Номер 17, страница 43 - гдз по алгебре 11 класс сборник задач Арефьева, Пирютко

Алгебра, 11 класс Сборник задач, авторы: Арефьева Ирина Глебовна, Пирютко Ольга Николаевна, издательство Народная асвета, Минск, 2020, белого цвета

Авторы: Арефьева И. Г., Пирютко О. Н.

Тип: Сборник задач

Издательство: Народная асвета

Год издания: 2020 - 2026

Уровень обучения: базовый и повышенный

Цвет обложки: белый с графиком

Допущено Министерством образования Республики Беларусь

Популярные ГДЗ в 11 классе

Глава 2. Показательная функция. Параграф 6. Показательные неравенства - номер 17, страница 43.

№17 (с. 43)
Условие. №17 (с. 43)
скриншот условия
Алгебра, 11 класс Сборник задач, авторы: Арефьева Ирина Глебовна, Пирютко Ольга Николаевна, издательство Народная асвета, Минск, 2020, белого цвета, страница 43, номер 17, Условие

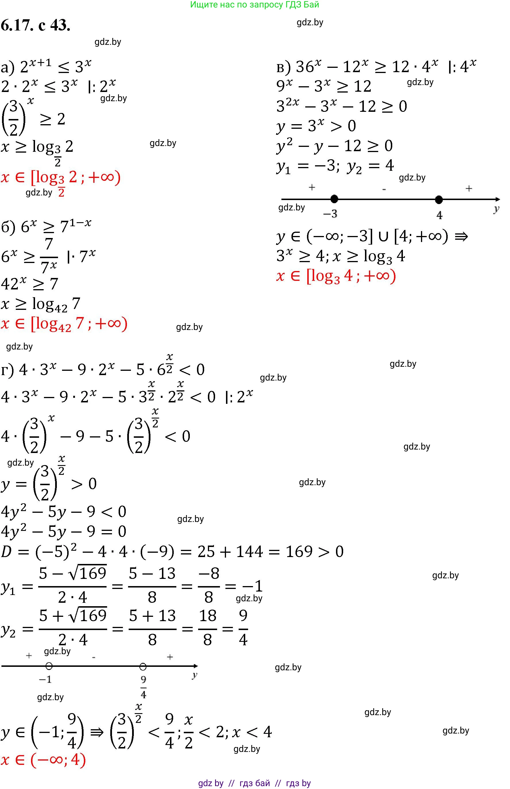
6.17. Решите неравенство:

а) $2^{x+1} \leq 3^x$;

б) $6^x \geq 7^{1-x}$;

в) $36^x - 12^x \geq 12 \cdot 4^x$;

г) $4 \cdot 3^x - 9 \cdot 2^x - 5 \cdot 6^{\frac{x}{2}} < 0$.

Решение. №17 (с. 43)
Алгебра, 11 класс Сборник задач, авторы: Арефьева Ирина Глебовна, Пирютко Ольга Николаевна, издательство Народная асвета, Минск, 2020, белого цвета, страница 43, номер 17, Решение
Решение 2. №17 (с. 43)

а) Исходное неравенство: $2^{x+1} \le 3^x$.

Используя свойство степеней $a^{m+n} = a^m \cdot a^n$, перепишем левую часть:

$2 \cdot 2^x \le 3^x$

Разделим обе части неравенства на $2^x$. Так как $2^x > 0$ для любого действительного $x$, знак неравенства не изменится:

$2 \le \frac{3^x}{2^x}$

$2 \le (\frac{3}{2})^x$

Прологарифмируем обе части неравенства по основанию $\frac{3}{2}$. Так как основание $\frac{3}{2} > 1$, логарифмическая функция с этим основанием является возрастающей, и знак неравенства не меняется:

$\log_{\frac{3}{2}}(2) \le \log_{\frac{3}{2}}((\frac{3}{2})^x)$

$\log_{\frac{3}{2}}(2) \le x$

Таким образом, решение неравенства: $x \ge \log_{\frac{3}{2}}(2)$.

Ответ: $x \in [\log_{\frac{3}{2}}(2); +\infty)$.

б) Исходное неравенство: $6^x \ge 7^{1-x}$.

Используя свойство степеней $a^{m-n} = \frac{a^m}{a^n}$, перепишем правую часть:

$6^x \ge \frac{7}{7^x}$

Умножим обе части неравенства на $7^x$. Так как $7^x > 0$ для любого действительного $x$, знак неравенства не изменится:

$6^x \cdot 7^x \ge 7$

Используя свойство степеней $(a \cdot b)^n = a^n \cdot b^n$, получим:

$(42)^x \ge 7$

Прологарифмируем обе части неравенства по основанию 42. Так как основание $42 > 1$, знак неравенства не меняется:

$\log_{42}(42^x) \ge \log_{42}(7)$

$x \ge \log_{42}(7)$

Ответ: $x \in [\log_{42}(7); +\infty)$.

в) Исходное неравенство: $36^x - 12^x \ge 12 \cdot 4^x$.

Представим основания степеней в виде степеней с меньшими основаниями: $36^x = (6^2)^x = (6^x)^2$, $12^x = (3 \cdot 4)^x = 3^x \cdot 4^x$.

$(6^x)^2 - 3^x \cdot 4^x \ge 12 \cdot 4^x$

Разделим все члены неравенства на $4^x$. Так как $4^x > 0$ для любого $x$, знак неравенства не изменится:

$\frac{(6^x)^2}{4^x} - \frac{3^x \cdot 4^x}{4^x} \ge \frac{12 \cdot 4^x}{4^x}$

$(\frac{6^x}{4^{x/2}})^2$ - неверно. Правильно: $\frac{(6^x)^2}{4^x} = \frac{(6^2)^x}{4^x} = \frac{36^x}{4^x} = (\frac{36}{4})^x = 9^x$. Или: $\frac{(6^x)^2}{4^x} = \frac{(2^x \cdot 3^x)^2}{(2^x)^2} = (3^x)^2$. Второй подход проще.

$((\frac{6}{2})^x)^2 - 3^x - 12 \ge 0$

$(3^x)^2 - 3^x - 12 \ge 0$

Сделаем замену переменной. Пусть $t = 3^x$. Так как показательная функция всегда положительна, $t > 0$.

Получаем квадратное неравенство: $t^2 - t - 12 \ge 0$.

Найдем корни соответствующего уравнения $t^2 - t - 12 = 0$. По теореме Виета (или через дискриминант), корни $t_1 = 4$ и $t_2 = -3$.

Парабола $y = t^2 - t - 12$ имеет ветви вверх, поэтому неравенство $t^2 - t - 12 \ge 0$ выполняется при $t \le -3$ или $t \ge 4$.

Учитывая ограничение $t > 0$, нам подходит только решение $t \ge 4$.

Возвращаемся к исходной переменной: $3^x \ge 4$.

Прологарифмируем обе части по основанию 3. Так как основание $3 > 1$, знак неравенства сохраняется:

$\log_3(3^x) \ge \log_3(4)$

$x \ge \log_3(4)$

Ответ: $x \in [\log_3(4); +\infty)$.

г) Исходное неравенство: $4 \cdot 3^x - 9 \cdot 2^x - 5 \cdot 6^{\frac{x}{2}} < 0$.

Перепишем члены неравенства, используя свойства степеней:

$3^x = (3^{\frac{x}{2}})^2$, $2^x = (2^{\frac{x}{2}})^2$, $6^{\frac{x}{2}} = (2 \cdot 3)^{\frac{x}{2}} = 2^{\frac{x}{2}} \cdot 3^{\frac{x}{2}}$.

Подставим эти выражения в неравенство:

$4 \cdot (3^{\frac{x}{2}})^2 - 9 \cdot (2^{\frac{x}{2}})^2 - 5 \cdot 3^{\frac{x}{2}} \cdot 2^{\frac{x}{2}} < 0$

Это однородное показательное неравенство. Разделим все члены на $(2^{\frac{x}{2}})^2 = 2^x$. Так как $2^x > 0$, знак неравенства не изменится:

$4 \cdot \frac{(3^{\frac{x}{2}})^2}{(2^{\frac{x}{2}})^2} - 9 \frac{(2^{\frac{x}{2}})^2}{(2^{\frac{x}{2}})^2} - 5 \frac{3^{\frac{x}{2}} \cdot 2^{\frac{x}{2}}}{(2^{\frac{x}{2}})^2} < 0$

$4 \cdot ((\frac{3}{2})^{\frac{x}{2}})^2 - 5 \cdot (\frac{3}{2})^{\frac{x}{2}} - 9 < 0$

Сделаем замену переменной. Пусть $t = (\frac{3}{2})^{\frac{x}{2}}$. Так как $t$ является значением показательной функции, $t > 0$.

Получаем квадратное неравенство: $4t^2 - 5t - 9 < 0$.

Найдем корни уравнения $4t^2 - 5t - 9 = 0$. Дискриминант $D = (-5)^2 - 4 \cdot 4 \cdot (-9) = 25 + 144 = 169 = 13^2$.

Корни: $t_1 = \frac{5 - 13}{8} = -1$ и $t_2 = \frac{5 + 13}{8} = \frac{18}{8} = \frac{9}{4}$.

Парабола $y = 4t^2 - 5t - 9$ имеет ветви вверх, поэтому неравенство выполняется между корнями: $-1 < t < \frac{9}{4}$.

Учитывая условие $t > 0$, получаем $0 < t < \frac{9}{4}$.

Возвращаемся к исходной переменной: $0 < (\frac{3}{2})^{\frac{x}{2}} < \frac{9}{4}$.

Левая часть неравенства $0 < (\frac{3}{2})^{\frac{x}{2}}$ верна для любого $x$. Решаем правую часть:

$(\frac{3}{2})^{\frac{x}{2}} < \frac{9}{4}$

Представим правую часть в виде степени с тем же основанием: $\frac{9}{4} = (\frac{3}{2})^2$.

$(\frac{3}{2})^{\frac{x}{2}} < (\frac{3}{2})^2$

Так как основание степени $\frac{3}{2} > 1$, при переходе к сравнению показателей знак неравенства сохраняется:

$\frac{x}{2} < 2$

$x < 4$

Ответ: $x \in (-\infty; 4)$.

Помогло решение? Оставьте отзыв в комментариях ниже.

Присоединяйтесь к Телеграм-группе @gdz_by_belarus

Присоединиться

Мы подготовили для вас ответ c подробным объяснением домашего задания по алгебре за 11 класс, для упражнения номер 17 расположенного на странице 43 к сборнику задач 2020 года издания для учащихся школ и гимназий.

Теперь на нашем сайте ГДЗ.ТОП вы всегда легко и бесплатно найдёте условие с правильным ответом на вопрос «Как решить ДЗ» и «Как сделать» задание по алгебре к упражнению №17 (с. 43), авторов: Арефьева (Ирина Глебовна), Пирютко (Ольга Николаевна), базовый и повышенный уровень обучения учебного пособия издательства Народная асвета.