Номер 9, страница 72 - гдз по алгебре 11 класс сборник задач Арефьева, Пирютко

Алгебра, 11 класс Сборник задач, авторы: Арефьева Ирина Глебовна, Пирютко Ольга Николаевна, издательство Народная асвета, Минск, 2020, белого цвета

Авторы: Арефьева И. Г., Пирютко О. Н.

Тип: Сборник задач

Издательство: Народная асвета

Год издания: 2020 - 2026

Уровень обучения: базовый и повышенный

Цвет обложки: белый с графиком

Допущено Министерством образования Республики Беларусь

Популярные ГДЗ в 11 классе

Глава 3. Логарифмическая функция. Параграф 9. Логарифмические уравнения - номер 9, страница 72.

№9 (с. 72)
Условие. №9 (с. 72)
скриншот условия
Алгебра, 11 класс Сборник задач, авторы: Арефьева Ирина Глебовна, Пирютко Ольга Николаевна, издательство Народная асвета, Минск, 2020, белого цвета, страница 72, номер 9, Условие

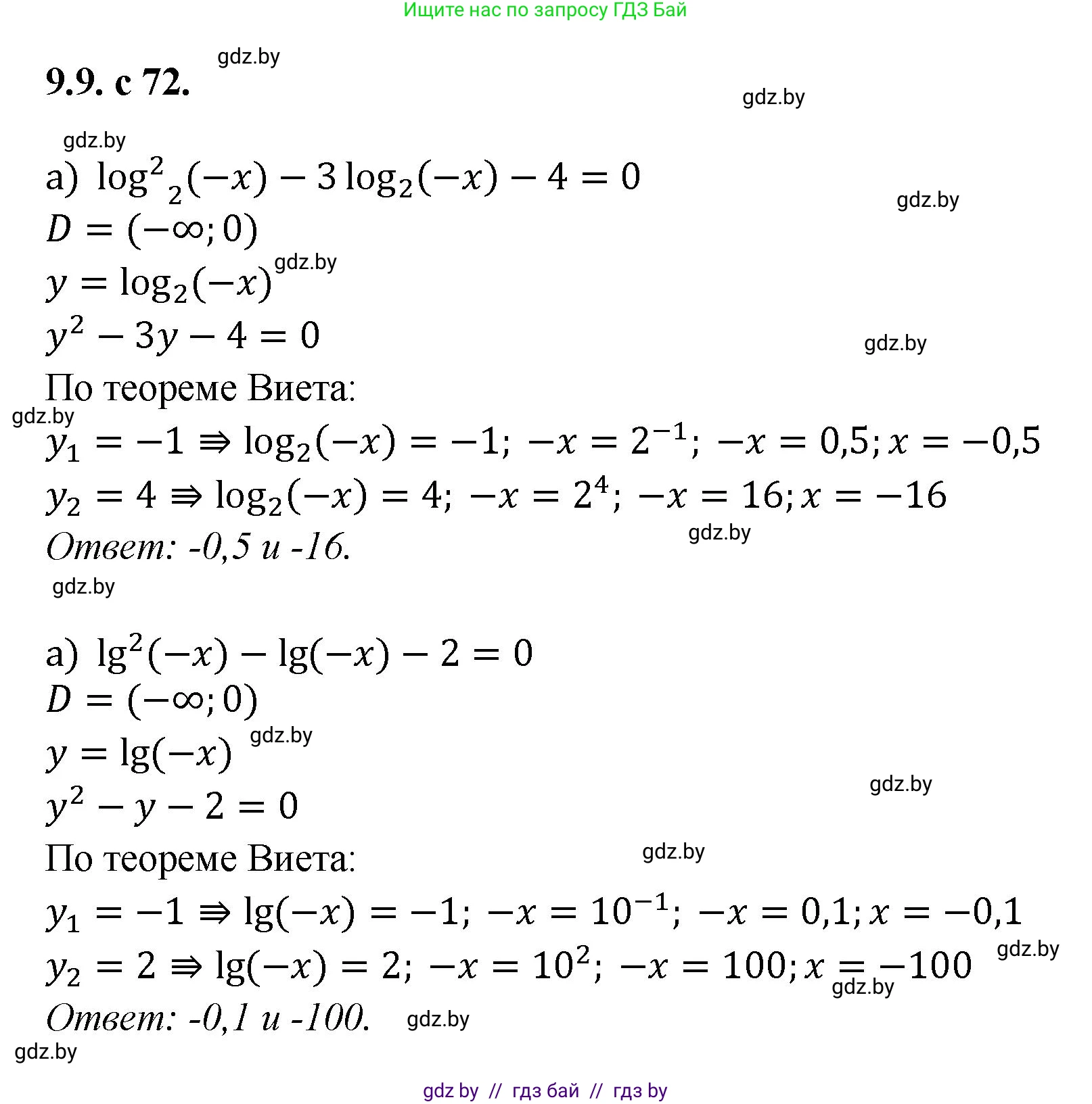
9.9. Найдите все корни уравнения:

a) $log_2^2(-x) - 3\log_2(-x) - 4 = 0;$

б) $\lg^2(-x) - \lg(-x) - 2 = 0.$

Решение. №9 (с. 72)
Алгебра, 11 класс Сборник задач, авторы: Арефьева Ирина Глебовна, Пирютко Ольга Николаевна, издательство Народная асвета, Минск, 2020, белого цвета, страница 72, номер 9, Решение
Решение 2. №9 (с. 72)

а) $\log_2^2(-x) - 3\log_2(-x) - 4 = 0$

Найдем область допустимых значений (ОДЗ). Аргумент логарифма должен быть строго больше нуля:
$-x > 0$
$x < 0$

Это уравнение является квадратным относительно $\log_2(-x)$. Для решения введем новую переменную.
Пусть $t = \log_2(-x)$. Тогда уравнение можно переписать в следующем виде:

$t^2 - 3t - 4 = 0$

Решим полученное квадратное уравнение с помощью дискриминанта:
$D = b^2 - 4ac = (-3)^2 - 4 \cdot 1 \cdot (-4) = 9 + 16 = 25$
Найдем корни для $t$:
$t_1 = \frac{-b + \sqrt{D}}{2a} = \frac{3 + \sqrt{25}}{2} = \frac{3 + 5}{2} = 4$
$t_2 = \frac{-b - \sqrt{D}}{2a} = \frac{3 - \sqrt{25}}{2} = \frac{3 - 5}{2} = -1$

Теперь выполним обратную замену, чтобы найти значения $x$:

  1. $\log_2(-x) = 4$
    Из определения логарифма следует:
    $-x = 2^4$
    $-x = 16$
    $x_1 = -16$
    Этот корень удовлетворяет ОДЗ ($x < 0$).
  2. $\log_2(-x) = -1$
    Из определения логарифма следует:
    $-x = 2^{-1}$
    $-x = \frac{1}{2}$
    $x_2 = -\frac{1}{2}$
    Этот корень также удовлетворяет ОДЗ ($x < 0$).

Ответ: -16; $-\frac{1}{2}$


б) $\lg^2(-x) - \lg(-x) - 2 = 0$

ОДЗ: $-x > 0$, что означает $x < 0$.
Напомним, что $\lg(a)$ — это десятичный логарифм, то есть $\log_{10}(a)$.

Сделаем замену переменной. Пусть $t = \lg(-x)$. Уравнение примет вид:

$t^2 - t - 2 = 0$

Решим это квадратное уравнение. Воспользуемся теоремой Виета:
$t_1 + t_2 = 1$
$t_1 \cdot t_2 = -2$
Отсюда корни: $t_1 = 2$ и $t_2 = -1$.

Выполним обратную замену:

  1. $\lg(-x) = 2$
    По определению десятичного логарифма:
    $-x = 10^2$
    $-x = 100$
    $x_1 = -100$
    Корень $x_1 = -100$ удовлетворяет ОДЗ ($x < 0$).
  2. $\lg(-x) = -1$
    По определению десятичного логарифма:
    $-x = 10^{-1}$
    $-x = \frac{1}{10}$
    $x_2 = -\frac{1}{10}$
    Корень $x_2 = -1/10$ также удовлетворяет ОДЗ ($x < 0$).

Ответ: -100; $-\frac{1}{10}$

Помогло решение? Оставьте отзыв в комментариях ниже.

Присоединяйтесь к Телеграм-группе @gdz_by_belarus

Присоединиться

Мы подготовили для вас ответ c подробным объяснением домашего задания по алгебре за 11 класс, для упражнения номер 9 расположенного на странице 72 к сборнику задач 2020 года издания для учащихся школ и гимназий.

Теперь на нашем сайте ГДЗ.ТОП вы всегда легко и бесплатно найдёте условие с правильным ответом на вопрос «Как решить ДЗ» и «Как сделать» задание по алгебре к упражнению №9 (с. 72), авторов: Арефьева (Ирина Глебовна), Пирютко (Ольга Николаевна), базовый и повышенный уровень обучения учебного пособия издательства Народная асвета.