Номер 26, страница 74 - гдз по алгебре 11 класс сборник задач Арефьева, Пирютко

Алгебра, 11 класс Сборник задач, авторы: Арефьева Ирина Глебовна, Пирютко Ольга Николаевна, издательство Народная асвета, Минск, 2020, белого цвета

Авторы: Арефьева И. Г., Пирютко О. Н.

Тип: Сборник задач

Издательство: Народная асвета

Год издания: 2020 - 2026

Уровень обучения: базовый и повышенный

Цвет обложки: белый с графиком

Допущено Министерством образования Республики Беларусь

Популярные ГДЗ в 11 классе

Глава 3. Логарифмическая функция. Параграф 9. Логарифмические уравнения - номер 26, страница 74.

№26 (с. 74)
Условие. №26 (с. 74)
скриншот условия
Алгебра, 11 класс Сборник задач, авторы: Арефьева Ирина Глебовна, Пирютко Ольга Николаевна, издательство Народная асвета, Минск, 2020, белого цвета, страница 74, номер 26, Условие

9.26. Решите систему уравнений:

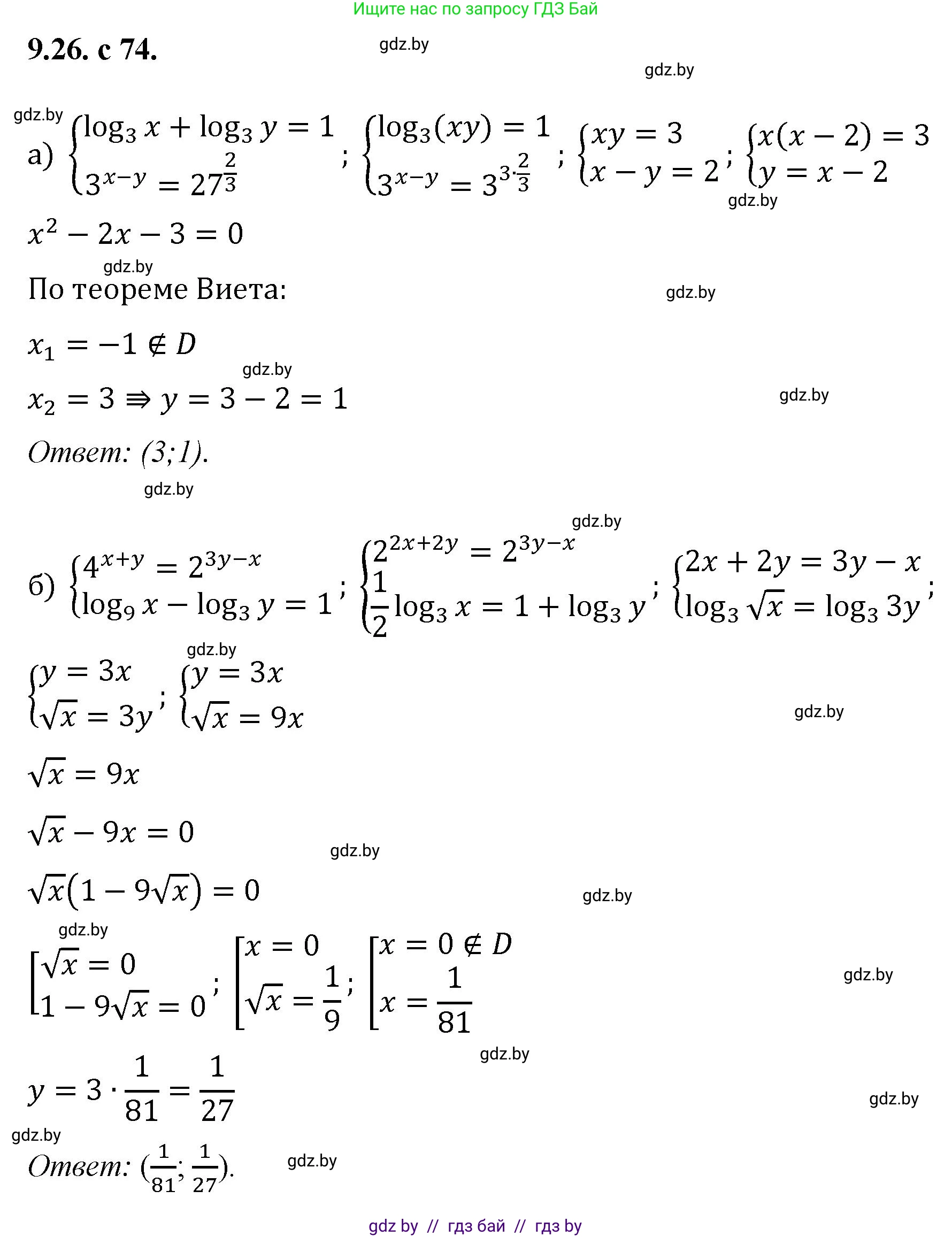
a) $\begin{cases} \log_3 x + \log_3 y = 1, \\ 3^{x-y} = 27^{\frac{2}{3}}; \end{cases}$

б) $ \begin{cases} 4^{x+y} = 2^{3y-x}, \\ \log_9 x - \log_3 y = 1. \end{cases}$

Решение. №26 (с. 74)
Алгебра, 11 класс Сборник задач, авторы: Арефьева Ирина Глебовна, Пирютко Ольга Николаевна, издательство Народная асвета, Минск, 2020, белого цвета, страница 74, номер 26, Решение
Решение 2. №26 (с. 74)

a) Дана система уравнений: $$ \begin{cases} \log_3 x + \log_3 y = 1 \\ 3^{x-y} = 27^{\frac{2}{3}} \end{cases} $$

Вначале определим область допустимых значений (ОДЗ) для переменных. Логарифмические функции определены только для положительных аргументов, поэтому $x > 0$ и $y > 0$.

Теперь упростим каждое уравнение системы.

Первое уравнение: $\log_3 x + \log_3 y = 1$.
Используя свойство суммы логарифмов $\log_a M + \log_a N = \log_a(MN)$, получаем: $$ \log_3(xy) = 1 $$ По определению логарифма, это эквивалентно: $$ xy = 3^1 \implies xy = 3 $$

Второе уравнение: $3^{x-y} = 27^{\frac{2}{3}}$.
Приведем обе части уравнения к одному основанию. Так как $27 = 3^3$, мы можем переписать правую часть: $$ 3^{x-y} = (3^3)^{\frac{2}{3}} $$ Используя свойство степени $(a^m)^n = a^{mn}$: $$ 3^{x-y} = 3^{3 \cdot \frac{2}{3}} $$ $$ 3^{x-y} = 3^2 $$ Поскольку основания степеней равны, их показатели также должны быть равны: $$ x - y = 2 $$

Теперь мы имеем более простую систему уравнений: $$ \begin{cases} xy = 3 \\ x - y = 2 \end{cases} $$ Решим эту систему методом подстановки. Из второго уравнения выразим $x$: $$ x = y + 2 $$ Подставим это выражение в первое уравнение: $$ (y + 2)y = 3 $$ $$ y^2 + 2y - 3 = 0 $$ Это квадратное уравнение относительно $y$. Его можно решить, найдя корни. По теореме Виета или через дискриминант находим корни: $y_1 = 1$ и $y_2 = -3$.
Согласно ОДЗ ($y > 0$), корень $y_2 = -3$ не является решением системы. Таким образом, единственное возможное значение для $y$ - это $y = 1$.
Найдем соответствующее значение $x$: $$ x = 1 + 2 = 3 $$ Получили решение $(3, 1)$. Проверим, удовлетворяет ли оно ОДЗ: $x=3>0$ и $y=1>0$. Условия выполнены.

Ответ: a) $(3; 1)$.


б) Дана система уравнений: $$ \begin{cases} 4^{x+y} = 2^{3y-x} \\ \log_9 x - \log_3 y = 1 \end{cases} $$

Область допустимых значений (ОДЗ) определяется вторым уравнением: $x > 0$ и $y > 0$.

Упростим каждое уравнение.

Первое уравнение: $4^{x+y} = 2^{3y-x}$.
Приведем обе части к основанию 2. Так как $4 = 2^2$: $$ (2^2)^{x+y} = 2^{3y-x} $$ $$ 2^{2(x+y)} = 2^{3y-x} $$ $$ 2^{2x+2y} = 2^{3y-x} $$ Приравниваем показатели степени: $$ 2x + 2y = 3y - x $$ $$ 3x = y $$

Второе уравнение: $\log_9 x - \log_3 y = 1$.
Приведем логарифмы к одному основанию 3, используя формулу перехода к новому основанию $\log_b a = \frac{\log_c a}{\log_c b}$: $$ \log_9 x = \frac{\log_3 x}{\log_3 9} = \frac{\log_3 x}{2} $$ Подставим это в уравнение: $$ \frac{1}{2}\log_3 x - \log_3 y = 1 $$ Используя свойства логарифмов ($k \log_a M = \log_a(M^k)$ и $\log_a M - \log_a N = \log_a(\frac{M}{N})$): $$ \log_3(x^{\frac{1}{2}}) - \log_3 y = 1 $$ $$ \log_3\left(\frac{\sqrt{x}}{y}\right) = 1 $$ По определению логарифма: $$ \frac{\sqrt{x}}{y} = 3^1 \implies \sqrt{x} = 3y $$

Мы получили систему: $$ \begin{cases} y = 3x \\ \sqrt{x} = 3y \end{cases} $$ Подставим выражение для $y$ из первого уравнения во второе: $$ \sqrt{x} = 3(3x) $$ $$ \sqrt{x} = 9x $$ Возведем обе части в квадрат (учитывая, что $x>0$ по ОДЗ, обе части уравнения неотрицательны): $$ (\sqrt{x})^2 = (9x)^2 $$ $$ x = 81x^2 $$ $$ 81x^2 - x = 0 $$ $$ x(81x - 1) = 0 $$ Это уравнение имеет два корня: $x_1 = 0$ и $x_2 = \frac{1}{81}$.
Корень $x_1 = 0$ не удовлетворяет ОДЗ ($x>0$).
Следовательно, $x = \frac{1}{81}$.
Найдем соответствующее значение $y$: $$ y = 3x = 3 \cdot \frac{1}{81} = \frac{3}{81} = \frac{1}{27} $$ Получили решение $(\frac{1}{81}, \frac{1}{27})$. Проверим по ОДЗ: $x=\frac{1}{81}>0$ и $y=\frac{1}{27}>0$. Условия выполнены.

Ответ: б) $(\frac{1}{81}; \frac{1}{27})$.

Помогло решение? Оставьте отзыв в комментариях ниже.

Присоединяйтесь к Телеграм-группе @gdz_by_belarus

Присоединиться

Мы подготовили для вас ответ c подробным объяснением домашего задания по алгебре за 11 класс, для упражнения номер 26 расположенного на странице 74 к сборнику задач 2020 года издания для учащихся школ и гимназий.

Теперь на нашем сайте ГДЗ.ТОП вы всегда легко и бесплатно найдёте условие с правильным ответом на вопрос «Как решить ДЗ» и «Как сделать» задание по алгебре к упражнению №26 (с. 74), авторов: Арефьева (Ирина Глебовна), Пирютко (Ольга Николаевна), базовый и повышенный уровень обучения учебного пособия издательства Народная асвета.