Номер 14, страница 73 - гдз по алгебре 11 класс сборник задач Арефьева, Пирютко

Алгебра, 11 класс Сборник задач, авторы: Арефьева Ирина Глебовна, Пирютко Ольга Николаевна, издательство Народная асвета, Минск, 2020, белого цвета

Авторы: Арефьева И. Г., Пирютко О. Н.

Тип: Сборник задач

Издательство: Народная асвета

Год издания: 2020 - 2026

Уровень обучения: базовый и повышенный

Цвет обложки: белый с графиком

Допущено Министерством образования Республики Беларусь

Популярные ГДЗ в 11 классе

Глава 3. Логарифмическая функция. Параграф 9. Логарифмические уравнения - номер 14, страница 73.

№14 (с. 73)
Условие. №14 (с. 73)
скриншот условия
Алгебра, 11 класс Сборник задач, авторы: Арефьева Ирина Глебовна, Пирютко Ольга Николаевна, издательство Народная асвета, Минск, 2020, белого цвета, страница 73, номер 14, Условие

9.14. Решите уравнение:

a) $\log_3^2(3x) + \log_3 x = 5;$

б) $\log_2^2(4x) + 2\log_2 x = -5;$

в) $0,5\lg x \cdot \lg(0,001) = \lg 0,1;$

г) $\log_2(2x^2)\log_2(16x) = 4,5\log_2^2 x.$

Решение. №14 (с. 73)
Алгебра, 11 класс Сборник задач, авторы: Арефьева Ирина Глебовна, Пирютко Ольга Николаевна, издательство Народная асвета, Минск, 2020, белого цвета, страница 73, номер 14, Решение Алгебра, 11 класс Сборник задач, авторы: Арефьева Ирина Глебовна, Пирютко Ольга Николаевна, издательство Народная асвета, Минск, 2020, белого цвета, страница 73, номер 14, Решение (продолжение 2)
Решение 2. №14 (с. 73)

a) Решим уравнение $ \log_3^2(3x) + \log_3 x = 5 $.

Сначала определим область допустимых значений (ОДЗ). Аргумент логарифма должен быть строго больше нуля: $ 3x > 0 $ и $ x > 0 $, что равносильно условию $ x > 0 $.

Используем свойство логарифма произведения $ \log_a(bc) = \log_a b + \log_a c $:
$ \log_3(3x) = \log_3 3 + \log_3 x = 1 + \log_3 x $

Подставим это выражение в исходное уравнение:
$ (1 + \log_3 x)^2 + \log_3 x = 5 $

Сделаем замену переменной. Пусть $ t = \log_3 x $. Уравнение примет вид:
$ (1 + t)^2 + t = 5 $
$ 1 + 2t + t^2 + t = 5 $
$ t^2 + 3t - 4 = 0 $

Решим квадратное уравнение. По теореме Виета, корни уравнения: $ t_1 = 1 $ и $ t_2 = -4 $.

Выполним обратную замену:
1) $ \log_3 x = 1 \implies x_1 = 3^1 = 3 $.
2) $ \log_3 x = -4 \implies x_2 = 3^{-4} = \frac{1}{3^4} = \frac{1}{81} $.

Оба корня $ x_1 = 3 $ и $ x_2 = \frac{1}{81} $ удовлетворяют ОДЗ ($ x > 0 $).

Ответ: $ 3; \frac{1}{81} $

б) Решим уравнение $ \log_2^2(4x) + 2\log_2 x = -5 $.

ОДЗ: $ 4x > 0 $ и $ x > 0 $, откуда $ x > 0 $.

Преобразуем $ \log_2(4x) $:
$ \log_2(4x) = \log_2 4 + \log_2 x = 2 + \log_2 x $.

Подставим в уравнение:
$ (2 + \log_2 x)^2 + 2\log_2 x = -5 $

Сделаем замену $ t = \log_2 x $:
$ (2 + t)^2 + 2t = -5 $
$ 4 + 4t + t^2 + 2t = -5 $
$ t^2 + 6t + 9 = 0 $

Это полный квадрат: $ (t + 3)^2 = 0 $, откуда $ t = -3 $.

Выполним обратную замену:
$ \log_2 x = -3 \implies x = 2^{-3} = \frac{1}{8} $.

Корень $ x = \frac{1}{8} $ удовлетворяет ОДЗ ($ x > 0 $).

Ответ: $ \frac{1}{8} $

в) Решим уравнение $ 0,5\lg x \cdot \lg(0,001) = \lg 0,1 $.

ОДЗ: $ x > 0 $. (lg - это десятичный логарифм, $ \log_{10} $).

Вычислим значения логарифмов от констант:
$ \lg(0,001) = \lg(10^{-3}) = -3 $
$ \lg(0,1) = \lg(10^{-1}) = -1 $

Подставим эти значения в уравнение:
$ 0,5 \cdot \lg x \cdot (-3) = -1 $
$ -1,5 \lg x = -1 $

Выразим $ \lg x $:
$ \lg x = \frac{-1}{-1,5} = \frac{1}{3/2} = \frac{2}{3} $

Найдем $x$:
$ x = 10^{2/3} = \sqrt[3]{10^2} = \sqrt[3]{100} $.

Корень $ x = \sqrt[3]{100} $ удовлетворяет ОДЗ ($ x > 0 $).

Ответ: $ \sqrt[3]{100} $

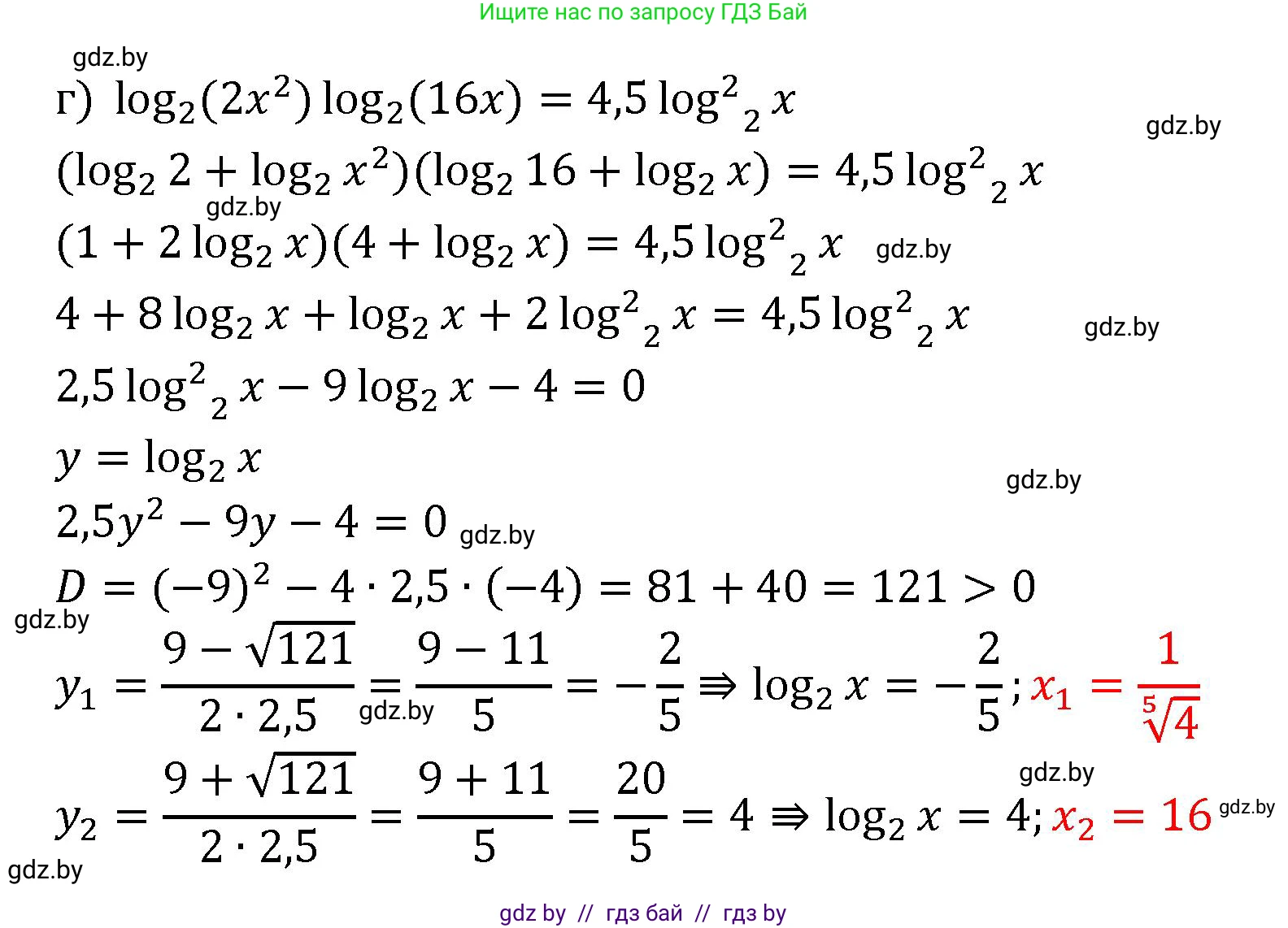
г) Решим уравнение $ \log_2(2x^2)\log_2(16x) = 4,5\log_2^2 x $.

ОДЗ: $ 2x^2 > 0 $, $ 16x > 0 $ и $ x > 0 $ (из-за $ \log_2^2 x $). Совокупность этих условий дает $ x > 0 $.

Преобразуем логарифмы в левой части уравнения:
$ \log_2(2x^2) = \log_2 2 + \log_2(x^2) = 1 + 2\log_2 x $
$ \log_2(16x) = \log_2 16 + \log_2 x = 4 + \log_2 x $

Подставим в уравнение:
$ (1 + 2\log_2 x)(4 + \log_2 x) = 4,5 \log_2^2 x $

Сделаем замену $ t = \log_2 x $:
$ (1 + 2t)(4 + t) = 4,5 t^2 $
$ 4 + t + 8t + 2t^2 = 4,5 t^2 $
$ 2t^2 + 9t + 4 = 4,5 t^2 $
$ 2,5t^2 - 9t - 4 = 0 $

Умножим уравнение на 2, чтобы избавиться от десятичной дроби:
$ 5t^2 - 18t - 8 = 0 $

Решим квадратное уравнение через дискриминант:
$ D = (-18)^2 - 4 \cdot 5 \cdot (-8) = 324 + 160 = 484 = 22^2 $
$ t_1 = \frac{18 + 22}{2 \cdot 5} = \frac{40}{10} = 4 $
$ t_2 = \frac{18 - 22}{2 \cdot 5} = \frac{-4}{10} = -\frac{2}{5} $

Выполним обратную замену:
1) $ \log_2 x = 4 \implies x_1 = 2^4 = 16 $.
2) $ \log_2 x = -\frac{2}{5} \implies x_2 = 2^{-2/5} = \frac{1}{2^{2/5}} = \frac{1}{\sqrt[5]{2^2}} = \frac{1}{\sqrt[5]{4}} $.

Оба корня $ x_1 = 16 $ и $ x_2 = \frac{1}{\sqrt[5]{4}} $ удовлетворяют ОДЗ ($ x > 0 $).

Ответ: $ 16; \frac{1}{\sqrt[5]{4}} $

Помогло решение? Оставьте отзыв в комментариях ниже.

Присоединяйтесь к Телеграм-группе @gdz_by_belarus

Присоединиться

Мы подготовили для вас ответ c подробным объяснением домашего задания по алгебре за 11 класс, для упражнения номер 14 расположенного на странице 73 к сборнику задач 2020 года издания для учащихся школ и гимназий.

Теперь на нашем сайте ГДЗ.ТОП вы всегда легко и бесплатно найдёте условие с правильным ответом на вопрос «Как решить ДЗ» и «Как сделать» задание по алгебре к упражнению №14 (с. 73), авторов: Арефьева (Ирина Глебовна), Пирютко (Ольга Николаевна), базовый и повышенный уровень обучения учебного пособия издательства Народная асвета.