Номер 35, страница 55 - гдз по алгебре 11 класс сборник задач Арефьева, Пирютко

Алгебра, 11 класс Сборник задач, авторы: Арефьева Ирина Глебовна, Пирютко Ольга Николаевна, издательство Народная асвета, Минск, 2020, белого цвета

Авторы: Арефьева И. Г., Пирютко О. Н.

Тип: Сборник задач

Издательство: Народная асвета

Год издания: 2020 - 2026

Уровень обучения: базовый и повышенный

Цвет обложки: белый с графиком

Допущено Министерством образования Республики Беларусь

Популярные ГДЗ в 11 классе

Глава 3. Логарифмическая функция. Параграф 7. Свойства логарифмов - номер 35, страница 55.

№35 (с. 55)
Условие. №35 (с. 55)
скриншот условия
Алгебра, 11 класс Сборник задач, авторы: Арефьева Ирина Глебовна, Пирютко Ольга Николаевна, издательство Народная асвета, Минск, 2020, белого цвета, страница 55, номер 35, Условие

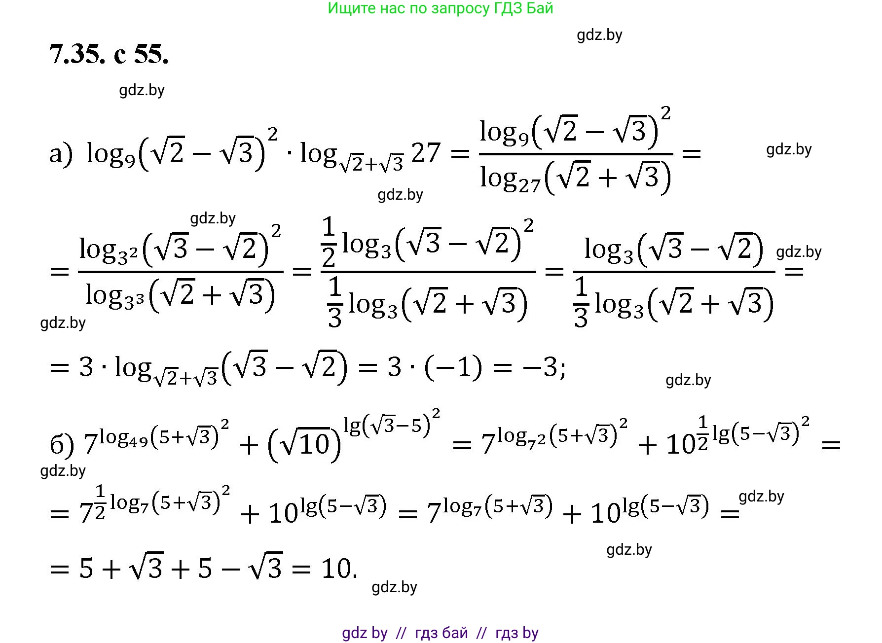
7.35. Вычислите:

a) $\log_9 (\sqrt{2} - \sqrt{3})^2 \cdot \log_{\sqrt{2} + \sqrt{3}} 27;$

б) $7^{\log_{49} (5 + \sqrt{3})^2} + (\sqrt{10})^{\lg(\sqrt{3} - 5)^2}.$

Решение. №35 (с. 55)
Алгебра, 11 класс Сборник задач, авторы: Арефьева Ирина Глебовна, Пирютко Ольга Николаевна, издательство Народная асвета, Минск, 2020, белого цвета, страница 55, номер 35, Решение
Решение 2. №35 (с. 55)

а) Рассмотрим выражение $ \log_9{(\sqrt{2}-\sqrt{3})^2} \cdot \log_{\sqrt{2}+\sqrt{3}}{27} $.

1. Упростим первый множитель $ \log_9{(\sqrt{2}-\sqrt{3})^2} $. Используем свойство логарифма $ \log_a{x^p} = p \log_a{|x|} $ для четных степеней $p$. Так как $ \sqrt{2} < \sqrt{3} $, то $ \sqrt{2} - \sqrt{3} < 0 $ и $ |\sqrt{2} - \sqrt{3}| = \sqrt{3} - \sqrt{2} $.

$$ \log_9{(\sqrt{2}-\sqrt{3})^2} = 2\log_9{|\sqrt{2}-\sqrt{3}|} = 2\log_9{(\sqrt{3}-\sqrt{2})} $$

2. Заметим, что выражения $ \sqrt{3}-\sqrt{2} $ и $ \sqrt{3}+\sqrt{2} $ являются взаимно обратными, так как их произведение равно $ (\sqrt{3}-\sqrt{2})(\sqrt{3}+\sqrt{2}) = (\sqrt{3})^2 - (\sqrt{2})^2 = 3-2=1 $. Следовательно, $ \sqrt{3}-\sqrt{2} = (\sqrt{3}+\sqrt{2})^{-1} $.

3. Подставим это в логарифм:

$$ 2\log_9{(\sqrt{3}-\sqrt{2})} = 2\log_9\left((\sqrt{3}+\sqrt{2})^{-1}\right) = -2\log_9{(\sqrt{3}+\sqrt{2})} $$

4. Исходное выражение принимает вид:

$$ -2\log_9{(\sqrt{3}+\sqrt{2})} \cdot \log_{\sqrt{3}+\sqrt{2}}{27} $$

Применим формулу замены основания логарифма $ \log_a{b} \cdot \log_b{c} = \log_a{c} $:

$$ -2 \cdot (\log_9{(\sqrt{3}+\sqrt{2})} \cdot \log_{\sqrt{3}+\sqrt{2}}{27}) = -2\log_9{27} $$

5. Вычислим оставшийся логарифм: $ \log_9{27} = \log_{3^2}{3^3} = \frac{3}{2}\log_3{3} = \frac{3}{2} $.

6. Окончательный результат:

$$ -2 \cdot \frac{3}{2} = -3 $$

Ответ: -3

б) Рассмотрим выражение $ 7^{\log_{49}{(5+\sqrt{3})^2}} + (\sqrt{10})^{\lg{(\sqrt{3}-5)^2}} $ и вычислим каждое слагаемое.

1. Первое слагаемое $ 7^{\log_{49}{(5+\sqrt{3})^2}} $. Преобразуем показатель степени:

$$ \log_{49}{(5+\sqrt{3})^2} = \log_{7^2}{(5+\sqrt{3})^2} = \frac{2}{2}\log_7{(5+\sqrt{3})} = \log_7{(5+\sqrt{3})} $$

По основному логарифмическому тождеству $ a^{\log_a{b}} = b $:

$$ 7^{\log_7{(5+\sqrt{3})}} = 5+\sqrt{3} $$

2. Второе слагаемое $ (\sqrt{10})^{\lg{(\sqrt{3}-5)^2}} $. Преобразуем показатель степени, где `lg` - это десятичный логарифм ($ \log_{10} $):

$$ \lg{(\sqrt{3}-5)^2} = 2\lg{|\sqrt{3}-5|} = 2\lg{(5-\sqrt{3})} $$

Подставим обратно в степень, учитывая, что $ \sqrt{10} = 10^{1/2} $:

$$ (\sqrt{10})^{2\lg{(5-\sqrt{3})}} = (10^{1/2})^{2\lg{(5-\sqrt{3})}} = 10^{\frac{1}{2} \cdot 2\lg{(5-\sqrt{3})}} = 10^{\lg{(5-\sqrt{3})}} $$

Снова по основному логарифмическому тождеству:

$$ 10^{\lg{(5-\sqrt{3})}} = 5-\sqrt{3} $$

3. Сложим полученные результаты:

$$ (5+\sqrt{3}) + (5-\sqrt{3}) = 5 + 5 + \sqrt{3} - \sqrt{3} = 10 $$

Ответ: 10

Помогло решение? Оставьте отзыв в комментариях ниже.

Присоединяйтесь к Телеграм-группе @gdz_by_belarus

Присоединиться

Мы подготовили для вас ответ c подробным объяснением домашего задания по алгебре за 11 класс, для упражнения номер 35 расположенного на странице 55 к сборнику задач 2020 года издания для учащихся школ и гимназий.

Теперь на нашем сайте ГДЗ.ТОП вы всегда легко и бесплатно найдёте условие с правильным ответом на вопрос «Как решить ДЗ» и «Как сделать» задание по алгебре к упражнению №35 (с. 55), авторов: Арефьева (Ирина Глебовна), Пирютко (Ольга Николаевна), базовый и повышенный уровень обучения учебного пособия издательства Народная асвета.