Номер 26, страница 44 - гдз по алгебре 11 класс сборник задач Арефьева, Пирютко

Алгебра, 11 класс Сборник задач, авторы: Арефьева Ирина Глебовна, Пирютко Ольга Николаевна, издательство Народная асвета, Минск, 2020, белого цвета

Авторы: Арефьева И. Г., Пирютко О. Н.

Тип: Сборник задач

Издательство: Народная асвета

Год издания: 2020 - 2026

Уровень обучения: базовый и повышенный

Цвет обложки: белый с графиком

Допущено Министерством образования Республики Беларусь

Популярные ГДЗ в 11 классе

Глава 2. Показательная функция. Параграф 6. Показательные неравенства - номер 26, страница 44.

№26 (с. 44)
Условие. №26 (с. 44)
скриншот условия
Алгебра, 11 класс Сборник задач, авторы: Арефьева Ирина Глебовна, Пирютко Ольга Николаевна, издательство Народная асвета, Минск, 2020, белого цвета, страница 44, номер 26, Условие

6.26. Выполните замену переменной и решите неравенство:

a) $\frac{5^x + 1}{0,3 - 5^x} \geq 1$;

б) $\frac{1}{2^x - 1} > \frac{1}{1 - 2^x}$;

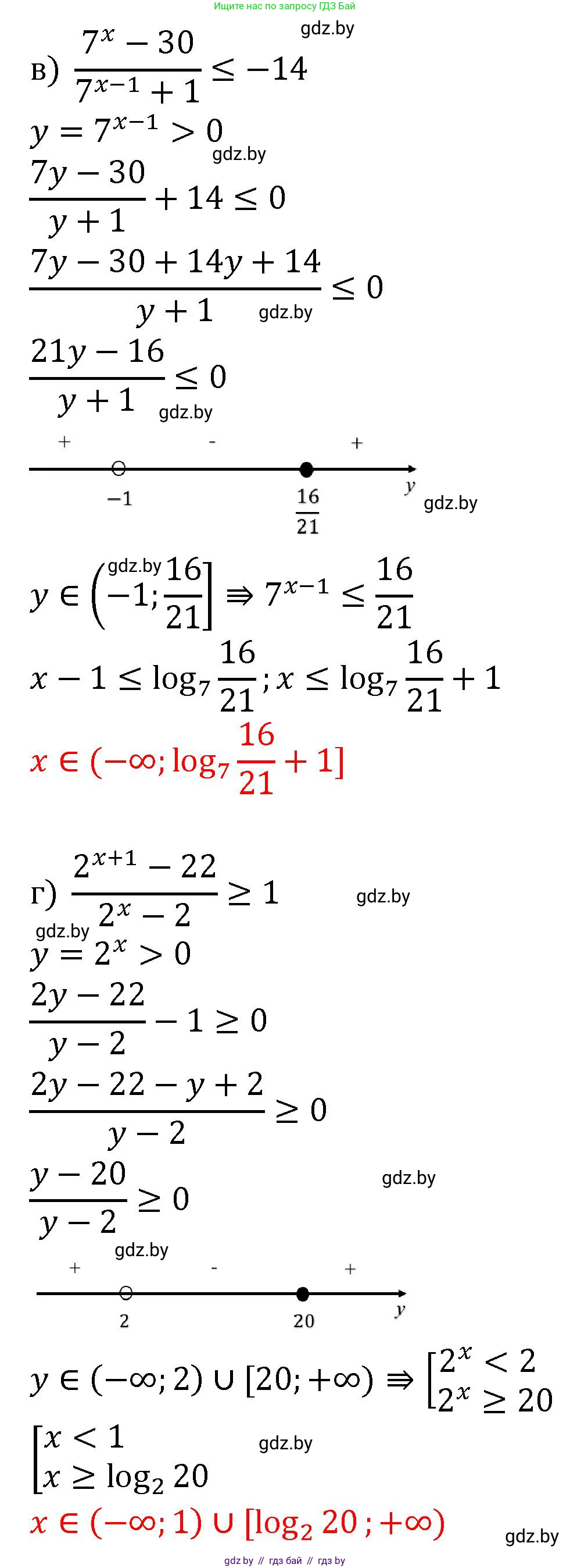
в) $\frac{7^x - 30}{7^{x - 1} + 1} \leq -14$;

г) $\frac{2^{x + 1} - 22}{2^x - 2} \geq 1$.

Решение. №26 (с. 44)
Алгебра, 11 класс Сборник задач, авторы: Арефьева Ирина Глебовна, Пирютко Ольга Николаевна, издательство Народная асвета, Минск, 2020, белого цвета, страница 44, номер 26, Решение Алгебра, 11 класс Сборник задач, авторы: Арефьева Ирина Глебовна, Пирютко Ольга Николаевна, издательство Народная асвета, Минск, 2020, белого цвета, страница 44, номер 26, Решение (продолжение 2)
Решение 2. №26 (с. 44)

а) Исходное неравенство: $\frac{5^x + 1}{0.3 - 5^x} \ge 1$.
Произведем замену переменной. Пусть $t = 5^x$. Так как показательная функция всегда положительна, то $t > 0$.
Неравенство принимает вид: $$ \frac{t + 1}{0.3 - t} \ge 1 $$ Перенесем 1 в левую часть и приведем к общему знаменателю: $$ \frac{t + 1}{0.3 - t} - 1 \ge 0 $$ $$ \frac{t + 1 - (0.3 - t)}{0.3 - t} \ge 0 $$ $$ \frac{2t - 0.2}{0.3 - t} \ge 0 $$ Решим полученное рациональное неравенство методом интервалов.
Нули числителя: $2t - 0.2 = 0 \implies t = 0.1$.
Нули знаменателя: $0.3 - t = 0 \implies t = 0.3$.
Определим знаки выражения на интервалах, учитывая, что $t=0.1$ является решением, а $t=0.3$ — нет.
Интервалы и знаки выражения $\frac{2t - 0.2}{0.3 - t}$:

  • При $t < 0.1$, знак '−'.
  • При $0.1 < t < 0.3$, знак '+'.
  • При $t > 0.3$, знак '−'.

Неравенство выполняется при $0.1 \le t < 0.3$. Это решение удовлетворяет условию $t > 0$.
Выполним обратную замену: $$ 0.1 \le 5^x < 0.3 $$ Прологарифмируем неравенство по основанию 5. Так как основание $5 > 1$, знаки неравенства сохраняются: $$ \log_5(0.1) \le \log_5(5^x) < \log_5(0.3) $$ $$ \log_5(0.1) \le x < \log_5(0.3) $$ Ответ: $x \in [\log_5(0.1), \log_5(0.3))$.

б) Исходное неравенство: $\frac{1}{2^x - 1} > \frac{1}{1 - 2^x}$.
Произведем замену переменной. Пусть $t = 2^x$, при этом $t > 0$.
Неравенство принимает вид: $$ \frac{1}{t - 1} > \frac{1}{1 - t} $$ Область допустимых значений: $t-1 \ne 0 \implies t \ne 1$.
Перенесем все слагаемые в левую часть: $$ \frac{1}{t - 1} - \frac{1}{1 - t} > 0 $$ Так как $1-t = -(t-1)$, получаем: $$ \frac{1}{t - 1} - \frac{1}{-(t-1)} > 0 $$ $$ \frac{1}{t - 1} + \frac{1}{t - 1} > 0 $$ $$ \frac{2}{t - 1} > 0 $$ Числитель дроби положителен, значит, для выполнения неравенства знаменатель также должен быть положителен: $$ t - 1 > 0 \implies t > 1 $$ Выполним обратную замену: $$ 2^x > 1 $$ $$ 2^x > 2^0 $$ Так как основание степени $2 > 1$, то $x > 0$.
Ответ: $x \in (0, +\infty)$.

в) Исходное неравенство: $\frac{7^x - 30}{7^{x-1} + 1} \le -14$.
Произведем замену переменной. Пусть $t = 7^x$, где $t > 0$. Учтем, что $7^{x-1} = \frac{7^x}{7} = \frac{t}{7}$.
Неравенство принимает вид: $$ \frac{t - 30}{\frac{t}{7} + 1} \le -14 $$ $$ \frac{t - 30}{\frac{t+7}{7}} \le -14 $$ $$ \frac{7(t - 30)}{t + 7} \le -14 $$ Поскольку $t = 7^x > 0$, знаменатель $t+7$ всегда положителен. Умножим обе части на $t+7$ и разделим на 7: $$ t - 30 \le -2(t + 7) $$ $$ t - 30 \le -2t - 14 $$ $$ 3t \le 16 $$ $$ t \le \frac{16}{3} $$ С учетом условия $t > 0$, получаем $0 < t \le \frac{16}{3}$.
Выполним обратную замену: $$ 7^x \le \frac{16}{3} $$ Прологарифмируем обе части по основанию 7. Так как $7 > 1$, знак неравенства сохраняется: $$ x \le \log_7\left(\frac{16}{3}\right) $$ Выделим целую часть из неправильной дроби: $\frac{16}{3} = 5\frac{1}{3}$.
Ответ: $x \in \left(-\infty, \log_7\left(5\frac{1}{3}\right)\right]$.

г) Исходное неравенство: $\frac{2^{x+1} - 22}{2^x - 2} \ge 1$.
Произведем замену переменной. Пусть $t = 2^x$, где $t > 0$. Учтем, что $2^{x+1} = 2 \cdot 2^x = 2t$.
Неравенство принимает вид: $$ \frac{2t - 22}{t - 2} \ge 1 $$ Перенесем 1 в левую часть и приведем к общему знаменателю: $$ \frac{2t - 22}{t - 2} - 1 \ge 0 $$ $$ \frac{2t - 22 - (t - 2)}{t - 2} \ge 0 $$ $$ \frac{t - 20}{t - 2} \ge 0 $$ Решим неравенство методом интервалов.
Нули числителя: $t - 20 = 0 \implies t = 20$.
Нули знаменателя: $t - 2 = 0 \implies t = 2$.
Определим знаки выражения на интервалах. Точка $t=20$ включается, точка $t=2$ исключается.

  • При $t < 2$, знак '+'.
  • При $2 < t < 20$, знак '−'.
  • При $t > 20$, знак '+'.

Неравенство выполняется при $t < 2$ или $t \ge 20$.
С учетом условия $t > 0$, получаем: $0 < t < 2$ или $t \ge 20$.
Выполним обратную замену, рассмотрев два случая:
1) $0 < 2^x < 2$. Решая $2^x < 2^1$, получаем $x < 1$.
2) $2^x \ge 20$. Логарифмируя по основанию 2, получаем $x \ge \log_2(20)$.
Объединяя решения, получаем итоговый ответ.
Ответ: $x \in (-\infty, 1) \cup [\log_2(20), +\infty)$.

Помогло решение? Оставьте отзыв в комментариях ниже.

Присоединяйтесь к Телеграм-группе @gdz_by_belarus

Присоединиться

Мы подготовили для вас ответ c подробным объяснением домашего задания по алгебре за 11 класс, для упражнения номер 26 расположенного на странице 44 к сборнику задач 2020 года издания для учащихся школ и гимназий.

Теперь на нашем сайте ГДЗ.ТОП вы всегда легко и бесплатно найдёте условие с правильным ответом на вопрос «Как решить ДЗ» и «Как сделать» задание по алгебре к упражнению №26 (с. 44), авторов: Арефьева (Ирина Глебовна), Пирютко (Ольга Николаевна), базовый и повышенный уровень обучения учебного пособия издательства Народная асвета.