Номер 39, страница 75 - гдз по алгебре 11 класс сборник задач Арефьева, Пирютко

Алгебра, 11 класс Сборник задач, авторы: Арефьева Ирина Глебовна, Пирютко Ольга Николаевна, издательство Народная асвета, Минск, 2020, белого цвета

Авторы: Арефьева И. Г., Пирютко О. Н.

Тип: Сборник задач

Издательство: Народная асвета

Год издания: 2020 - 2026

Уровень обучения: базовый и повышенный

Цвет обложки: белый с графиком

Допущено Министерством образования Республики Беларусь

Популярные ГДЗ в 11 классе

Глава 3. Логарифмическая функция. Параграф 9. Логарифмические уравнения - номер 39, страница 75.

№39 (с. 75)
Условие. №39 (с. 75)
скриншот условия
Алгебра, 11 класс Сборник задач, авторы: Арефьева Ирина Глебовна, Пирютко Ольга Николаевна, издательство Народная асвета, Минск, 2020, белого цвета, страница 75, номер 39, Условие

9.39. Выполните замену переменной и решите уравнение:

а) $2^{1 + \log_2 x} + 4^{1 + \log_2 x} = 110;$

б) $15 + \lg \frac{1}{x} = 2\sqrt{\lg x};$

в) $49^{\log_{0,5}^2 x} - 8 \cdot 7^{\log_{0,5}^2 x} + 7 = 0;$

г) $|1 - \log_{\frac{1}{6}} x| + 2 = |3 - \log_{\frac{1}{6}} x|.$

Решение. №39 (с. 75)
Алгебра, 11 класс Сборник задач, авторы: Арефьева Ирина Глебовна, Пирютко Ольга Николаевна, издательство Народная асвета, Минск, 2020, белого цвета, страница 75, номер 39, Решение Алгебра, 11 класс Сборник задач, авторы: Арефьева Ирина Глебовна, Пирютко Ольга Николаевна, издательство Народная асвета, Минск, 2020, белого цвета, страница 75, номер 39, Решение (продолжение 2)
Решение 2. №39 (с. 75)

а) $2^{1+\log_2 x} + 4^{1+\log_2 x} = 110$

Область допустимых значений (ОДЗ) для логарифма: $x > 0$.

Преобразуем уравнение, используя свойства степеней $a^{m+n} = a^m \cdot a^n$:

$2^1 \cdot 2^{\log_2 x} + 4^1 \cdot 4^{\log_2 x} = 110$

Используем основное логарифмическое тождество $a^{\log_a b} = b$ и тот факт, что $4 = 2^2$:

$2x + 4 \cdot (2^2)^{\log_2 x} = 110$

$2x + 4 \cdot (2^{\log_2 x})^2 = 110$

$2x + 4x^2 = 110$

Приведем к стандартному виду квадратного уравнения:

$4x^2 + 2x - 110 = 0$

Разделим обе части на 2 для упрощения:

$2x^2 + x - 55 = 0$

Решим уравнение через дискриминант $D = b^2 - 4ac$:

$D = 1^2 - 4 \cdot 2 \cdot (-55) = 1 + 440 = 441 = 21^2$

Найдем корни:

$x_{1,2} = \frac{-1 \pm \sqrt{441}}{2 \cdot 2} = \frac{-1 \pm 21}{4}$

$x_1 = \frac{-1 + 21}{4} = \frac{20}{4} = 5$

$x_2 = \frac{-1 - 21}{4} = \frac{-22}{4} = -5.5$

Проверяем корни по ОДЗ ($x > 0$). Корень $x_1 = 5$ удовлетворяет условию. Корень $x_2 = -5.5$ не удовлетворяет условию.

Ответ: 5.

б) $15 + \lg \frac{1}{x} = 2\sqrt{\lg x}$

Определим область допустимых значений (ОДЗ):

  1. Аргумент логарифма должен быть положителен: $x > 0$.
  2. Подкоренное выражение должно быть неотрицательным: $\lg x \ge 0$. Это равносильно $x \ge 10^0$, то есть $x \ge 1$.

Объединяя условия, получаем ОДЗ: $x \ge 1$.

Используем свойство логарифма $\lg \frac{1}{x} = \lg(x^{-1}) = -\lg x$:

$15 - \lg x = 2\sqrt{\lg x}$

Выполним замену переменной. Пусть $t = \sqrt{\lg x}$. Из ОДЗ следует, что $t \ge 0$. Тогда $\lg x = t^2$.

Подставляем замену в уравнение:

$15 - t^2 = 2t$

$t^2 + 2t - 15 = 0$

Решаем квадратное уравнение. По теореме Виета, корни: $t_1 = 3$, $t_2 = -5$.

Проверяем условие $t \ge 0$. Корень $t_1 = 3$ подходит. Корень $t_2 = -5$ не подходит.

Выполняем обратную замену:

$\sqrt{\lg x} = 3$

Возводим обе части в квадрат:

$\lg x = 9$

$x = 10^9$

Найденный корень $x = 10^9$ удовлетворяет ОДЗ ($x \ge 1$).

Ответ: $10^9$.

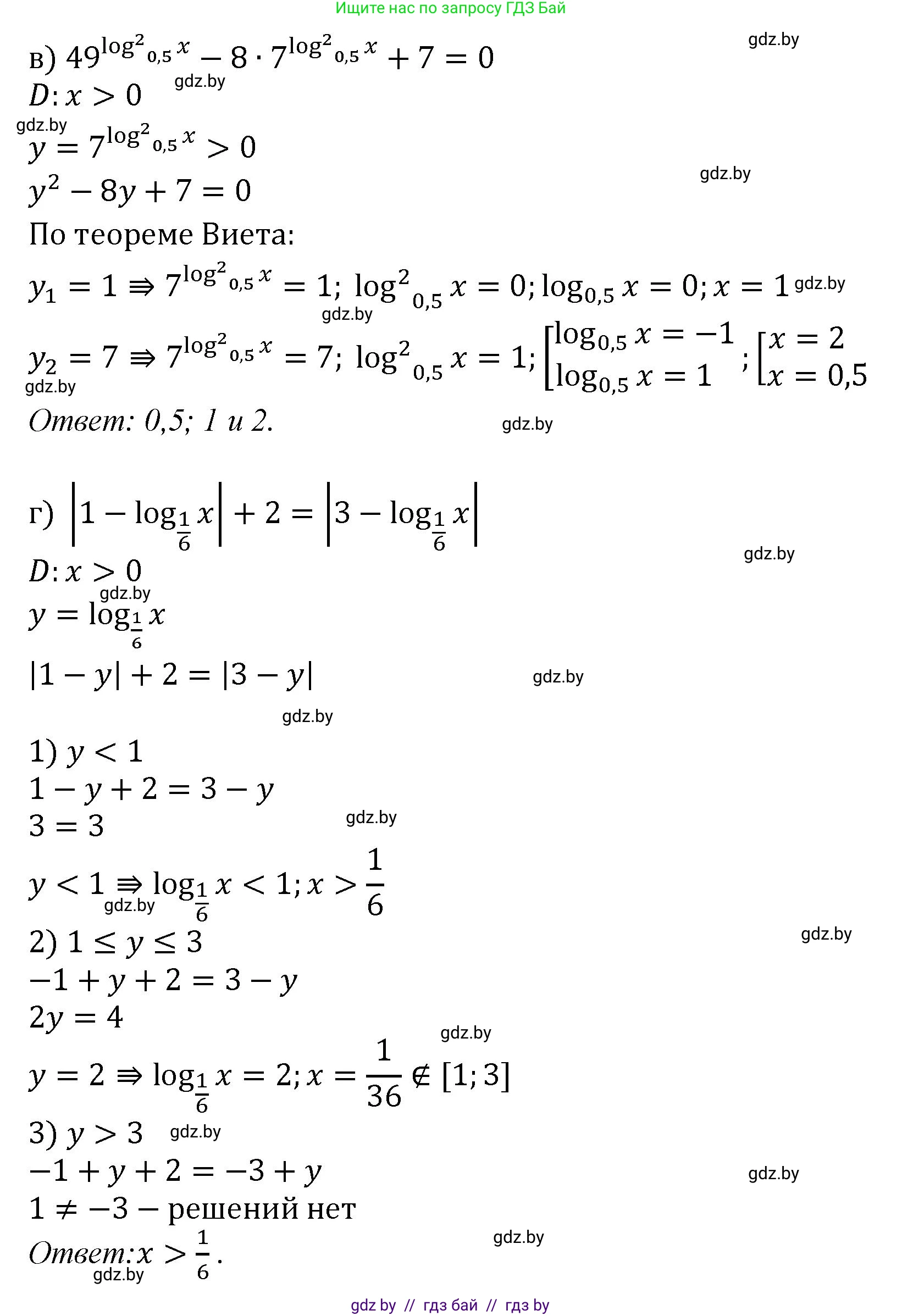
в) $49^{\log_{0.5}^2 x} - 8 \cdot 7^{\log_{0.5}^2 x} + 7 = 0$

Область допустимых значений (ОДЗ): $x > 0$.

Преобразуем уравнение, учитывая, что $49 = 7^2$:

$(7^2)^{\log_{0.5}^2 x} - 8 \cdot 7^{\log_{0.5}^2 x} + 7 = 0$

$(7^{\log_{0.5}^2 x})^2 - 8 \cdot 7^{\log_{0.5}^2 x} + 7 = 0$

Сделаем замену переменной. Пусть $t = 7^{\log_{0.5}^2 x}$.

Поскольку квадрат любого действительного числа неотрицателен, $(\log_{0.5} x)^2 \ge 0$, то $t = 7^{\text{неотрицательное число}} \ge 7^0 = 1$. Итак, $t \ge 1$.

Уравнение принимает вид:

$t^2 - 8t + 7 = 0$

По теореме Виета, корни $t_1 = 1$ и $t_2 = 7$.

Оба корня удовлетворяют условию $t \ge 1$.

Выполним обратную замену для каждого корня:

1) Если $t_1 = 1$:

$7^{\log_{0.5}^2 x} = 1 \implies 7^{\log_{0.5}^2 x} = 7^0$

$\log_{0.5}^2 x = 0 \implies \log_{0.5} x = 0 \implies x = 0.5^0 = 1$.

2) Если $t_2 = 7$:

$7^{\log_{0.5}^2 x} = 7 \implies 7^{\log_{0.5}^2 x} = 7^1$

$\log_{0.5}^2 x = 1 \implies \log_{0.5} x = \pm 1$.

Если $\log_{0.5} x = 1$, то $x = 0.5^1 = 0.5 = \frac{1}{2}$.

Если $\log_{0.5} x = -1$, то $x = 0.5^{-1} = (\frac{1}{2})^{-1} = 2$.

Все найденные значения ($1$, $0.5$, $2$) удовлетворяют ОДЗ ($x > 0$).

Ответ: $\frac{1}{2}; 1; 2$.

г) $|1 - \log_{\frac{1}{6}} x| + 2 = |3 - \log_{\frac{1}{6}} x|$

Область допустимых значений (ОДЗ): $x > 0$.

Выполним замену переменной. Пусть $t = \log_{\frac{1}{6}} x$.

Уравнение принимает вид:

$|1 - t| + 2 = |3 - t|$

Для решения уравнения с модулями рассмотрим три случая, основанных на точках, где выражения под модулем равны нулю: $t=1$ и $t=3$.

1) Если $t < 1$:

В этом случае $1-t > 0$ и $3-t > 0$. Модули раскрываются со знаком плюс:

$(1-t) + 2 = 3-t \implies 3-t = 3-t$.

Это тождество, следовательно, все значения $t < 1$ являются решениями.

2) Если $1 \le t < 3$:

В этом случае $1-t \le 0$ и $3-t > 0$. Модуль $|1-t|$ раскрывается с минусом, а $|3-t|$ — с плюсом:

$-(1-t) + 2 = 3-t \implies t-1+2 = 3-t \implies t+1 = 3-t \implies 2t = 2 \implies t=1$.

Значение $t=1$ входит в рассматриваемый промежуток и является решением.

3) Если $t \ge 3$:

В этом случае $1-t < 0$ и $3-t \le 0$. Оба модуля раскрываются с минусом:

$-(1-t) + 2 = -(3-t) \implies t-1+2 = t-3 \implies t+1 = t-3 \implies 1 = -3$.

Получено неверное равенство, значит, в этом промежутке решений нет.

Объединяя результаты, получаем, что решением для $t$ является неравенство $t \le 1$.

Выполним обратную замену:

$\log_{\frac{1}{6}} x \le 1$

Так как основание логарифма $\frac{1}{6} \in (0, 1)$, логарифмическая функция является убывающей. При потенцировании (избавлении от логарифма) знак неравенства меняется на противоположный:

$x \ge (\frac{1}{6})^1 \implies x \ge \frac{1}{6}$.

Это решение удовлетворяет ОДЗ ($x>0$).

Ответ: $[\frac{1}{6}; +\infty)$.

Помогло решение? Оставьте отзыв в комментариях ниже.

Присоединяйтесь к Телеграм-группе @gdz_by_belarus

Присоединиться

Мы подготовили для вас ответ c подробным объяснением домашего задания по алгебре за 11 класс, для упражнения номер 39 расположенного на странице 75 к сборнику задач 2020 года издания для учащихся школ и гимназий.

Теперь на нашем сайте ГДЗ.ТОП вы всегда легко и бесплатно найдёте условие с правильным ответом на вопрос «Как решить ДЗ» и «Как сделать» задание по алгебре к упражнению №39 (с. 75), авторов: Арефьева (Ирина Глебовна), Пирютко (Ольга Николаевна), базовый и повышенный уровень обучения учебного пособия издательства Народная асвета.