Номер 30, страница 61 - гдз по алгебре 11 класс сборник задач Арефьева, Пирютко

Алгебра, 11 класс Сборник задач, авторы: Арефьева Ирина Глебовна, Пирютко Ольга Николаевна, издательство Народная асвета, Минск, 2020, белого цвета

Авторы: Арефьева И. Г., Пирютко О. Н.

Тип: Сборник задач

Издательство: Народная асвета

Год издания: 2020 - 2026

Уровень обучения: базовый и повышенный

Цвет обложки: белый с графиком

Допущено Министерством образования Республики Беларусь

Популярные ГДЗ в 11 классе

Глава 3. Логарифмическая функция. Параграф 8. Логарифмическая функция. Производная логарифмической функции - номер 30, страница 61.

№30 (с. 61)
Условие. №30 (с. 61)
скриншот условия
Алгебра, 11 класс Сборник задач, авторы: Арефьева Ирина Глебовна, Пирютко Ольга Николаевна, издательство Народная асвета, Минск, 2020, белого цвета, страница 61, номер 30, Условие

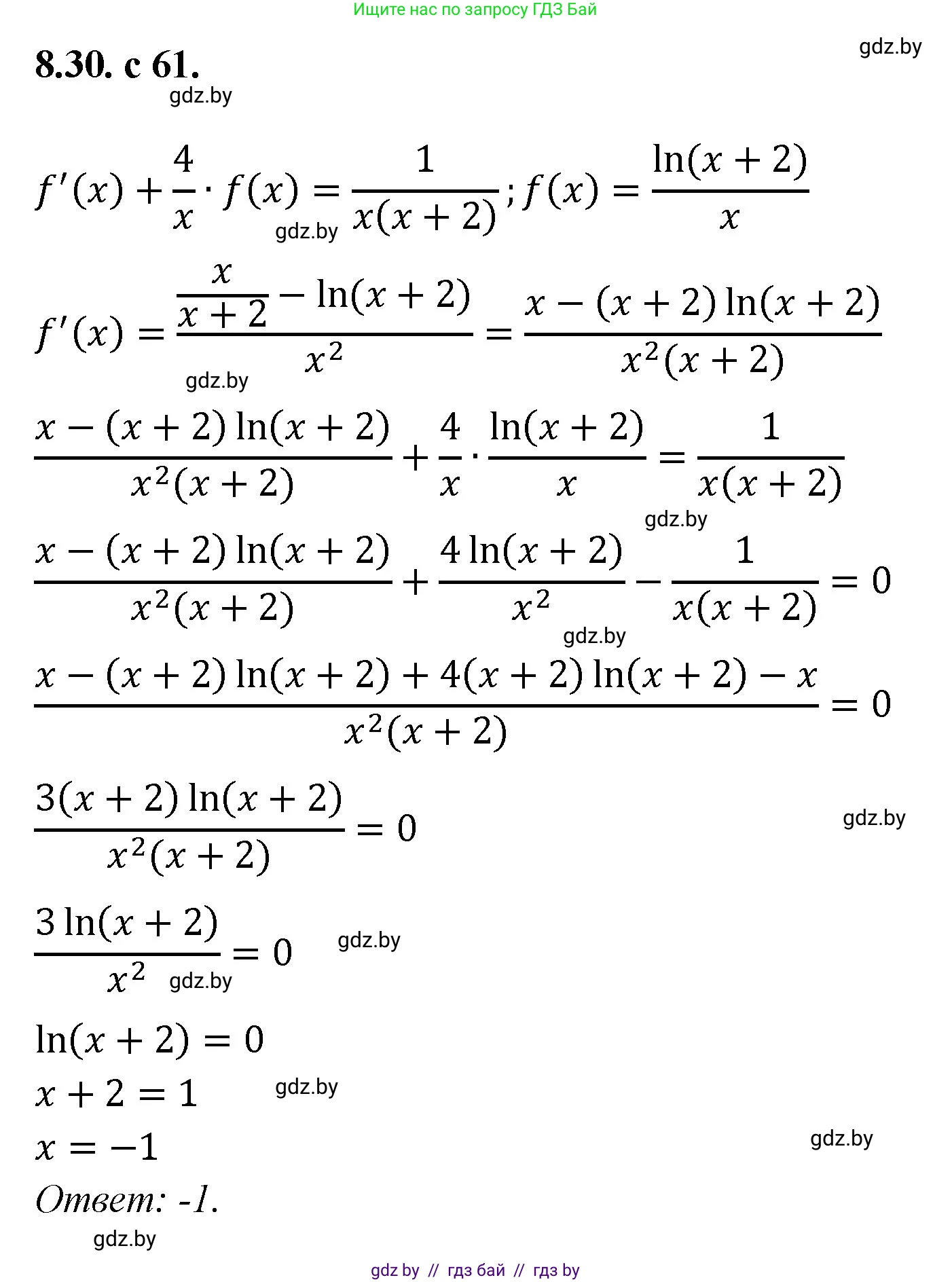
8.30. Найдите произведение корней (корень, если он единственный) уравнения $f'(x) + \frac{4}{x} \cdot f(x) = \frac{1}{x(x+2)}$, если $f(x) = \frac{\ln(x+2)}{x}$.

Решение. №30 (с. 61)
Алгебра, 11 класс Сборник задач, авторы: Арефьева Ирина Глебовна, Пирютко Ольга Николаевна, издательство Народная асвета, Минск, 2020, белого цвета, страница 61, номер 30, Решение
Решение 2. №30 (с. 61)

Для решения данного уравнения необходимо найти производную функции $f(x)$, подставить ее и саму функцию в уравнение, а затем решить полученное уравнение относительно $x$.

1. Определение области допустимых значений (ОДЗ)

Функция $f(x) = \frac{\ln(x+2)}{x}$ и уравнение $f'(x) + \frac{4}{x} \cdot f(x) = \frac{1}{x(x+2)}$ имеют следующие ограничения:

  • Аргумент натурального логарифма должен быть строго больше нуля: $x + 2 > 0 \implies x > -2$.
  • Знаменатели дробей не должны быть равны нулю: $x \neq 0$ и $x + 2 \neq 0 \implies x \neq -2$.

Объединяя эти условия, получаем ОДЗ: $x \in (-2, 0) \cup (0, +\infty)$.

2. Нахождение производной $f'(x)$

Используем правило дифференцирования частного $(\frac{u}{v})' = \frac{u'v - uv'}{v^2}$ для функции $f(x) = \frac{\ln(x+2)}{x}$.

Пусть $u(x) = \ln(x+2)$ и $v(x) = x$. Тогда их производные:

$u'(x) = \frac{1}{x+2}$

$v'(x) = 1$

Теперь находим производную $f'(x)$:

$f'(x) = \frac{(\ln(x+2))' \cdot x - \ln(x+2) \cdot (x)'}{x^2} = \frac{\frac{1}{x+2} \cdot x - \ln(x+2) \cdot 1}{x^2} = \frac{\frac{x}{x+2} - \ln(x+2)}{x^2}$

Приводя числитель к общему знаменателю, получаем:

$f'(x) = \frac{x - (x+2)\ln(x+2)}{x^2(x+2)}$

3. Подстановка в уравнение и решение

Подставим $f(x)$ и $f'(x)$ в исходное уравнение:

$f'(x) + \frac{4}{x} f(x) = \frac{1}{x(x+2)}$

$\frac{x - (x+2)\ln(x+2)}{x^2(x+2)} + \frac{4}{x} \cdot \frac{\ln(x+2)}{x} = \frac{1}{x(x+2)}$

Упростим левую часть, приведя слагаемые к общему знаменателю $x^2(x+2)$:

$\frac{x - (x+2)\ln(x+2)}{x^2(x+2)} + \frac{4(x+2)\ln(x+2)}{x^2(x+2)} = \frac{1}{x(x+2)}$

$\frac{x - (x+2)\ln(x+2) + 4(x+2)\ln(x+2)}{x^2(x+2)} = \frac{1}{x(x+2)}$

$\frac{x + 3(x+2)\ln(x+2)}{x^2(x+2)} = \frac{1}{x(x+2)}$

Поскольку $x \neq 0$ и $x \neq -2$ (согласно ОДЗ), мы можем умножить обе части уравнения на $x^2(x+2)$:

$x + 3(x+2)\ln(x+2) = \frac{x^2(x+2)}{x(x+2)}$

$x + 3(x+2)\ln(x+2) = x$

Вычтем $x$ из обеих частей:

$3(x+2)\ln(x+2) = 0$

Это уравнение выполняется, когда один из множителей равен нулю. Так как $x+2 \neq 0$ в области допустимых значений, то остается только один вариант:

$\ln(x+2) = 0$

По определению натурального логарифма:

$x+2 = e^0$

$x+2 = 1$

$x = -1$

Найденный корень $x = -1$ удовлетворяет ОДЗ ($ -2 < -1 < 0 $).

Таким образом, уравнение имеет единственный корень.

4. Нахождение произведения корней

По условию задачи требуется найти произведение корней. Так как корень только один, то он и является ответом.

Ответ: -1

Помогло решение? Оставьте отзыв в комментариях ниже.

Присоединяйтесь к Телеграм-группе @gdz_by_belarus

Присоединиться

Мы подготовили для вас ответ c подробным объяснением домашего задания по алгебре за 11 класс, для упражнения номер 30 расположенного на странице 61 к сборнику задач 2020 года издания для учащихся школ и гимназий.

Теперь на нашем сайте ГДЗ.ТОП вы всегда легко и бесплатно найдёте условие с правильным ответом на вопрос «Как решить ДЗ» и «Как сделать» задание по алгебре к упражнению №30 (с. 61), авторов: Арефьева (Ирина Глебовна), Пирютко (Ольга Николаевна), базовый и повышенный уровень обучения учебного пособия издательства Народная асвета.