Номер 1, страница 71 - гдз по алгебре 11 класс сборник задач Арефьева, Пирютко

Алгебра, 11 класс Сборник задач, авторы: Арефьева Ирина Глебовна, Пирютко Ольга Николаевна, издательство Народная асвета, Минск, 2020, белого цвета

Авторы: Арефьева И. Г., Пирютко О. Н.

Тип: Сборник задач

Издательство: Народная асвета

Год издания: 2020 - 2026

Уровень обучения: базовый и повышенный

Цвет обложки: белый с графиком

Допущено Министерством образования Республики Беларусь

Популярные ГДЗ в 11 классе

Глава 3. Логарифмическая функция. Параграф 9. Логарифмические уравнения - номер 1, страница 71.

№1 (с. 71)
Условие. №1 (с. 71)
скриншот условия
Алгебра, 11 класс Сборник задач, авторы: Арефьева Ирина Глебовна, Пирютко Ольга Николаевна, издательство Народная асвета, Минск, 2020, белого цвета, страница 71, номер 1, Условие

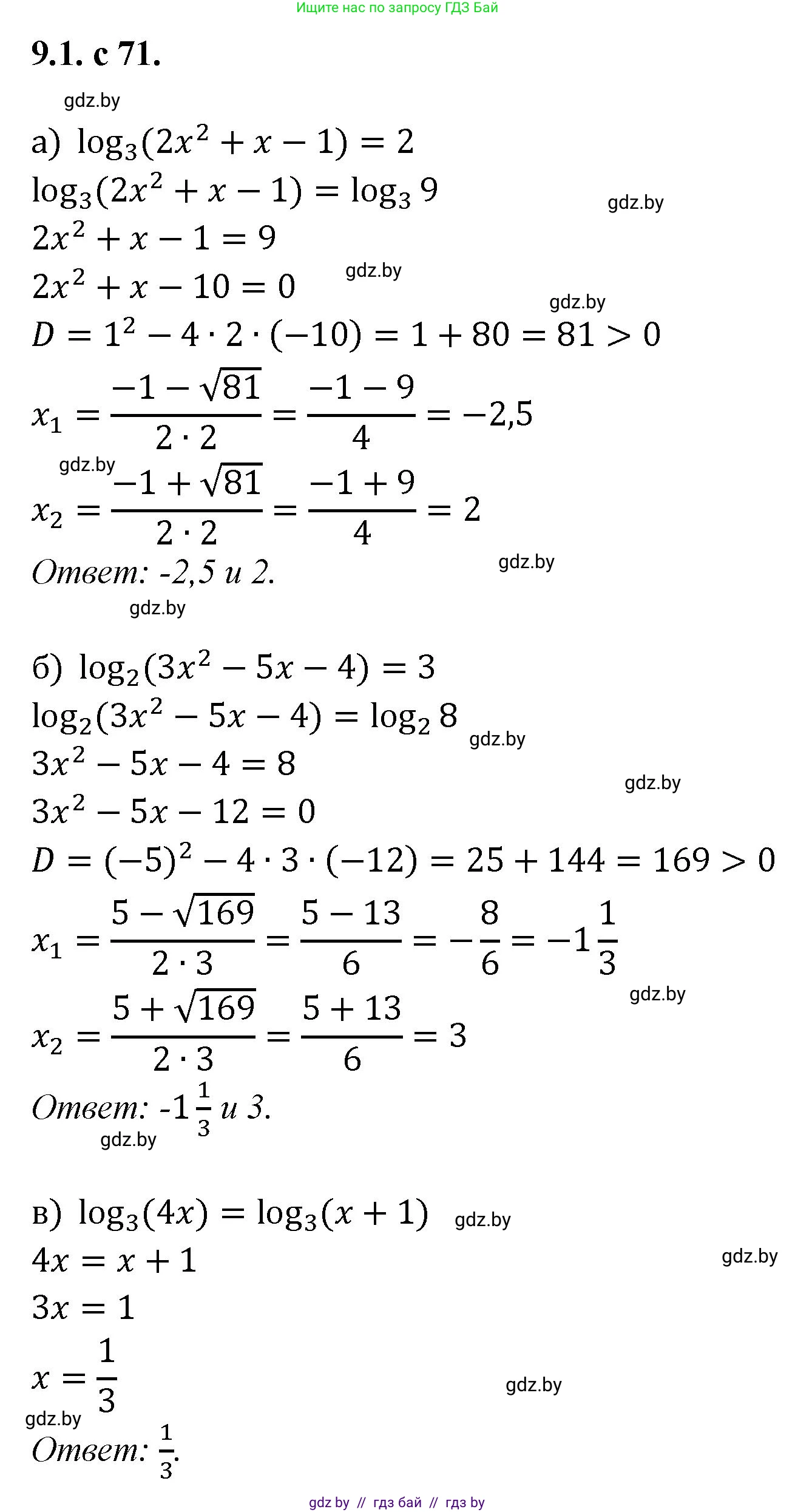
9.1. Решите уравнение:

а) $log_3 (2x^2 + x - 1) = 2;$

б) $log_2 (3x^2 - 5x - 4) = 3;$

в) $log_3 (4x) = log_3 (x+1);$

г) $lg(2x^2 + 3x) = lg(6x+2);$

д) $lg(x^2 - 6) - lg x = 0;$

е) $log_{0,1} (x^2 - 8) - log_{0,1} 2x = 0.$

Решение. №1 (с. 71)
Алгебра, 11 класс Сборник задач, авторы: Арефьева Ирина Глебовна, Пирютко Ольга Николаевна, издательство Народная асвета, Минск, 2020, белого цвета, страница 71, номер 1, Решение Алгебра, 11 класс Сборник задач, авторы: Арефьева Ирина Глебовна, Пирютко Ольга Николаевна, издательство Народная асвета, Минск, 2020, белого цвета, страница 71, номер 1, Решение (продолжение 2)
Решение 2. №1 (с. 71)

а) $log_3(2x^2 + x - 1) = 2$

Найдем область допустимых значений (ОДЗ). Выражение под знаком логарифма должно быть строго положительным:
$2x^2 + x - 1 > 0$
Решим соответствующее квадратное уравнение $2x^2 + x - 1 = 0$:
Дискриминант $D = 1^2 - 4 \cdot 2 \cdot (-1) = 1 + 8 = 9 = 3^2$.
Корни: $x_1 = \frac{-1 - 3}{4} = -1$ и $x_2 = \frac{-1 + 3}{4} = \frac{1}{2}$.
Поскольку ветви параболы направлены вверх, неравенство выполняется при $x < -1$ и $x > \frac{1}{2}$.
ОДЗ: $x \in (-\infty; -1) \cup (\frac{1}{2}; +\infty)$.

Теперь решим само уравнение. По определению логарифма:
$2x^2 + x - 1 = 3^2$
$2x^2 + x - 1 = 9$
$2x^2 + x - 10 = 0$

Решим полученное квадратное уравнение:
$D = 1^2 - 4 \cdot 2 \cdot (-10) = 1 + 80 = 81 = 9^2$.
$x_1 = \frac{-1 - 9}{4} = \frac{-10}{4} = -\frac{5}{2}$
$x_2 = \frac{-1 + 9}{4} = \frac{8}{4} = 2$

Проверим, входят ли корни в ОДЗ.
$x_1 = -\frac{5}{2} = -2.5$. Этот корень входит в ОДЗ, так как $-2.5 < -1$.
$x_2 = 2$. Этот корень входит в ОДЗ, так как $2 > \frac{1}{2}$.

Ответ: $-2\frac{1}{2}$; 2.

б) $log_2(3x^2 - 5x - 4) = 3$

ОДЗ: $3x^2 - 5x - 4 > 0$.
Корни уравнения $3x^2 - 5x - 4 = 0$: $D = (-5)^2 - 4 \cdot 3 \cdot (-4) = 25 + 48 = 73$. Корни $x_{1,2} = \frac{5 \pm \sqrt{73}}{6}$.
ОДЗ: $x \in (-\infty; \frac{5 - \sqrt{73}}{6}) \cup (\frac{5 + \sqrt{73}}{6}; +\infty)$.

Решаем уравнение по определению логарифма:
$3x^2 - 5x - 4 = 2^3$
$3x^2 - 5x - 4 = 8$
$3x^2 - 5x - 12 = 0$

Решим квадратное уравнение:
$D = (-5)^2 - 4 \cdot 3 \cdot (-12) = 25 + 144 = 169 = 13^2$.
$x_1 = \frac{5 - 13}{6} = \frac{-8}{6} = -\frac{4}{3}$
$x_2 = \frac{5 + 13}{6} = \frac{18}{6} = 3$

Проверим корни на принадлежность ОДЗ.
$\sqrt{73} \approx 8.5$. Значит, $\frac{5 - \sqrt{73}}{6} \approx \frac{5 - 8.5}{6} \approx -0.58$ и $\frac{5 + \sqrt{73}}{6} \approx \frac{5 + 8.5}{6} \approx 2.25$.
$x_1 = -\frac{4}{3} \approx -1.33$. Этот корень входит в ОДЗ, так как $-1.33 < -0.58$.
$x_2 = 3$. Этот корень входит в ОДЗ, так как $3 > 2.25$.

Ответ: $-1\frac{1}{3}$; 3.

в) $log_3(4x) = log_3(x + 1)$

ОДЗ определяется системой неравенств:
$\begin{cases} 4x > 0 \\ x+1 > 0 \end{cases} \Rightarrow \begin{cases} x > 0 \\ x > -1 \end{cases} \Rightarrow x > 0$.
ОДЗ: $x \in (0; +\infty)$.

Так как основания логарифмов равны, приравниваем выражения под логарифмами:
$4x = x + 1$
$3x = 1$
$x = \frac{1}{3}$

Корень $x = \frac{1}{3}$ удовлетворяет ОДЗ ($ \frac{1}{3} > 0 $).

Ответ: $\frac{1}{3}$.

г) $lg(2x^2 + 3x) = lg(6x + 2)$

ОДЗ:
$\begin{cases} 2x^2 + 3x > 0 \\ 6x + 2 > 0 \end{cases} \Rightarrow \begin{cases} x(2x + 3) > 0 \\ 6x > -2 \end{cases} \Rightarrow \begin{cases} x \in (-\infty; -1.5) \cup (0; +\infty) \\ x > -\frac{1}{3} \end{cases} \Rightarrow x > 0$.
ОДЗ: $x \in (0; +\infty)$.

Приравниваем выражения под логарифмами:
$2x^2 + 3x = 6x + 2$
$2x^2 - 3x - 2 = 0$

Решим квадратное уравнение:
$D = (-3)^2 - 4 \cdot 2 \cdot (-2) = 9 + 16 = 25 = 5^2$.
$x_1 = \frac{3 - 5}{4} = \frac{-2}{4} = -\frac{1}{2}$
$x_2 = \frac{3 + 5}{4} = \frac{8}{4} = 2$

$x_1 = -\frac{1}{2}$ не удовлетворяет ОДЗ ($-\frac{1}{2} \ngtr 0$), является посторонним корнем.
$x_2 = 2$ удовлетворяет ОДЗ ($2 > 0$).

Ответ: 2.

д) $lg(x^2 - 6) - lg(x) = 0$

Перепишем уравнение в виде $lg(x^2 - 6) = lg(x)$.
ОДЗ:
$\begin{cases} x^2 - 6 > 0 \\ x > 0 \end{cases} \Rightarrow \begin{cases} x^2 > 6 \\ x > 0 \end{cases} \Rightarrow \begin{cases} x \in (-\infty; -\sqrt{6}) \cup (\sqrt{6}; +\infty) \\ x > 0 \end{cases} \Rightarrow x > \sqrt{6}$.
ОДЗ: $x \in (\sqrt{6}; +\infty)$.

Приравниваем выражения под логарифмами:
$x^2 - 6 = x$
$x^2 - x - 6 = 0$

По теореме Виета корни: $x_1 = 3$, $x_2 = -2$.

Проверим корни.
$x_1 = 3$. Так как $3 = \sqrt{9}$, а $\sqrt{9} > \sqrt{6}$, то корень $x=3$ удовлетворяет ОДЗ.
$x_2 = -2$. Не удовлетворяет ОДЗ ($ -2 \ngtr \sqrt{6} $).

Ответ: 3.

е) $log_{0.1}(x^2 - 8) - log_{0.1}(2x) = 0$

Перепишем уравнение: $log_{0.1}(x^2 - 8) = log_{0.1}(2x)$.
ОДЗ:
$\begin{cases} x^2 - 8 > 0 \\ 2x > 0 \end{cases} \Rightarrow \begin{cases} x^2 > 8 \\ x > 0 \end{cases} \Rightarrow \begin{cases} x \in (-\infty; -\sqrt{8}) \cup (\sqrt{8}; +\infty) \\ x > 0 \end{cases} \Rightarrow x > \sqrt{8}$.
ОДЗ: $x \in (\sqrt{8}; +\infty)$. (Заметим, что $\sqrt{8} = 2\sqrt{2} \approx 2.83$)

Приравниваем выражения под логарифмами:
$x^2 - 8 = 2x$
$x^2 - 2x - 8 = 0$

По теореме Виета корни: $x_1 = 4$, $x_2 = -2$.

Проверим корни.
$x_1 = 4$. Так как $4 = \sqrt{16}$, а $\sqrt{16} > \sqrt{8}$, то корень $x=4$ удовлетворяет ОДЗ.
$x_2 = -2$. Не удовлетворяет ОДЗ ($ -2 \ngtr \sqrt{8} $).

Ответ: 4.

Помогло решение? Оставьте отзыв в комментариях ниже.

Присоединяйтесь к Телеграм-группе @gdz_by_belarus

Присоединиться

Мы подготовили для вас ответ c подробным объяснением домашего задания по алгебре за 11 класс, для упражнения номер 1 расположенного на странице 71 к сборнику задач 2020 года издания для учащихся школ и гимназий.

Теперь на нашем сайте ГДЗ.ТОП вы всегда легко и бесплатно найдёте условие с правильным ответом на вопрос «Как решить ДЗ» и «Как сделать» задание по алгебре к упражнению №1 (с. 71), авторов: Арефьева (Ирина Глебовна), Пирютко (Ольга Николаевна), базовый и повышенный уровень обучения учебного пособия издательства Народная асвета.