Номер 33, страница 75 - гдз по алгебре 11 класс сборник задач Арефьева, Пирютко

Алгебра, 11 класс Сборник задач, авторы: Арефьева Ирина Глебовна, Пирютко Ольга Николаевна, издательство Народная асвета, Минск, 2020, белого цвета

Авторы: Арефьева И. Г., Пирютко О. Н.

Тип: Сборник задач

Издательство: Народная асвета

Год издания: 2020 - 2026

Уровень обучения: базовый и повышенный

Цвет обложки: белый с графиком

Допущено Министерством образования Республики Беларусь

Популярные ГДЗ в 11 классе

Глава 3. Логарифмическая функция. Параграф 9. Логарифмические уравнения - номер 33, страница 75.

№33 (с. 75)
Условие. №33 (с. 75)
скриншот условия
Алгебра, 11 класс Сборник задач, авторы: Арефьева Ирина Глебовна, Пирютко Ольга Николаевна, издательство Народная асвета, Минск, 2020, белого цвета, страница 75, номер 33, Условие

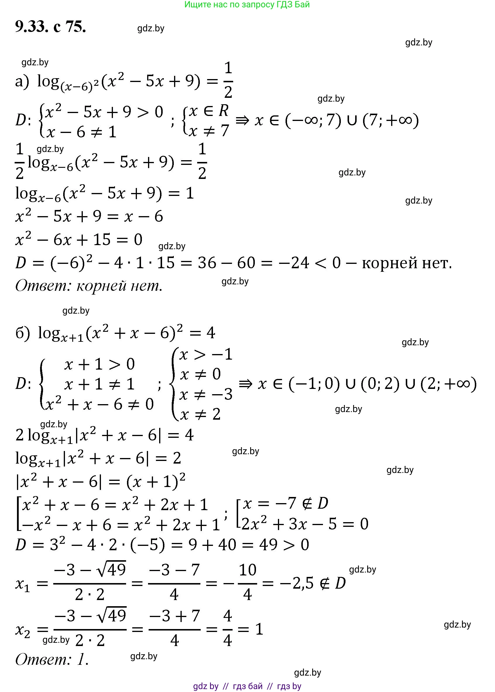
9.33. Найдите все корни уравнения:

а) $log_{(x-6)^2} (x^2 - 5x + 9) = \frac{1}{2};$

б) $log_{x+1} (x^2 + x - 6)^2 = 4.$

Решение. №33 (с. 75)
Алгебра, 11 класс Сборник задач, авторы: Арефьева Ирина Глебовна, Пирютко Ольга Николаевна, издательство Народная асвета, Минск, 2020, белого цвета, страница 75, номер 33, Решение
Решение 2. №33 (с. 75)

a) $\log_{(x-6)^2} (x^2 - 5x + 9) = \frac{1}{2}$

1. Найдем область допустимых значений (ОДЗ) для уравнения.

  • Основание логарифма должно быть больше нуля и не равно единице:
    $(x-6)^2 > 0 \implies x - 6 \neq 0 \implies x \neq 6$.
    $(x-6)^2 \neq 1 \implies x - 6 \neq 1$ и $x - 6 \neq -1$. Отсюда $x \neq 7$ и $x \neq 5$.
  • Аргумент логарифма должен быть строго больше нуля:
    $x^2 - 5x + 9 > 0$.
    Найдем дискриминант квадратного трехчлена: $D = (-5)^2 - 4 \cdot 1 \cdot 9 = 25 - 36 = -11$.
    Так как дискриминант отрицательный ($D < 0$) и коэффициент при $x^2$ положительный (равен 1), то выражение $x^2 - 5x + 9$ всегда положительно при любом значении $x$.

Итак, ОДЗ: $x \in (-\infty; 5) \cup (5; 6) \cup (6; 7) \cup (7; +\infty)$.

2. Решим уравнение, используя определение логарифма $\log_b a = c \iff a = b^c$.

$x^2 - 5x + 9 = ((x-6)^2)^{\frac{1}{2}}$

Используя свойство степени $(a^m)^n = a^{mn}$ и определение корня, получаем: $((x-6)^2)^{\frac{1}{2}} = \sqrt{(x-6)^2} = |x-6|$.

Уравнение принимает вид:

$x^2 - 5x + 9 = |x-6|$

Рассмотрим два случая раскрытия модуля:

Случай 1: $x-6 \ge 0$, то есть $x \ge 6$.

$x^2 - 5x + 9 = x - 6$

$x^2 - 6x + 15 = 0$

Дискриминант: $D = (-6)^2 - 4 \cdot 1 \cdot 15 = 36 - 60 = -24$.

Так как $D < 0$, в этом случае действительных корней нет.

Случай 2: $x-6 < 0$, то есть $x < 6$.

$x^2 - 5x + 9 = -(x-6)$

$x^2 - 5x + 9 = -x + 6$

$x^2 - 4x + 3 = 0$

По теореме Виета, корни уравнения: $x_1 = 1$, $x_2 = 3$.

3. Проверим найденные корни на соответствие ОДЗ и условию случая ($x < 6$).

  • $x_1 = 1$: Условие $1 < 6$ выполняется. Корень $x=1$ не равен 5, 6, 7. Следовательно, $x=1$ является корнем исходного уравнения.
  • $x_2 = 3$: Условие $3 < 6$ выполняется. Корень $x=3$ не равен 5, 6, 7. Следовательно, $x=3$ является корнем исходного уравнения.

Ответ: 1; 3.


б) $\log_{x+1} (x^2 + x - 6)^2 = 4$

1. Найдем область допустимых значений (ОДЗ).

  • Основание логарифма:
    $x+1 > 0 \implies x > -1$.
    $x+1 \neq 1 \implies x \neq 0$.
  • Аргумент логарифма:
    $(x^2 + x - 6)^2 > 0 \implies x^2 + x - 6 \neq 0$.
    Найдем корни уравнения $x^2 + x - 6 = 0$. По теореме Виета, $x_1 = -3$ и $x_2 = 2$.
    Следовательно, $x \neq -3$ и $x \neq 2$.

Объединяя все условия, получаем ОДЗ: $x \in (-1; 0) \cup (0; 2) \cup (2; +\infty)$.

2. Решим уравнение.

Используем свойство логарифма $\log_a (b^p) = p \log_a |b|$ для четного $p=2$:

$2 \log_{x+1} |x^2 + x - 6| = 4$

Разделим обе части на 2:

$\log_{x+1} |x^2 + x - 6| = 2$

По определению логарифма:

$|x^2 + x - 6| = (x+1)^2$

Так как правая часть $(x+1)^2$ всегда неотрицательна, это уравнение равносильно совокупности двух уравнений:

Случай 1: $x^2 + x - 6 = (x+1)^2$

$x^2 + x - 6 = x^2 + 2x + 1$

$x - 2x = 1 + 6$

$-x = 7 \implies x = -7$

Случай 2: $x^2 + x - 6 = -(x+1)^2$

$x^2 + x - 6 = -(x^2 + 2x + 1)$

$x^2 + x - 6 = -x^2 - 2x - 1$

$2x^2 + 3x - 5 = 0$

Найдем корни через дискриминант: $D = 3^2 - 4 \cdot 2 \cdot (-5) = 9 + 40 = 49 = 7^2$.

$x_1 = \frac{-3 - 7}{2 \cdot 2} = \frac{-10}{4} = -\frac{5}{2} = -2.5$

$x_2 = \frac{-3 + 7}{2 \cdot 2} = \frac{4}{4} = 1$

3. Проверим найденные корни на соответствие ОДЗ: $x \in (-1; 0) \cup (0; 2) \cup (2; +\infty)$.

  • $x = -7$: не принадлежит ОДЗ, так как $-7 < -1$.
  • $x = -2.5$: не принадлежит ОДЗ, так как $-2.5 < -1$.
  • $x = 1$: принадлежит ОДЗ, так как $1 \in (0; 2)$.

Единственным корнем уравнения является $x=1$.

Ответ: 1.

Помогло решение? Оставьте отзыв в комментариях ниже.

Присоединяйтесь к Телеграм-группе @gdz_by_belarus

Присоединиться

Мы подготовили для вас ответ c подробным объяснением домашего задания по алгебре за 11 класс, для упражнения номер 33 расположенного на странице 75 к сборнику задач 2020 года издания для учащихся школ и гимназий.

Теперь на нашем сайте ГДЗ.ТОП вы всегда легко и бесплатно найдёте условие с правильным ответом на вопрос «Как решить ДЗ» и «Как сделать» задание по алгебре к упражнению №33 (с. 75), авторов: Арефьева (Ирина Глебовна), Пирютко (Ольга Николаевна), базовый и повышенный уровень обучения учебного пособия издательства Народная асвета.