Номер 16, страница 43 - гдз по алгебре 11 класс сборник задач Арефьева, Пирютко

Алгебра, 11 класс Сборник задач, авторы: Арефьева Ирина Глебовна, Пирютко Ольга Николаевна, издательство Народная асвета, Минск, 2020, белого цвета

Авторы: Арефьева И. Г., Пирютко О. Н.

Тип: Сборник задач

Издательство: Народная асвета

Год издания: 2020 - 2026

Уровень обучения: базовый и повышенный

Цвет обложки: белый с графиком

Допущено Министерством образования Республики Беларусь

Популярные ГДЗ в 11 классе

Глава 2. Показательная функция. Параграф 6. Показательные неравенства - номер 16, страница 43.

№16 (с. 43)
Условие. №16 (с. 43)
скриншот условия
Алгебра, 11 класс Сборник задач, авторы: Арефьева Ирина Глебовна, Пирютко Ольга Николаевна, издательство Народная асвета, Минск, 2020, белого цвета, страница 43, номер 16, Условие

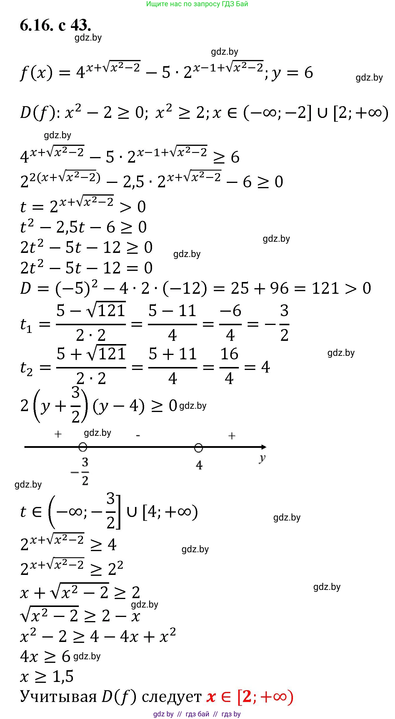
6.16. Найдите все значения аргумента, при которых график функции $f(x) = 4^{x + \sqrt{x^2 - 2}} - 5 \cdot 2^{x - 1 + \sqrt{x^2 - 2}}$ расположен не ниже прямой $y=6$.

Решение. №16 (с. 43)
Алгебра, 11 класс Сборник задач, авторы: Арефьева Ирина Глебовна, Пирютко Ольга Николаевна, издательство Народная асвета, Минск, 2020, белого цвета, страница 43, номер 16, Решение
Решение 2. №16 (с. 43)

Условие "график функции расположен не ниже прямой $y=6$" означает, что значения функции должны быть больше или равны 6. Запишем и решим соответствующее неравенство:

$$4^{x + \sqrt{x^2 - 2}} - 5 \cdot 2^{x - 1 + \sqrt{x^2 - 2}} \ge 6$$

Сначала найдем область определения функции (ОДЗ). Выражение под корнем должно быть неотрицательным:

$$x^2 - 2 \ge 0$$

$$x^2 \ge 2$$

$$|x| \ge \sqrt{2}$$

Таким образом, ОДЗ: $x \in (-\infty, -\sqrt{2}] \cup [\sqrt{2}, +\infty)$.

Теперь преобразуем неравенство. Приведем степени к основанию 2:

$$(2^2)^{x + \sqrt{x^2 - 2}} - 5 \cdot 2^{x + \sqrt{x^2 - 2}} \cdot 2^{-1} - 6 \ge 0$$

$$(2^{x + \sqrt{x^2 - 2}})^2 - \frac{5}{2} \cdot 2^{x + \sqrt{x^2 - 2}} - 6 \ge 0$$

Введем замену переменной. Пусть $t = 2^{x + \sqrt{x^2 - 2}}$. Так как показательная функция всегда положительна, то $t > 0$. Неравенство принимает вид квадратного:

$$t^2 - \frac{5}{2}t - 6 \ge 0$$

Умножим обе части на 2, чтобы избавиться от дроби:

$$2t^2 - 5t - 12 \ge 0$$

Найдем корни соответствующего квадратного уравнения $2t^2 - 5t - 12 = 0$. Дискриминант $D = (-5)^2 - 4 \cdot 2 \cdot (-12) = 25 + 96 = 121 = 11^2$. Корни равны:

$$t_1 = \frac{5 - 11}{4} = -\frac{6}{4} = -\frac{3}{2}$$

$$t_2 = \frac{5 + 11}{4} = \frac{16}{4} = 4$$

Решением неравенства $2t^2 - 5t - 12 \ge 0$ является объединение промежутков $(-\infty, -\frac{3}{2}] \cup [4, +\infty)$. Учитывая ограничение $t > 0$, получаем $t \ge 4$.

Выполним обратную замену:

$$2^{x + \sqrt{x^2 - 2}} \ge 4 \quad \Rightarrow \quad 2^{x + \sqrt{x^2 - 2}} \ge 2^2$$

Поскольку основание степени $2 > 1$, функция является возрастающей, и мы можем перейти к неравенству для показателей:

$$x + \sqrt{x^2 - 2} \ge 2$$

Решим это иррациональное неравенство:

$$\sqrt{x^2 - 2} \ge 2 - x$$

Данное неравенство равносильно совокупности двух систем:

1) Если правая часть отрицательна, неравенство выполняется для всех $x$ из ОДЗ.$$\begin{cases} 2 - x < 0 \\ x^2 - 2 \ge 0 \end{cases} \Rightarrow \begin{cases} x > 2 \\ |x| \ge \sqrt{2} \end{cases}$$Решением этой системы является $x > 2$.

2) Если правая часть неотрицательна, можно возвести обе части в квадрат.$$\begin{cases} 2 - x \ge 0 \\ (\sqrt{x^2 - 2})^2 \ge (2 - x)^2 \end{cases} \Rightarrow \begin{cases} x \le 2 \\ x^2 - 2 \ge 4 - 4x + x^2 \end{cases}$$$$\begin{cases} x \le 2 \\ -2 \ge 4 - 4x \end{cases} \Rightarrow \begin{cases} x \le 2 \\ 4x \ge 6 \end{cases} \Rightarrow \begin{cases} x \le 2 \\ x \ge \frac{3}{2} \end{cases}$$Решением этой системы является $x \in [\frac{3}{2}, 2]$.

Объединяя решения из обоих случаев, получаем $x \in [\frac{3}{2}, 2] \cup (2, +\infty)$, что равносильно $x \ge \frac{3}{2}$.

Наконец, убедимся, что найденное решение входит в ОДЗ $x \in (-\infty, -\sqrt{2}] \cup [\sqrt{2}, +\infty)$. Сравним $\frac{3}{2}$ и $\sqrt{2}$. Так как $(\frac{3}{2})^2 = 2.25$, а $(\sqrt{2})^2 = 2$, то $\frac{3}{2} > \sqrt{2}$. Следовательно, все значения $x \ge \frac{3}{2}$ удовлетворяют условию $x \ge \sqrt{2}$ и входят в ОДЗ.

Ответ: значения аргумента $x$ принадлежат промежутку $[1\frac{1}{2}, +\infty)$.

Помогло решение? Оставьте отзыв в комментариях ниже.

Присоединяйтесь к Телеграм-группе @gdz_by_belarus

Присоединиться

Мы подготовили для вас ответ c подробным объяснением домашего задания по алгебре за 11 класс, для упражнения номер 16 расположенного на странице 43 к сборнику задач 2020 года издания для учащихся школ и гимназий.

Теперь на нашем сайте ГДЗ.ТОП вы всегда легко и бесплатно найдёте условие с правильным ответом на вопрос «Как решить ДЗ» и «Как сделать» задание по алгебре к упражнению №16 (с. 43), авторов: Арефьева (Ирина Глебовна), Пирютко (Ольга Николаевна), базовый и повышенный уровень обучения учебного пособия издательства Народная асвета.