Номер 41, страница 55 - гдз по алгебре 11 класс сборник задач Арефьева, Пирютко

Алгебра, 11 класс Сборник задач, авторы: Арефьева Ирина Глебовна, Пирютко Ольга Николаевна, издательство Народная асвета, Минск, 2020, белого цвета

Авторы: Арефьева И. Г., Пирютко О. Н.

Тип: Сборник задач

Издательство: Народная асвета

Год издания: 2020 - 2026

Уровень обучения: базовый и повышенный

Цвет обложки: белый с графиком

Допущено Министерством образования Республики Беларусь

Популярные ГДЗ в 11 классе

Глава 3. Логарифмическая функция. Параграф 7. Свойства логарифмов - номер 41, страница 55.

№41 (с. 55)
Условие. №41 (с. 55)
скриншот условия
Алгебра, 11 класс Сборник задач, авторы: Арефьева Ирина Глебовна, Пирютко Ольга Николаевна, издательство Народная асвета, Минск, 2020, белого цвета, страница 55, номер 41, Условие

7.41. Вычислите: $ \log_{2\sqrt{2}}\sin 70^\circ + \log_{2\sqrt{2}}\sin 50^\circ + \log_{2\sqrt{2}}\sin 10^\circ $

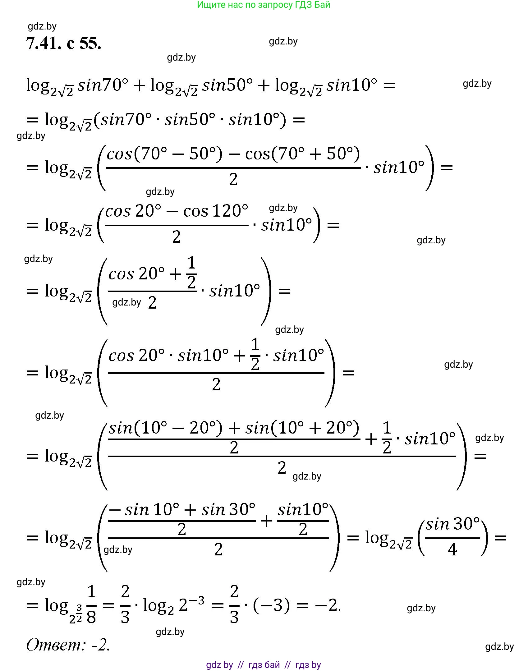
Решение. №41 (с. 55)
Алгебра, 11 класс Сборник задач, авторы: Арефьева Ирина Глебовна, Пирютко Ольга Николаевна, издательство Народная асвета, Минск, 2020, белого цвета, страница 55, номер 41, Решение
Решение 2. №41 (с. 55)

Для вычисления данного выражения сначала воспользуемся свойством суммы логарифмов с одинаковым основанием: $\log_a x + \log_a y + \log_a z = \log_a (x \cdot y \cdot z)$. Применив это свойство, получаем:

$$ \log_{2\sqrt{2}} \sin 70^\circ + \log_{2\sqrt{2}} \sin 50^\circ + \log_{2\sqrt{2}} \sin 10^\circ = \log_{2\sqrt{2}} (\sin 10^\circ \cdot \sin 50^\circ \cdot \sin 70^\circ) $$

Далее, упростим произведение синусов в аргументе логарифма. Для этого можно использовать тригонометрическое тождество $\sin x \cdot \sin(60^\circ - x) \cdot \sin(60^\circ + x) = \frac{1}{4} \sin(3x)$. Если подставить $x = 10^\circ$, то левая часть тождества в точности совпадет с нашим произведением:

$$ \sin 10^\circ \cdot \sin(60^\circ - 10^\circ) \cdot \sin(60^\circ + 10^\circ) = \sin 10^\circ \cdot \sin 50^\circ \cdot \sin 70^\circ $$

Таким образом, значение произведения равно:

$$ \frac{1}{4} \sin(3 \cdot 10^\circ) = \frac{1}{4} \sin(30^\circ) = \frac{1}{4} \cdot \frac{1}{2} = \frac{1}{8} $$

Теперь необходимо вычислить логарифм $\log_{2\sqrt{2}} (\frac{1}{8})$. Преобразуем основание и аргумент логарифма, представив их в виде степеней числа 2:

  • Основание: $2\sqrt{2} = 2^1 \cdot 2^{1/2} = 2^{1 + 1/2} = 2^{3/2}$
  • Аргумент: $\frac{1}{8} = \frac{1}{2^3} = 2^{-3}$

Подставляем полученные значения в логарифм:

$$ \log_{2^{3/2}} (2^{-3}) $$

Используя свойство логарифма $\log_{a^n} b^m = \frac{m}{n} \log_a b$, находим окончательный результат:

$$ \frac{-3}{3/2} \log_2 2 = -3 \cdot \frac{2}{3} \cdot 1 = -2 $$

Ответ: -2

Помогло решение? Оставьте отзыв в комментариях ниже.

Присоединяйтесь к Телеграм-группе @gdz_by_belarus

Присоединиться

Мы подготовили для вас ответ c подробным объяснением домашего задания по алгебре за 11 класс, для упражнения номер 41 расположенного на странице 55 к сборнику задач 2020 года издания для учащихся школ и гимназий.

Теперь на нашем сайте ГДЗ.ТОП вы всегда легко и бесплатно найдёте условие с правильным ответом на вопрос «Как решить ДЗ» и «Как сделать» задание по алгебре к упражнению №41 (с. 55), авторов: Арефьева (Ирина Глебовна), Пирютко (Ольга Николаевна), базовый и повышенный уровень обучения учебного пособия издательства Народная асвета.