Номер 30, страница 55 - гдз по алгебре 11 класс сборник задач Арефьева, Пирютко

Алгебра, 11 класс Сборник задач, авторы: Арефьева Ирина Глебовна, Пирютко Ольга Николаевна, издательство Народная асвета, Минск, 2020, белого цвета

Авторы: Арефьева И. Г., Пирютко О. Н.

Тип: Сборник задач

Издательство: Народная асвета

Год издания: 2020 - 2026

Уровень обучения: базовый и повышенный

Цвет обложки: белый с графиком

Допущено Министерством образования Республики Беларусь

Популярные ГДЗ в 11 классе

Глава 3. Логарифмическая функция. Параграф 7. Свойства логарифмов - номер 30, страница 55.

№30 (с. 55)
Условие. №30 (с. 55)
скриншот условия
Алгебра, 11 класс Сборник задач, авторы: Арефьева Ирина Глебовна, Пирютко Ольга Николаевна, издательство Народная асвета, Минск, 2020, белого цвета, страница 55, номер 30, Условие

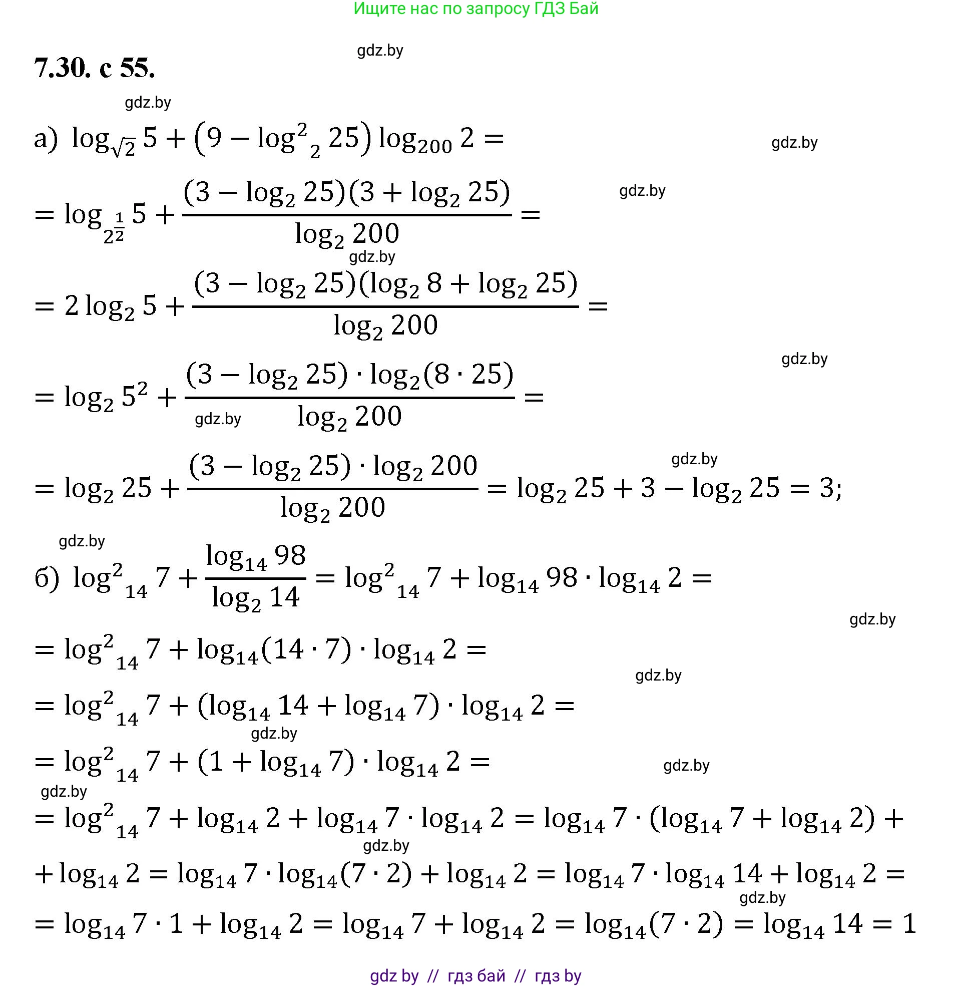
7.30. Вычислите:

a) $\log_{\sqrt{2}} 5+(9-\log_{2}^{2} 25)\log_{200} 2;$

б) $\log_{14}^{2} 7+\frac{\log_{14} 98}{\log_{2} 14}.$

Решение. №30 (с. 55)
Алгебра, 11 класс Сборник задач, авторы: Арефьева Ирина Глебовна, Пирютко Ольга Николаевна, издательство Народная асвета, Минск, 2020, белого цвета, страница 55, номер 30, Решение
Решение 2. №30 (с. 55)

а) Рассмотрим выражение: $ \log_{\sqrt{2}} 5 + (9 - \log_2^2 25)\log_{200} 2 $.

Преобразуем каждый член выражения по отдельности, используя свойства логарифмов.

1. Преобразуем первый член $ \log_{\sqrt{2}} 5 $.
Используем свойство логарифма $ \log_{a^k} b = \frac{1}{k} \log_a b $.
Так как $ \sqrt{2} = 2^{1/2} $, получаем:
$ \log_{\sqrt{2}} 5 = \log_{2^{1/2}} 5 = \frac{1}{1/2} \log_2 5 = 2\log_2 5 $.

2. Преобразуем выражение в скобках $ (9 - \log_2^2 25) $.
Сначала упростим $ \log_2^2 25 $, что равно $ (\log_2 25)^2 $.
Так как $ 25 = 5^2 $, то $ \log_2 25 = \log_2 5^2 = 2\log_2 5 $.
Тогда $ (\log_2 25)^2 = (2\log_2 5)^2 = 4(\log_2 5)^2 $.
Выражение в скобках принимает вид $ 9 - 4(\log_2 5)^2 $. Это разность квадратов $ a^2 - b^2 = (a-b)(a+b) $:
$ 9 - 4(\log_2 5)^2 = 3^2 - (2\log_2 5)^2 = (3 - 2\log_2 5)(3 + 2\log_2 5) $.

3. Преобразуем последний множитель $ \log_{200} 2 $.
Используем формулу перехода к новому основанию $ \log_a b = \frac{1}{\log_b a} $:
$ \log_{200} 2 = \frac{1}{\log_2 200} $.
Разложим число 200 на множители: $ 200 = 100 \cdot 2 = 25 \cdot 4 \cdot 2 = 5^2 \cdot 2^2 \cdot 2 = 5^2 \cdot 2^3 $.
$ \log_2 200 = \log_2(2^3 \cdot 5^2) = \log_2(2^3) + \log_2(5^2) = 3\log_2 2 + 2\log_2 5 = 3 + 2\log_2 5 $.
Таким образом, $ \log_{200} 2 = \frac{1}{3 + 2\log_2 5} $.

4. Теперь подставим все преобразованные части обратно в исходное выражение:
$ 2\log_2 5 + (3 - 2\log_2 5)(3 + 2\log_2 5) \cdot \frac{1}{3 + 2\log_2 5} $.

Сокращаем $ (3 + 2\log_2 5) $:
$ 2\log_2 5 + (3 - 2\log_2 5) $.

Раскрываем скобки и приводим подобные слагаемые:
$ 2\log_2 5 + 3 - 2\log_2 5 = 3 $.

Ответ: а) 3

б) Рассмотрим выражение: $ \log_{14}^2 7 + \frac{\log_{14} 98}{\log_2 14} $.

1. Преобразуем дробь $ \frac{\log_{14} 98}{\log_2 14} $.
Воспользуемся свойством логарифма $ \frac{1}{\log_b a} = \log_a b $, чтобы привести знаменатель к основанию 14:
$ \frac{1}{\log_2 14} = \log_{14} 2 $.
Тогда дробь превращается в произведение:
$ \frac{\log_{14} 98}{\log_2 14} = \log_{14} 98 \cdot \log_{14} 2 $.

2. Упростим $ \log_{14} 98 $.
Представим 98 как произведение $ 98 = 14 \cdot 7 $.
$ \log_{14} 98 = \log_{14} (14 \cdot 7) = \log_{14} 14 + \log_{14} 7 = 1 + \log_{14} 7 $.

3. Подставим полученные выражения обратно в исходное уравнение:
$ \log_{14}^2 7 + (1 + \log_{14} 7) \cdot \log_{14} 2 $.

4. Используем свойство суммы логарифмов: $ \log_a b + \log_a c = \log_a(bc) $.
Для основания 14 имеем: $ \log_{14} 7 + \log_{14} 2 = \log_{14}(7 \cdot 2) = \log_{14} 14 = 1 $.
Отсюда можно выразить $ \log_{14} 2 = 1 - \log_{14} 7 $.

5. Подставим $ \log_{14} 2 = 1 - \log_{14} 7 $ в наше выражение:
$ \log_{14}^2 7 + (1 + \log_{14} 7) \cdot (1 - \log_{14} 7) $.

Второе слагаемое является разностью квадратов $ (a+b)(a-b) = a^2 - b^2 $:
$ (1 + \log_{14} 7) \cdot (1 - \log_{14} 7) = 1^2 - (\log_{14} 7)^2 = 1 - \log_{14}^2 7 $.

6. Подставляем это обратно и получаем окончательный результат:
$ \log_{14}^2 7 + (1 - \log_{14}^2 7) = \log_{14}^2 7 + 1 - \log_{14}^2 7 = 1 $.

Ответ: б) 1

Помогло решение? Оставьте отзыв в комментариях ниже.

Присоединяйтесь к Телеграм-группе @gdz_by_belarus

Присоединиться

Мы подготовили для вас ответ c подробным объяснением домашего задания по алгебре за 11 класс, для упражнения номер 30 расположенного на странице 55 к сборнику задач 2020 года издания для учащихся школ и гимназий.

Теперь на нашем сайте ГДЗ.ТОП вы всегда легко и бесплатно найдёте условие с правильным ответом на вопрос «Как решить ДЗ» и «Как сделать» задание по алгебре к упражнению №30 (с. 55), авторов: Арефьева (Ирина Глебовна), Пирютко (Ольга Николаевна), базовый и повышенный уровень обучения учебного пособия издательства Народная асвета.