Номер 4, страница 42 - гдз по алгебре 11 класс сборник задач Арефьева, Пирютко

Алгебра, 11 класс Сборник задач, авторы: Арефьева Ирина Глебовна, Пирютко Ольга Николаевна, издательство Народная асвета, Минск, 2020, белого цвета

Авторы: Арефьева И. Г., Пирютко О. Н.

Тип: Сборник задач

Издательство: Народная асвета

Год издания: 2020 - 2026

Уровень обучения: базовый и повышенный

Цвет обложки: белый с графиком

Допущено Министерством образования Республики Беларусь

Популярные ГДЗ в 11 классе

Глава 2. Показательная функция. Параграф 6. Показательные неравенства - номер 4, страница 42.

№4 (с. 42)
Условие. №4 (с. 42)
скриншот условия
Алгебра, 11 класс Сборник задач, авторы: Арефьева Ирина Глебовна, Пирютко Ольга Николаевна, издательство Народная асвета, Минск, 2020, белого цвета, страница 42, номер 4, Условие

6.4. Используйте свойства степени и решите неравенство:

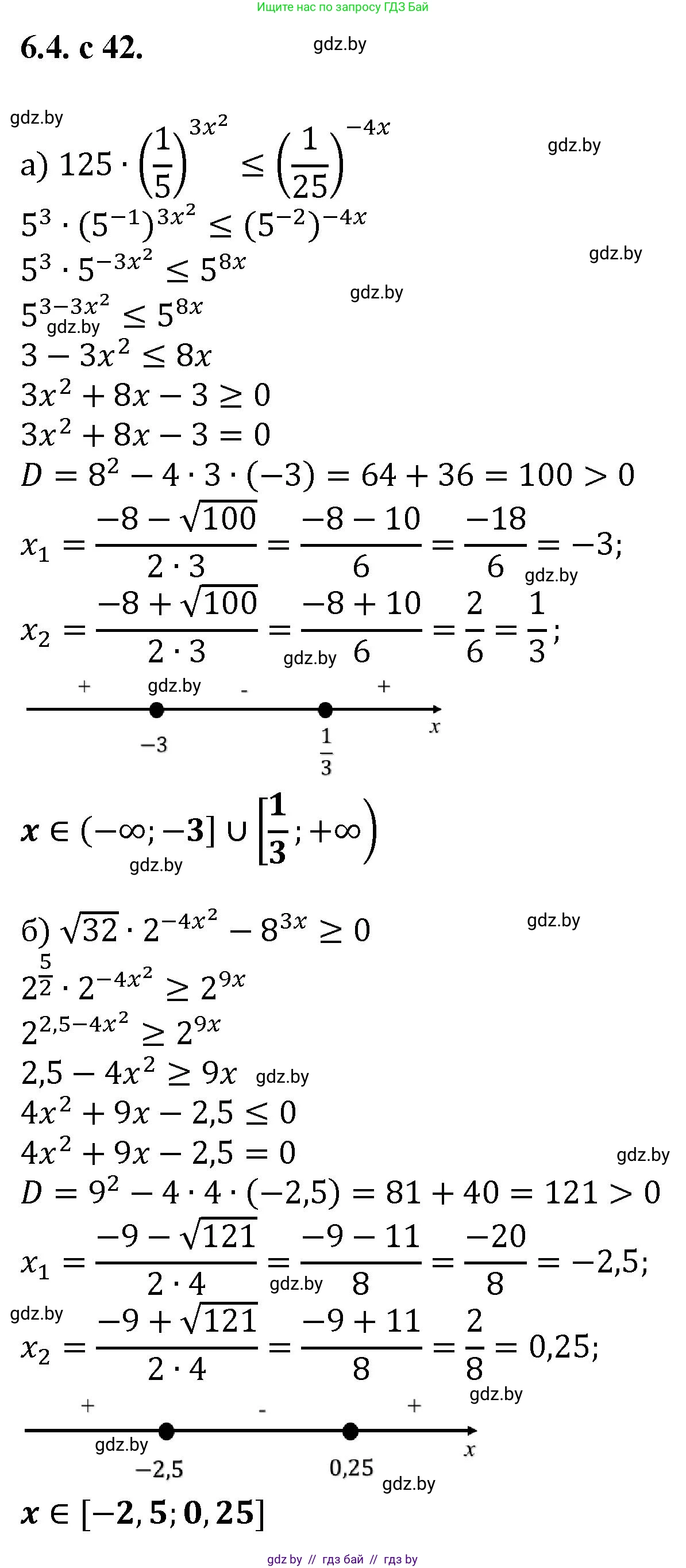
а) $125 \cdot \left(\frac{1}{5}\right)^{3x^2} \le \left(\frac{1}{25}\right)^{-4x}$;

б) $\sqrt{32} \cdot 2^{-4x^2} - 8^{3x} \ge 0$;

в) $\sqrt[5]{27} : 3^{8x-1} \ge 9^{5x}$;

г) $0,5\sqrt{32^{-x}} > \frac{2}{4^x}$;

д) $12^{x-2} \le 3^{3x} \cdot 2^{6x}$;

е) $100 : 2^{3-x^2} \ge 5^{3-x^2} \cdot (10^{x-1})^3$.

Решение. №4 (с. 42)
Алгебра, 11 класс Сборник задач, авторы: Арефьева Ирина Глебовна, Пирютко Ольга Николаевна, издательство Народная асвета, Минск, 2020, белого цвета, страница 42, номер 4, Решение Алгебра, 11 класс Сборник задач, авторы: Арефьева Ирина Глебовна, Пирютко Ольга Николаевна, издательство Народная асвета, Минск, 2020, белого цвета, страница 42, номер 4, Решение (продолжение 2)
Решение 2. №4 (с. 42)

а) $125 \cdot (\frac{1}{5})^{3x^2} \le (\frac{1}{25})^{-4x}$

Приведем все части неравенства к основанию 5:

$125 = 5^3$

$(\frac{1}{5}) = 5^{-1}$

$(\frac{1}{25}) = 5^{-2}$

Подставим эти значения в исходное неравенство:

$5^3 \cdot (5^{-1})^{3x^2} \le (5^{-2})^{-4x}$

Используем свойства степеней $(a^m)^n = a^{mn}$ и $a^m \cdot a^n = a^{m+n}$:

$5^3 \cdot 5^{-3x^2} \le 5^{8x}$

$5^{3-3x^2} \le 5^{8x}$

Так как основание степени $5 > 1$, то при переходе к неравенству для показателей знак неравенства сохраняется:

$3 - 3x^2 \le 8x$

$0 \le 3x^2 + 8x - 3$

$3x^2 + 8x - 3 \ge 0$

Найдем корни квадратного уравнения $3x^2 + 8x - 3 = 0$ через дискриминант:

$D = b^2 - 4ac = 8^2 - 4 \cdot 3 \cdot (-3) = 64 + 36 = 100 = 10^2$

$x_1 = \frac{-b - \sqrt{D}}{2a} = \frac{-8 - 10}{2 \cdot 3} = \frac{-18}{6} = -3$

$x_2 = \frac{-b + \sqrt{D}}{2a} = \frac{-8 + 10}{2 \cdot 3} = \frac{2}{6} = \frac{1}{3}$

Графиком функции $y = 3x^2 + 8x - 3$ является парабола, ветви которой направлены вверх. Неравенство $3x^2 + 8x - 3 \ge 0$ выполняется на промежутках, где парабола находится выше или на оси абсцисс, то есть вне интервала между корнями.

Ответ: $x \in (-\infty, -3] \cup [\frac{1}{3}, +\infty)$.

б) $\sqrt{32} \cdot 2^{-4x^2} - 8^{3x} \ge 0$

Перенесем слагаемое в правую часть и приведем все к основанию 2:

$\sqrt{32} = \sqrt{2^5} = 2^{\frac{5}{2}}$

$8 = 2^3$

Неравенство принимает вид:

$2^{\frac{5}{2}} \cdot 2^{-4x^2} \ge (2^3)^{3x}$

$2^{\frac{5}{2} - 4x^2} \ge 2^{9x}$

Так как основание $2 > 1$, знак неравенства сохраняется:

$\frac{5}{2} - 4x^2 \ge 9x$

Умножим обе части на 2, чтобы избавиться от дроби:

$5 - 8x^2 \ge 18x$

$0 \ge 8x^2 + 18x - 5$

$8x^2 + 18x - 5 \le 0$

Найдем корни уравнения $8x^2 + 18x - 5 = 0$:

$D = 18^2 - 4 \cdot 8 \cdot (-5) = 324 + 160 = 484 = 22^2$

$x_1 = \frac{-18 - 22}{2 \cdot 8} = \frac{-40}{16} = -\frac{5}{2}$

$x_2 = \frac{-18 + 22}{2 \cdot 8} = \frac{4}{16} = \frac{1}{4}$

Ветви параболы $y = 8x^2 + 18x - 5$ направлены вверх. Неравенство $\le 0$ выполняется между корнями.

Ответ: $x \in [-2\frac{1}{2}, \frac{1}{4}]$.

в) $\sqrt[5]{27} : 3^{8x-1} \ge 9^{5x}$

Приведем все к основанию 3:

$\sqrt[5]{27} = \sqrt[5]{3^3} = 3^{\frac{3}{5}}$

$9 = 3^2$

Неравенство принимает вид:

$3^{\frac{3}{5}} : 3^{8x-1} \ge (3^2)^{5x}$

Используем свойства степеней $a^m : a^n = a^{m-n}$ и $(a^m)^n = a^{mn}$:

$3^{\frac{3}{5} - (8x-1)} \ge 3^{10x}$

$3^{\frac{3}{5} - 8x + 1} \ge 3^{10x}$

$3^{\frac{8}{5} - 8x} \ge 3^{10x}$

Так как основание $3 > 1$, знак неравенства сохраняется:

$\frac{8}{5} - 8x \ge 10x$

$\frac{8}{5} \ge 18x$

$x \le \frac{8}{5 \cdot 18} = \frac{8}{90} = \frac{4}{45}$

Ответ: $x \in (-\infty, \frac{4}{45}]$.

г) $0,5\sqrt{32^{-x}} > \frac{2}{4^x}$

Приведем все к основанию 2:

$0,5 = \frac{1}{2} = 2^{-1}$

$\sqrt{32^{-x}} = (32^{-x})^{\frac{1}{2}} = ((2^5)^{-x})^{\frac{1}{2}} = (2^{-5x})^{\frac{1}{2}} = 2^{-\frac{5x}{2}}$

$\frac{2}{4^x} = \frac{2^1}{(2^2)^x} = \frac{2^1}{2^{2x}} = 2^{1-2x}$

Неравенство принимает вид:

$2^{-1} \cdot 2^{-\frac{5x}{2}} > 2^{1-2x}$

$2^{-1 - \frac{5x}{2}} > 2^{1-2x}$

Так как основание $2 > 1$, знак неравенства сохраняется:

$-1 - \frac{5x}{2} > 1 - 2x$

$2x - \frac{5x}{2} > 1 + 1$

$\frac{4x - 5x}{2} > 2$

$-\frac{x}{2} > 2$

Умножим на -2 и сменим знак неравенства:

$x < -4$

Ответ: $x \in (-\infty, -4)$.

д) $12^{x-2} \le 3^{3x} \cdot 2^{6x}$

Преобразуем правую часть неравенства:

$3^{3x} \cdot 2^{6x} = 3^{3x} \cdot (2^2)^{3x} = 3^{3x} \cdot 4^{3x} = (3 \cdot 4)^{3x} = 12^{3x}$

Теперь неравенство выглядит так:

$12^{x-2} \le 12^{3x}$

Так как основание $12 > 1$, знак неравенства сохраняется:

$x - 2 \le 3x$

$-2 \le 3x - x$

$-2 \le 2x$

$-1 \le x$

Ответ: $x \in [-1, +\infty)$.

e) $100 : 2^{3-x^2} \ge 5^{3-x^2} \cdot (10^{x-1})^3$

Запишем неравенство в виде дроби и преобразуем его:

$\frac{100}{2^{3-x^2}} \ge 5^{3-x^2} \cdot 10^{3(x-1)}$

Умножим обе части на $2^{3-x^2}$ (значение всегда положительно):

$100 \ge 2^{3-x^2} \cdot 5^{3-x^2} \cdot 10^{3x-3}$

Используем свойство $a^n \cdot b^n = (ab)^n$:

$10^2 \ge (2 \cdot 5)^{3-x^2} \cdot 10^{3x-3}$

$10^2 \ge 10^{3-x^2} \cdot 10^{3x-3}$

$10^2 \ge 10^{(3-x^2) + (3x-3)}$

$10^2 \ge 10^{-x^2+3x}$

Так как основание $10 > 1$, знак неравенства сохраняется:

$2 \ge -x^2 + 3x$

$x^2 - 3x + 2 \ge 0$

Найдем корни уравнения $x^2 - 3x + 2 = 0$. По теореме Виета, сумма корней равна 3, а произведение равно 2. Корни: $x_1 = 1$, $x_2 = 2$.

Графиком является парабола с ветвями вверх, поэтому неравенство $\ge 0$ выполняется вне интервала между корнями.

Ответ: $x \in (-\infty, 1] \cup [2, +\infty)$.

Помогло решение? Оставьте отзыв в комментариях ниже.

Присоединяйтесь к Телеграм-группе @gdz_by_belarus

Присоединиться

Мы подготовили для вас ответ c подробным объяснением домашего задания по алгебре за 11 класс, для упражнения номер 4 расположенного на странице 42 к сборнику задач 2020 года издания для учащихся школ и гимназий.

Теперь на нашем сайте ГДЗ.ТОП вы всегда легко и бесплатно найдёте условие с правильным ответом на вопрос «Как решить ДЗ» и «Как сделать» задание по алгебре к упражнению №4 (с. 42), авторов: Арефьева (Ирина Глебовна), Пирютко (Ольга Николаевна), базовый и повышенный уровень обучения учебного пособия издательства Народная асвета.