Номер 8, страница 72 - гдз по алгебре 11 класс сборник задач Арефьева, Пирютко

Алгебра, 11 класс Сборник задач, авторы: Арефьева Ирина Глебовна, Пирютко Ольга Николаевна, издательство Народная асвета, Минск, 2020, белого цвета

Авторы: Арефьева И. Г., Пирютко О. Н.

Тип: Сборник задач

Издательство: Народная асвета

Год издания: 2020 - 2026

Уровень обучения: базовый и повышенный

Цвет обложки: белый с графиком

Допущено Министерством образования Республики Беларусь

Популярные ГДЗ в 11 классе

Глава 3. Логарифмическая функция. Параграф 9. Логарифмические уравнения - номер 8, страница 72.

№8 (с. 72)
Условие. №8 (с. 72)
скриншот условия
Алгебра, 11 класс Сборник задач, авторы: Арефьева Ирина Глебовна, Пирютко Ольга Николаевна, издательство Народная асвета, Минск, 2020, белого цвета, страница 72, номер 8, Условие

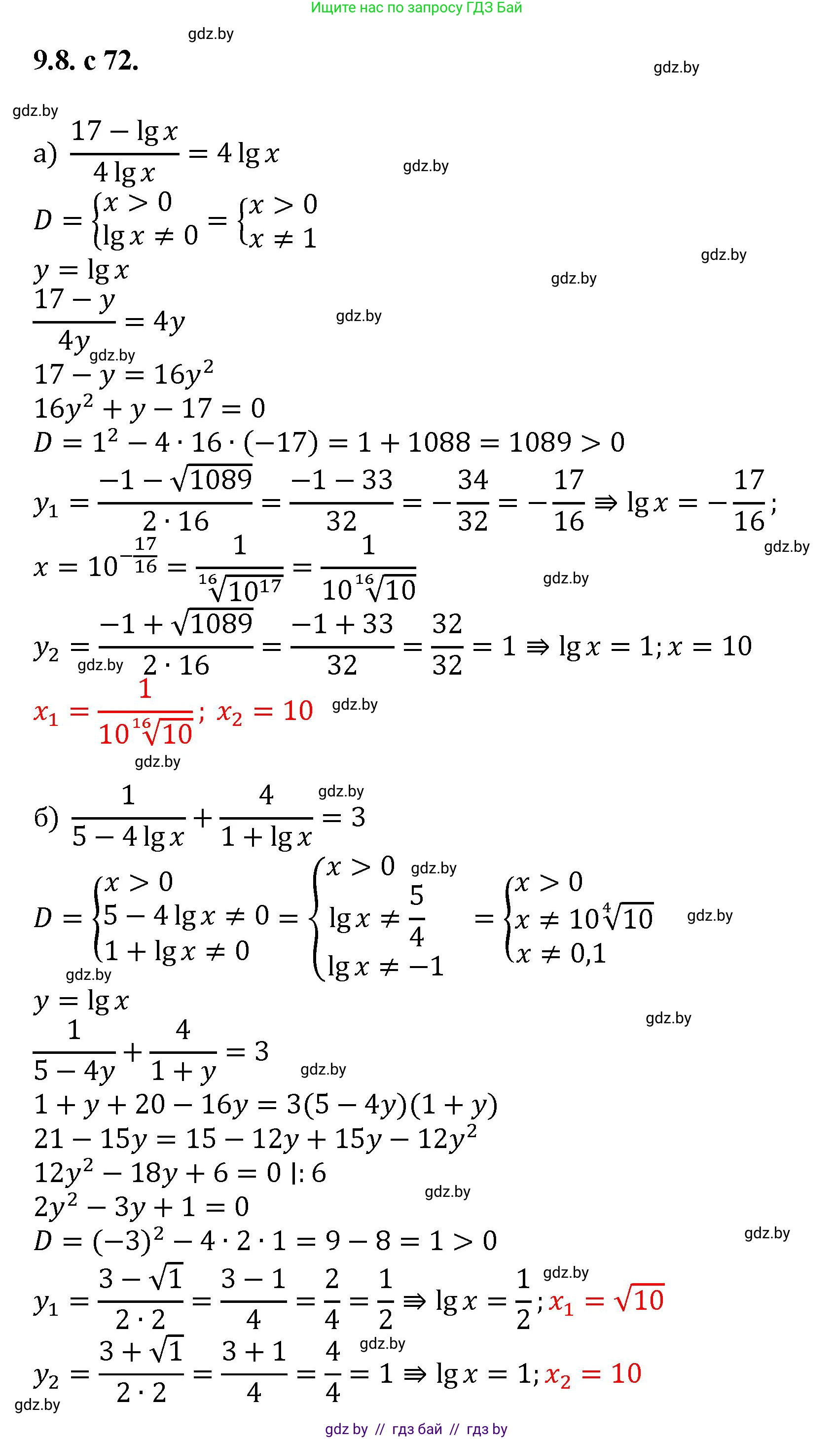
9.8. Решите уравнение:

а) $ \frac{17 - \lg x}{4\lg x} = 4\lg x; $

б) $ \frac{1}{5 - 4\lg x} + \frac{4}{1 + \lg x} = 3. $

Решение. №8 (с. 72)
Алгебра, 11 класс Сборник задач, авторы: Арефьева Ирина Глебовна, Пирютко Ольга Николаевна, издательство Народная асвета, Минск, 2020, белого цвета, страница 72, номер 8, Решение
Решение 2. №8 (с. 72)

а) Исходное уравнение:

$$ \frac{17 - \lg x}{4\lg x} = 4\lg x $$

1. Найдем область допустимых значений (ОДЗ). Аргумент логарифма должен быть строго положительным, а знаменатель дроби не должен равняться нулю:

$$ \begin{cases} x > 0 \\ 4\lg x \neq 0 \end{cases} \implies \begin{cases} x > 0 \\ \lg x \neq 0 \end{cases} \implies \begin{cases} x > 0 \\ x \neq 1 \end{cases} $$

2. Введем замену переменной. Пусть $y = \lg x$. Тогда уравнение примет вид:

$$ \frac{17 - y}{4y} = 4y $$

3. Решим полученное уравнение относительно $y$. Умножим обе части на $4y$ (с учетом ОДЗ $y \neq 0$):

$$ 17 - y = (4y)^2 $$

$$ 17 - y = 16y^2 $$

Перенесем все члены в одну сторону, чтобы получить квадратное уравнение:

$$ 16y^2 + y - 17 = 0 $$

4. Найдем корни квадратного уравнения. Поскольку сумма коэффициентов $16 + 1 - 17 = 0$, один из корней равен $1$.

$$ y_1 = 1 $$

Второй корень найдем по теореме Виета ($y_1 \cdot y_2 = \frac{c}{a}$):

$$ 1 \cdot y_2 = \frac{-17}{16} \implies y_2 = -\frac{17}{16} $$

Так как $-\frac{17}{16}$ является неправильной дробью, выделим из нее целую часть: $-\frac{17}{16} = -1\frac{1}{16}$.

5. Вернемся к исходной переменной $x$.

Для $y_1 = 1$:

$$ \lg x = 1 \implies x_1 = 10^1 = 10 $$

Этот корень удовлетворяет ОДЗ ($10 > 0$ и $10 \neq 1$).

Для $y_2 = -\frac{17}{16}$:

$$ \lg x = -\frac{17}{16} \implies x_2 = 10^{-17/16} $$

Этот корень также удовлетворяет ОДЗ ($10^{-17/16} > 0$ и $10^{-17/16} \neq 1$).

Ответ: $x_1 = 10$, $x_2 = 10^{-17/16}$.

б) Исходное уравнение:

$$ \frac{1}{5 - 4\lg x} + \frac{4}{1 + \lg x} = 3 $$

1. Найдем область допустимых значений (ОДЗ). Аргумент логарифма должен быть строго положительным, а знаменатели дробей не должны равняться нулю:

$$ \begin{cases} x > 0 \\ 5 - 4\lg x \neq 0 \\ 1 + \lg x \neq 0 \end{cases} \implies \begin{cases} x > 0 \\ 4\lg x \neq 5 \\ \lg x \neq -1 \end{cases} \implies \begin{cases} x > 0 \\ \lg x \neq \frac{5}{4} \\ \lg x \neq -1 \end{cases} \implies \begin{cases} x > 0 \\ x \neq 10^{5/4} \\ x \neq 10^{-1} \end{cases} $$

2. Введем замену переменной. Пусть $y = \lg x$. Тогда уравнение примет вид:

$$ \frac{1}{5 - 4y} + \frac{4}{1 + y} = 3 $$

3. Решим полученное уравнение относительно $y$. Приведем левую часть к общему знаменателю $(5 - 4y)(1 + y)$:

$$ \frac{1(1+y) + 4(5-4y)}{(5-4y)(1+y)} = 3 $$

$$ \frac{1+y+20-16y}{(5-4y)(1+y)} = 3 $$

$$ \frac{21-15y}{5+y-4y^2} = 3 $$

Умножим обе части на знаменатель (с учетом ОДЗ $y \neq \frac{5}{4}$ и $y \neq -1$):

$$ 21 - 15y = 3(5 + y - 4y^2) $$

$$ 21 - 15y = 15 + 3y - 12y^2 $$

Перенесем все члены в одну сторону, чтобы получить квадратное уравнение:

$$ 12y^2 - 15y - 3y + 21 - 15 = 0 $$

$$ 12y^2 - 18y + 6 = 0 $$

Разделим все уравнение на 6 для упрощения:

$$ 2y^2 - 3y + 1 = 0 $$

4. Найдем корни квадратного уравнения. Сумма коэффициентов $2 - 3 + 1 = 0$, следовательно, один из корней равен $1$.

$$ y_1 = 1 $$

Второй корень найдем по теореме Виета ($y_1 \cdot y_2 = \frac{c}{a}$):

$$ 1 \cdot y_2 = \frac{1}{2} \implies y_2 = \frac{1}{2} $$

Оба корня ($1$ и $\frac{1}{2}$) не совпадают с ограничениями $y \neq \frac{5}{4}$ и $y \neq -1$.

5. Вернемся к исходной переменной $x$.

Для $y_1 = 1$:

$$ \lg x = 1 \implies x_1 = 10^1 = 10 $$

Этот корень удовлетворяет ОДЗ.

Для $y_2 = \frac{1}{2}$:

$$ \lg x = \frac{1}{2} \implies x_2 = 10^{1/2} = \sqrt{10} $$

Этот корень также удовлетворяет ОДЗ.

Ответ: $x_1 = 10$, $x_2 = \sqrt{10}$.

Помогло решение? Оставьте отзыв в комментариях ниже.

Присоединяйтесь к Телеграм-группе @gdz_by_belarus

Присоединиться

Мы подготовили для вас ответ c подробным объяснением домашего задания по алгебре за 11 класс, для упражнения номер 8 расположенного на странице 72 к сборнику задач 2020 года издания для учащихся школ и гимназий.

Теперь на нашем сайте ГДЗ.ТОП вы всегда легко и бесплатно найдёте условие с правильным ответом на вопрос «Как решить ДЗ» и «Как сделать» задание по алгебре к упражнению №8 (с. 72), авторов: Арефьева (Ирина Глебовна), Пирютко (Ольга Николаевна), базовый и повышенный уровень обучения учебного пособия издательства Народная асвета.