Номер 28, страница 44 - гдз по алгебре 11 класс сборник задач Арефьева, Пирютко

Алгебра, 11 класс Сборник задач, авторы: Арефьева Ирина Глебовна, Пирютко Ольга Николаевна, издательство Народная асвета, Минск, 2020, белого цвета

Авторы: Арефьева И. Г., Пирютко О. Н.

Тип: Сборник задач

Издательство: Народная асвета

Год издания: 2020 - 2026

Уровень обучения: базовый и повышенный

Цвет обложки: белый с графиком

Допущено Министерством образования Республики Беларусь

Популярные ГДЗ в 11 классе

Глава 2. Показательная функция. Параграф 6. Показательные неравенства - номер 28, страница 44.

№28 (с. 44)
Условие. №28 (с. 44)
скриншот условия
Алгебра, 11 класс Сборник задач, авторы: Арефьева Ирина Глебовна, Пирютко Ольга Николаевна, издательство Народная асвета, Минск, 2020, белого цвета, страница 44, номер 28, Условие

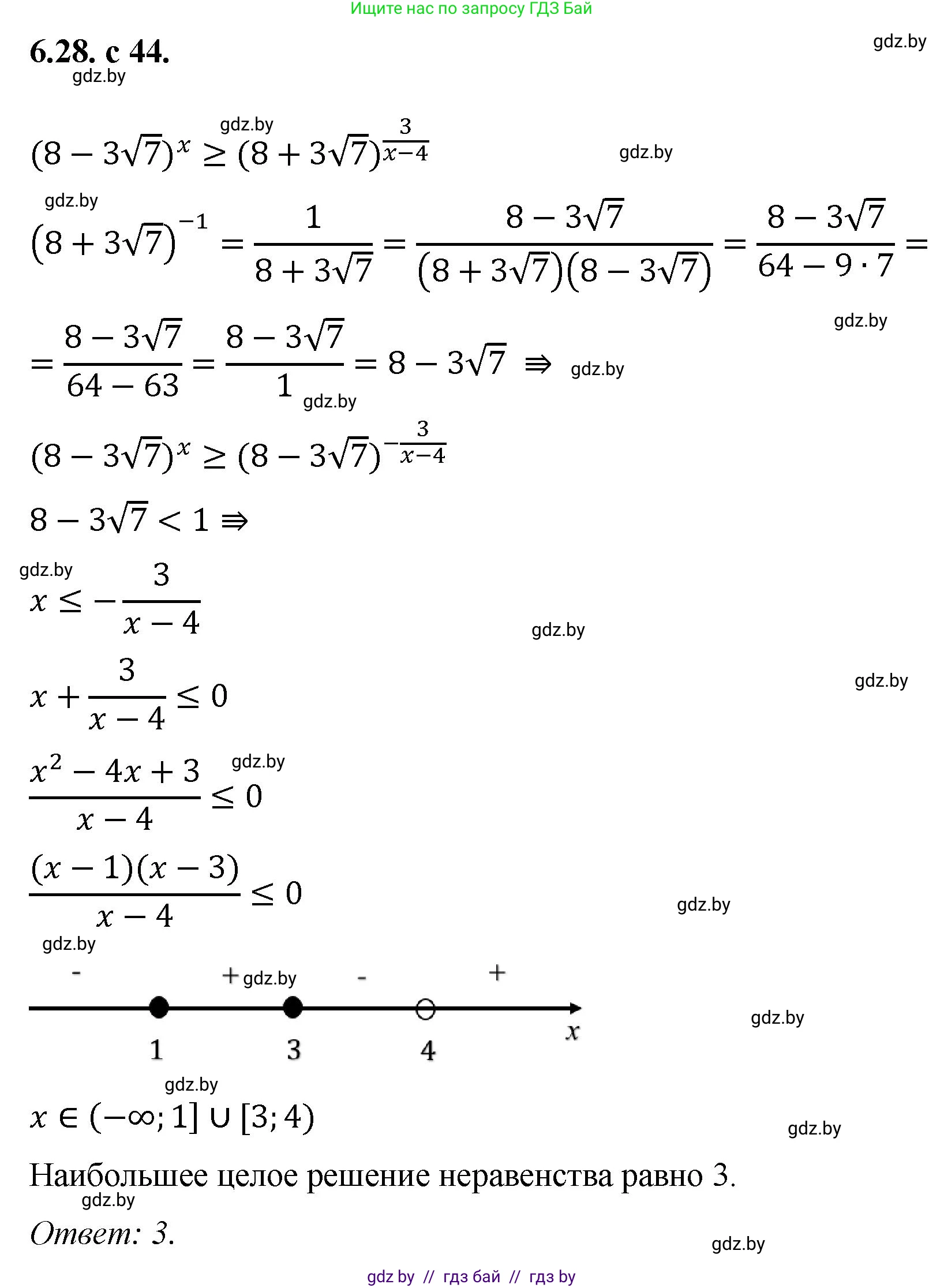
6.28. Найдите наибольшее целое решение неравенства

$(8 - 3\sqrt{7})^x \geq (8 + 3\sqrt{7})^{\frac{3}{x-4}}$

Решение. №28 (с. 44)
Алгебра, 11 класс Сборник задач, авторы: Арефьева Ирина Глебовна, Пирютко Ольга Николаевна, издательство Народная асвета, Минск, 2020, белого цвета, страница 44, номер 28, Решение
Решение 2. №28 (с. 44)

Дано показательное неравенство:

$$ (8 - 3\sqrt{7})^x \ge (8 + 3\sqrt{7})^{\frac{3}{x-4}} $$

1. Преобразование оснований.

Основания степеней $(8 - 3\sqrt{7})$ и $(8 + 3\sqrt{7})$ являются сопряженными. Найдем их произведение, чтобы установить связь между ними:

$$ (8 - 3\sqrt{7})(8 + 3\sqrt{7}) = 8^2 - (3\sqrt{7})^2 = 64 - 9 \cdot 7 = 64 - 63 = 1 $$

Поскольку произведение равно 1, основания являются взаимно обратными числами:

$$ 8 - 3\sqrt{7} = \frac{1}{8 + 3\sqrt{7}} = (8 + 3\sqrt{7})^{-1} $$

2. Приведение неравенства к одному основанию.

Заменим в левой части неравенства основание $(8 - 3\sqrt{7})$ на $(8 + 3\sqrt{7})^{-1}$:

$$ ((8 + 3\sqrt{7})^{-1})^x \ge (8 + 3\sqrt{7})^{\frac{3}{x-4}} $$

Используя свойство степени $(a^m)^n = a^{mn}$, получаем:

$$ (8 + 3\sqrt{7})^{-x} \ge (8 + 3\sqrt{7})^{\frac{3}{x-4}} $$

3. Решение неравенства для показателей.

Оценим основание $b = 8 + 3\sqrt{7}$. Так как $3\sqrt{7} = \sqrt{9 \cdot 7} = \sqrt{63}$, а $8 = \sqrt{64}$, то $8 + 3\sqrt{7}$ — положительное число, значительно большее 1.

Поскольку основание степени $b > 1$, показательная функция $y=b^t$ является возрастающей. Это означает, что большему значению функции соответствует большее значение аргумента, поэтому при переходе к неравенству для показателей знак неравенства сохраняется:

$$ -x \ge \frac{3}{x-4} $$

При этом необходимо учесть область допустимых значений исходного выражения: знаменатель дроби в показателе не может быть равен нулю, то есть $x \neq 4$.

4. Решение рационального неравенства.

Перенесем все члены в левую часть:

$$ -x - \frac{3}{x-4} \ge 0 $$

Умножим обе части на -1, изменив знак неравенства на противоположный:

$$ x + \frac{3}{x-4} \le 0 $$

Приведем левую часть к общему знаменателю:

$$ \frac{x(x-4) + 3}{x-4} \le 0 $$

$$ \frac{x^2 - 4x + 3}{x-4} \le 0 $$

Разложим числитель на множители. Корни уравнения $x^2 - 4x + 3 = 0$ по теореме Виета (или через дискриминант) равны $x_1 = 1$ и $x_2 = 3$.

$$ \frac{(x-1)(x-3)}{x-4} \le 0 $$

Решим полученное неравенство методом интервалов. На числовой оси отметим точки $x=1, x=3$ (включительно, так как неравенство нестрогое) и $x=4$ (исключительно, так как это корень знаменателя).

Определим знаки выражения на интервалах:

  • При $x \in (4, +\infty)$: $\frac{(+)(+)}{(+)} > 0$
  • При $x \in (3, 4)$: $\frac{(+)(+)}{(-)} < 0$
  • При $x \in (1, 3)$: $\frac{(+)(-)}{(-)} > 0$
  • При $x \in (-\infty, 1)$: $\frac{(-)(-)}{(-)} < 0$

Учитывая знак $\le$, решением неравенства является объединение промежутков, где выражение отрицательно или равно нулю:

$$ x \in (-\infty, 1] \cup [3, 4) $$

5. Нахождение наибольшего целого решения.

Из полученного множества решений нужно выбрать наибольшее целое число. Целые числа, входящие в промежуток $(-\infty, 1]$, это ..., -1, 0, 1. Целые числа, входящие в промежуток $[3, 4)$, это только число 3. Наибольшим из всех этих целых чисел является 3.

Ответ: 3

Помогло решение? Оставьте отзыв в комментариях ниже.

Присоединяйтесь к Телеграм-группе @gdz_by_belarus

Присоединиться

Мы подготовили для вас ответ c подробным объяснением домашего задания по алгебре за 11 класс, для упражнения номер 28 расположенного на странице 44 к сборнику задач 2020 года издания для учащихся школ и гимназий.

Теперь на нашем сайте ГДЗ.ТОП вы всегда легко и бесплатно найдёте условие с правильным ответом на вопрос «Как решить ДЗ» и «Как сделать» задание по алгебре к упражнению №28 (с. 44), авторов: Арефьева (Ирина Глебовна), Пирютко (Ольга Николаевна), базовый и повышенный уровень обучения учебного пособия издательства Народная асвета.