Номер 19, страница 43 - гдз по алгебре 11 класс сборник задач Арефьева, Пирютко

Алгебра, 11 класс Сборник задач, авторы: Арефьева Ирина Глебовна, Пирютко Ольга Николаевна, издательство Народная асвета, Минск, 2020, белого цвета

Авторы: Арефьева И. Г., Пирютко О. Н.

Тип: Сборник задач

Издательство: Народная асвета

Год издания: 2020 - 2026

Уровень обучения: базовый и повышенный

Цвет обложки: белый с графиком

Допущено Министерством образования Республики Беларусь

Популярные ГДЗ в 11 классе

Глава 2. Показательная функция. Параграф 6. Показательные неравенства - номер 19, страница 43.

№19 (с. 43)
Условие. №19 (с. 43)
скриншот условия
Алгебра, 11 класс Сборник задач, авторы: Арефьева Ирина Глебовна, Пирютко Ольга Николаевна, издательство Народная асвета, Минск, 2020, белого цвета, страница 43, номер 19, Условие

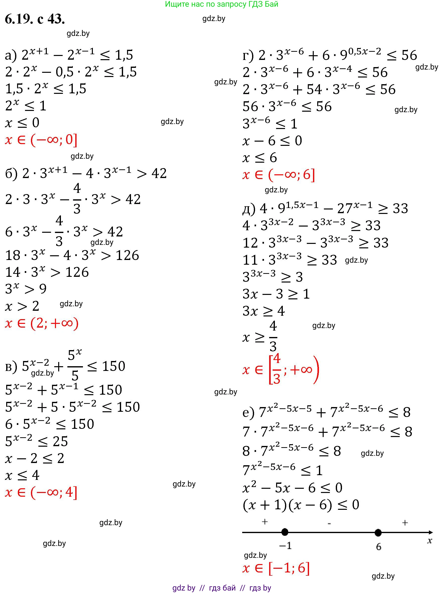
6.19. Найдите все решения неравенства:

а) $2^{x+1} - 2^{x-1} \le 1,5;$

б) $2 \cdot 3^{x+1} - 4 \cdot 3^{x-1} > 42;$

в) $5^{x-2} + \frac{5^x}{5} \le 150;$

г) $2 \cdot 3^{x-6} + 6 \cdot 9^{0,5x-2} \le 56;$

д) $4 \cdot 9^{1,5x-1} - 27^{x-1} \ge 33;$

е) $7^{x^2-5x-5} + 7^{x^2-5x-6} \le 8.$

Решение. №19 (с. 43)
Алгебра, 11 класс Сборник задач, авторы: Арефьева Ирина Глебовна, Пирютко Ольга Николаевна, издательство Народная асвета, Минск, 2020, белого цвета, страница 43, номер 19, Решение
Решение 2. №19 (с. 43)

а) $2^{x+1} - 2^{x-1} \le 1,5$

Преобразуем неравенство, используя свойства степеней $a^{m+n} = a^m \cdot a^n$ и $a^{m-n} = \frac{a^m}{a^n}$.

$2^x \cdot 2^1 - 2^x \cdot 2^{-1} \le 1,5$

$2 \cdot 2^x - \frac{1}{2} \cdot 2^x \le 1,5$

Вынесем общий множитель $2^x$ за скобки:

$2^x \left(2 - \frac{1}{2}\right) \le 1,5$

$2^x \cdot \frac{3}{2} \le 1,5$

Так как $\frac{3}{2} = 1,5$, получаем:

$2^x \cdot 1,5 \le 1,5$

Разделим обе части на 1,5 (так как $1,5 > 0$, знак неравенства не меняется):

$2^x \le 1$

Представим 1 как степень с основанием 2: $1 = 2^0$.

$2^x \le 2^0$

Так как основание степени $2 > 1$, показательная функция является возрастающей. Следовательно, можем перейти к неравенству для показателей:

$x \le 0$

Ответ: $x \in (-\infty, 0]$.


б) $2 \cdot 3^{x+1} - 4 \cdot 3^{x-1} > 42$

Преобразуем члены неравенства, используя свойства степеней:

$2 \cdot (3^x \cdot 3^1) - 4 \cdot (3^x \cdot 3^{-1}) > 42$

$6 \cdot 3^x - \frac{4}{3} \cdot 3^x > 42$

Вынесем общий множитель $3^x$ за скобки:

$3^x \left(6 - \frac{4}{3}\right) > 42$

$3^x \left(\frac{18}{3} - \frac{4}{3}\right) > 42$

$3^x \cdot \frac{14}{3} > 42$

Умножим обе части на $\frac{3}{14}$ (знак неравенства не меняется):

$3^x > 42 \cdot \frac{3}{14}$

$3^x > 3 \cdot 3$

$3^x > 9$

Представим 9 как степень с основанием 3: $9 = 3^2$.

$3^x > 3^2$

Так как основание $3 > 1$, переходим к неравенству для показателей:

$x > 2$

Ответ: $x \in (2, +\infty)$.


в) $5^{x-2} + \frac{5^x}{5} \le 150$

Преобразуем члены неравенства:

$5^x \cdot 5^{-2} + 5^x \cdot 5^{-1} \le 150$

$\frac{5^x}{25} + \frac{5^x}{5} \le 150$

Вынесем $5^x$ за скобки:

$5^x \left(\frac{1}{25} + \frac{1}{5}\right) \le 150$

$5^x \left(\frac{1}{25} + \frac{5}{25}\right) \le 150$

$5^x \cdot \frac{6}{25} \le 150$

Умножим обе части на $\frac{25}{6}$:

$5^x \le 150 \cdot \frac{25}{6}$

$5^x \le 25 \cdot 25$

$5^x \le 625$

Представим 625 как степень с основанием 5: $625 = 5^4$.

$5^x \le 5^4$

Так как основание $5 > 1$, переходим к неравенству для показателей:

$x \le 4$

Ответ: $x \in (-\infty, 4]$.


г) $2 \cdot 3^{x-6} + 6 \cdot 9^{0,5x-2} \le 56$

Приведем степени к одному основанию 3, зная, что $9=3^2$:

$9^{0,5x-2} = (3^2)^{0,5x-2} = 3^{2(0,5x-2)} = 3^{x-4}$

Подставим в неравенство:

$2 \cdot 3^{x-6} + 6 \cdot 3^{x-4} \le 56$

Вынесем за скобки множитель с наименьшим показателем, то есть $3^{x-6}$:

$3^{x-4} = 3^{(x-6)+2} = 3^{x-6} \cdot 3^2 = 9 \cdot 3^{x-6}$

$2 \cdot 3^{x-6} + 6 \cdot (9 \cdot 3^{x-6}) \le 56$

$2 \cdot 3^{x-6} + 54 \cdot 3^{x-6} \le 56$

$3^{x-6} (2+54) \le 56$

$56 \cdot 3^{x-6} \le 56$

Разделим обе части на 56:

$3^{x-6} \le 1$

Представим 1 как $3^0$:

$3^{x-6} \le 3^0$

Так как основание $3 > 1$, переходим к неравенству для показателей:

$x-6 \le 0$

$x \le 6$

Ответ: $x \in (-\infty, 6]$.


д) $4 \cdot 9^{1,5x-1} - 27^{x-1} \ge 33$

Приведем степени к основанию 3, зная, что $9=3^2$ и $27=3^3$:

$4 \cdot (3^2)^{1,5x-1} - (3^3)^{x-1} \ge 33$

$4 \cdot 3^{2(1,5x-1)} - 3^{3(x-1)} \ge 33$

$4 \cdot 3^{3x-2} - 3^{3x-3} \ge 33$

Вынесем за скобки множитель с наименьшим показателем, $3^{3x-3}$:

$3^{3x-2} = 3^{(3x-3)+1} = 3^{3x-3} \cdot 3^1 = 3 \cdot 3^{3x-3}$

$4 \cdot (3 \cdot 3^{3x-3}) - 3^{3x-3} \ge 33$

$12 \cdot 3^{3x-3} - 3^{3x-3} \ge 33$

$3^{3x-3} (12-1) \ge 33$

$11 \cdot 3^{3x-3} \ge 33$

Разделим обе части на 11:

$3^{3x-3} \ge 3$

Представим 3 как $3^1$:

$3^{3x-3} \ge 3^1$

Так как основание $3 > 1$, переходим к неравенству для показателей:

$3x-3 \ge 1$

$3x \ge 4$

$x \ge \frac{4}{3}$

Выделим целую часть из неправильной дроби: $\frac{4}{3} = 1\frac{1}{3}$.

Ответ: $x \in [1\frac{1}{3}, +\infty)$.


е) $7^{x^2-5x-5} + 7^{x^2-5x-6} \le 8$

Вынесем за скобки степень с меньшим показателем, $7^{x^2-5x-6}$:

$7^{x^2-5x-5} = 7^{(x^2-5x-6)+1} = 7^{x^2-5x-6} \cdot 7^1 = 7 \cdot 7^{x^2-5x-6}$

$7 \cdot 7^{x^2-5x-6} + 7^{x^2-5x-6} \le 8$

$7^{x^2-5x-6} (7+1) \le 8$

$8 \cdot 7^{x^2-5x-6} \le 8$

Разделим обе части на 8:

$7^{x^2-5x-6} \le 1$

Представим 1 как $7^0$:

$7^{x^2-5x-6} \le 7^0$

Так как основание $7 > 1$, переходим к неравенству для показателей:

$x^2-5x-6 \le 0$

Решим это квадратное неравенство. Сначала найдем корни уравнения $x^2-5x-6 = 0$.

По теореме Виета, сумма корней равна 5, а произведение -6. Корни: $x_1=6$ и $x_2=-1$.

Парабола $y = x^2-5x-6$ ветвями вверх, значит, она принимает неположительные значения между корнями (включая сами корни).

$-1 \le x \le 6$

Ответ: $x \in [-1, 6]$.

Помогло решение? Оставьте отзыв в комментариях ниже.

Присоединяйтесь к Телеграм-группе @gdz_by_belarus

Присоединиться

Мы подготовили для вас ответ c подробным объяснением домашего задания по алгебре за 11 класс, для упражнения номер 19 расположенного на странице 43 к сборнику задач 2020 года издания для учащихся школ и гимназий.

Теперь на нашем сайте ГДЗ.ТОП вы всегда легко и бесплатно найдёте условие с правильным ответом на вопрос «Как решить ДЗ» и «Как сделать» задание по алгебре к упражнению №19 (с. 43), авторов: Арефьева (Ирина Глебовна), Пирютко (Ольга Николаевна), базовый и повышенный уровень обучения учебного пособия издательства Народная асвета.