример $x=5$: $\frac{(+)(+)}{(+)(+)} > 0$.

Нас интересуют интервалы, где выражение меньше или равно нулю ($\le 0$). Это объединение интервалов $(1, 2)$ и $[3, 4]$.

Решение неравенства: $x \in (1, 2) \cup [3, 4]$.

Это решение полностью удовлетворяет найденной ранее ОДЗ.

5. Поиск наименьшего целого решения

Нам нужно найти наименьшее целое число, которое принадлежит множеству решений $x \in (1, 2) \cup [3, 4]$.

Интервал $(1, 2)$ не содержит целых чисел.

Интервал $[3, 4]$ содержит целые числа 3 и 4.

Наименьшее из этих целых чисел — это 3.

Ответ: 3.

Помогло решение? Оставьте отзыв в комментариях ниже.

Присоединяйтесь к Телеграм-группе @gdz_by_belarus

Присоединиться

Мы подготовили для вас ответ c подробным объяснением домашего задания по алгебре за 11 класс, для упражнения номер 9 расположенного на странице 42 к сборнику задач 2020 года издания для учащихся школ и гимназий.

Теперь на нашем сайте ГДЗ.ТОП вы всегда легко и бесплатно найдёте условие с правильным ответом на вопрос «Как решить ДЗ» и «Как сделать» задание по алгебре к упражнению №9 (с. 42), авторов: Арефьева (Ирина Глебовна), Пирютко (Ольга Николаевна), базовый и повышенный уровень обучения учебного пособия издательства Народная асвета.