Номер 19, страница 73 - гдз по алгебре 11 класс сборник задач Арефьева, Пирютко

Алгебра, 11 класс Сборник задач, авторы: Арефьева Ирина Глебовна, Пирютко Ольга Николаевна, издательство Народная асвета, Минск, 2020, белого цвета

Авторы: Арефьева И. Г., Пирютко О. Н.

Тип: Сборник задач

Издательство: Народная асвета

Год издания: 2020 - 2026

Уровень обучения: базовый и повышенный

Цвет обложки: белый с графиком

Допущено Министерством образования Республики Беларусь

Популярные ГДЗ в 11 классе

Глава 3. Логарифмическая функция. Параграф 9. Логарифмические уравнения - номер 19, страница 73.

№19 (с. 73)
Условие. №19 (с. 73)
скриншот условия
Алгебра, 11 класс Сборник задач, авторы: Арефьева Ирина Глебовна, Пирютко Ольга Николаевна, издательство Народная асвета, Минск, 2020, белого цвета, страница 73, номер 19, Условие

2

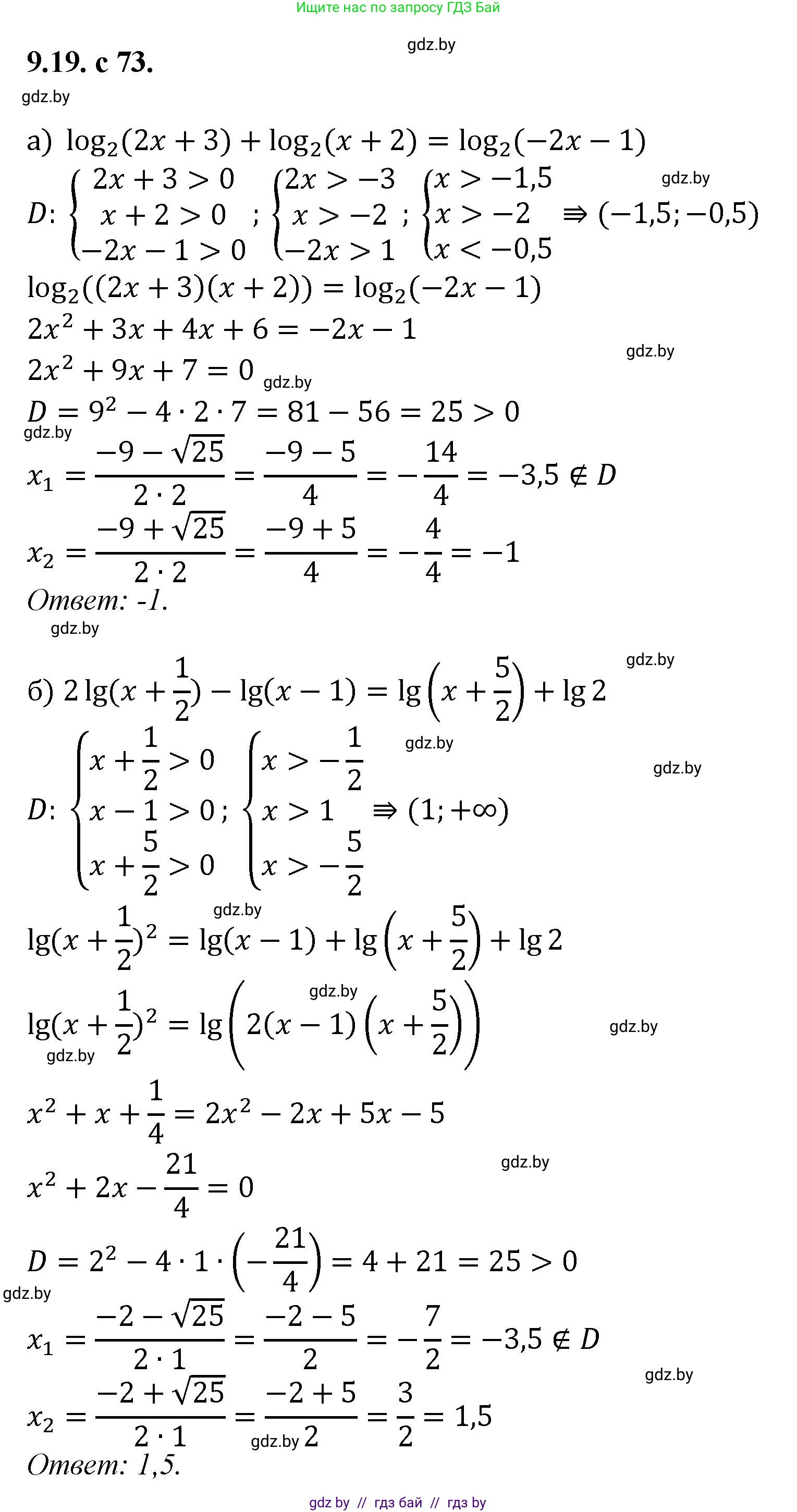
9.19. Решите уравнение:

a) $ \log_2 (2x + 3) + \log_2 (x + 2) = \log_2 (-2x - 1); $

б) $ 2\lg\left(x + \frac{1}{2}\right) - \lg(x - 1) = \lg\left(x + \frac{5}{2}\right) + \lg2; $

в) $ \log_3 (4x) + \log_3 (9x) + \log_3 x = \log_3 (18x) + \log_3 (3x). $

Решение. №19 (с. 73)
Алгебра, 11 класс Сборник задач, авторы: Арефьева Ирина Глебовна, Пирютко Ольга Николаевна, издательство Народная асвета, Минск, 2020, белого цвета, страница 73, номер 19, Решение Алгебра, 11 класс Сборник задач, авторы: Арефьева Ирина Глебовна, Пирютко Ольга Николаевна, издательство Народная асвета, Минск, 2020, белого цвета, страница 73, номер 19, Решение (продолжение 2)
Решение 2. №19 (с. 73)

а) $ \log_{2}(2x + 3) + \log_{2}(x + 2) = \log_{2}(-2x - 1) $

Найдем область допустимых значений (ОДЗ). Аргумент логарифма должен быть строго положительным:

$ \begin{cases} 2x + 3 > 0 \\ x + 2 > 0 \\ -2x - 1 > 0 \end{cases} $ $ \Rightarrow $ $ \begin{cases} x > -\frac{3}{2} \\ x > -2 \\ x < -\frac{1}{2} \end{cases} $

Пересечением этих условий является интервал $x \in (-\frac{3}{2}; -\frac{1}{2})$.

Используем свойство логарифмов $ \log_{a}b + \log_{a}c = \log_{a}(bc) $ для левой части уравнения:

$ \log_{2}((2x + 3)(x + 2)) = \log_{2}(-2x - 1) $

Так как основания логарифмов равны, приравниваем их аргументы:

$ (2x + 3)(x + 2) = -2x - 1 $

$ 2x^2 + 4x + 3x + 6 = -2x - 1 $

$ 2x^2 + 7x + 6 = -2x - 1 $

$ 2x^2 + 9x + 7 = 0 $

Решим полученное квадратное уравнение. Дискриминант $D = b^2 - 4ac = 9^2 - 4 \cdot 2 \cdot 7 = 81 - 56 = 25$.

$ x_{1} = \frac{-9 - \sqrt{25}}{2 \cdot 2} = \frac{-9 - 5}{4} = \frac{-14}{4} = -\frac{7}{2} = -3.5 $

$ x_{2} = \frac{-9 + \sqrt{25}}{2 \cdot 2} = \frac{-9 + 5}{4} = \frac{-4}{4} = -1 $

Проверим корни на принадлежность ОДЗ $x \in (-1.5; -0.5)$.

Корень $ x_1 = -3.5 $ не входит в ОДЗ.

Корень $ x_2 = -1 $ входит в ОДЗ.

Ответ: -1

б) $ 2\lg(x + \frac{1}{2}) - \lg(x - 1) = \lg(x + \frac{5}{2}) + \lg2 $

Найдем ОДЗ:

$ \begin{cases} x + \frac{1}{2} > 0 \\ x - 1 > 0 \\ x + \frac{5}{2} > 0 \end{cases} $ $ \Rightarrow $ $ \begin{cases} x > -\frac{1}{2} \\ x > 1 \\ x > -\frac{5}{2} \end{cases} $

Область допустимых значений: $x \in (1; +\infty)$.

Преобразуем уравнение, используя свойства логарифмов $ n\log_a b = \log_a b^n $, $ \log_a b + \log_a c = \log_a(bc) $, $ \log_a b - \log_a c = \log_a(\frac{b}{c}) $:

$ \lg((x + \frac{1}{2})^2) - \lg(x - 1) = \lg(2(x + \frac{5}{2})) $

$ \lg\left(\frac{(x + \frac{1}{2})^2}{x - 1}\right) = \lg(2x + 5) $

Приравниваем аргументы:

$ \frac{(x + \frac{1}{2})^2}{x - 1} = 2x + 5 $

$ \frac{x^2 + x + \frac{1}{4}}{x - 1} = 2x + 5 $

$ x^2 + x + \frac{1}{4} = (2x + 5)(x - 1) $

$ x^2 + x + 0.25 = 2x^2 - 2x + 5x - 5 $

$ x^2 + x + 0.25 = 2x^2 + 3x - 5 $

$ x^2 + 2x - 5.25 = 0 $

Умножим на 4, чтобы избавиться от дробей:

$ 4x^2 + 8x - 21 = 0 $

Дискриминант $D = 8^2 - 4 \cdot 4 \cdot (-21) = 64 + 336 = 400$.

$ x_{1} = \frac{-8 - \sqrt{400}}{2 \cdot 4} = \frac{-8 - 20}{8} = \frac{-28}{8} = -\frac{7}{2} = -3.5 $

$ x_{2} = \frac{-8 + \sqrt{400}}{2 \cdot 4} = \frac{-8 + 20}{8} = \frac{12}{8} = \frac{3}{2} = 1.5 $

Проверяем корни по ОДЗ $x > 1$.

Корень $ x_1 = -3.5 $ не удовлетворяет ОДЗ.

Корень $ x_2 = 1.5 $ удовлетворяет ОДЗ.

Ответ: $1\frac{1}{2}$

в) $ \log_{3}(4x) + \log_{3}(9x) + \log_{3}x = \log_{3}(18x) + \log_{3}(3x) $

ОДЗ определяется условием $ x > 0 $, так как все аргументы логарифмов должны быть положительны. Область допустимых значений: $x \in (0; +\infty)$.

Используем свойство $ \log_{a}(bc) = \log_{a}b + \log_{a}c $:

$ (\log_{3}4 + \log_{3}x) + (\log_{3}9 + \log_{3}x) + \log_{3}x = (\log_{3}18 + \log_{3}x) + (\log_{3}3 + \log_{3}x) $

Упрощаем, зная что $ \log_{3}9 = 2 $ и $ \log_{3}3 = 1 $:

$ \log_{3}4 + 2 + 3\log_{3}x = \log_{3}18 + 1 + 2\log_{3}x $

Соберем слагаемые с $ \log_{3}x $ в левой части, а остальные в правой:

$ 3\log_{3}x - 2\log_{3}x = \log_{3}18 + 1 - \log_{3}4 - 2 $

$ \log_{3}x = \log_{3}18 - \log_{3}4 - 1 $

Применяем свойство $ \log_a b - \log_a c = \log_a(\frac{b}{c}) $ и представляем $ 1 $ как $ \log_{3}3 $:

$ \log_{3}x = \log_{3}\frac{18}{4} - \log_{3}3 $

$ \log_{3}x = \log_{3}\frac{9}{2} - \log_{3}3 $

$ \log_{3}x = \log_{3}\left(\frac{9/2}{3}\right) $

$ \log_{3}x = \log_{3}\left(\frac{9}{6}\right) $

$ \log_{3}x = \log_{3}\frac{3}{2} $

Отсюда $ x = \frac{3}{2} $.

Корень $ x = \frac{3}{2} = 1.5 $ удовлетворяет ОДЗ $x > 0$.

Ответ: $1\frac{1}{2}$

Помогло решение? Оставьте отзыв в комментариях ниже.

Присоединяйтесь к Телеграм-группе @gdz_by_belarus

Присоединиться

Мы подготовили для вас ответ c подробным объяснением домашего задания по алгебре за 11 класс, для упражнения номер 19 расположенного на странице 73 к сборнику задач 2020 года издания для учащихся школ и гимназий.

Теперь на нашем сайте ГДЗ.ТОП вы всегда легко и бесплатно найдёте условие с правильным ответом на вопрос «Как решить ДЗ» и «Как сделать» задание по алгебре к упражнению №19 (с. 73), авторов: Арефьева (Ирина Глебовна), Пирютко (Ольга Николаевна), базовый и повышенный уровень обучения учебного пособия издательства Народная асвета.