Номер 42, страница 75 - гдз по алгебре 11 класс сборник задач Арефьева, Пирютко

Алгебра, 11 класс Сборник задач, авторы: Арефьева Ирина Глебовна, Пирютко Ольга Николаевна, издательство Народная асвета, Минск, 2020, белого цвета

Авторы: Арефьева И. Г., Пирютко О. Н.

Тип: Сборник задач

Издательство: Народная асвета

Год издания: 2020 - 2026

Уровень обучения: базовый и повышенный

Цвет обложки: белый с графиком

Допущено Министерством образования Республики Беларусь

Популярные ГДЗ в 11 классе

Глава 3. Логарифмическая функция. Параграф 9. Логарифмические уравнения - номер 42, страница 75.

№42 (с. 75)
Условие. №42 (с. 75)
скриншот условия
Алгебра, 11 класс Сборник задач, авторы: Арефьева Ирина Глебовна, Пирютко Ольга Николаевна, издательство Народная асвета, Минск, 2020, белого цвета, страница 75, номер 42, Условие

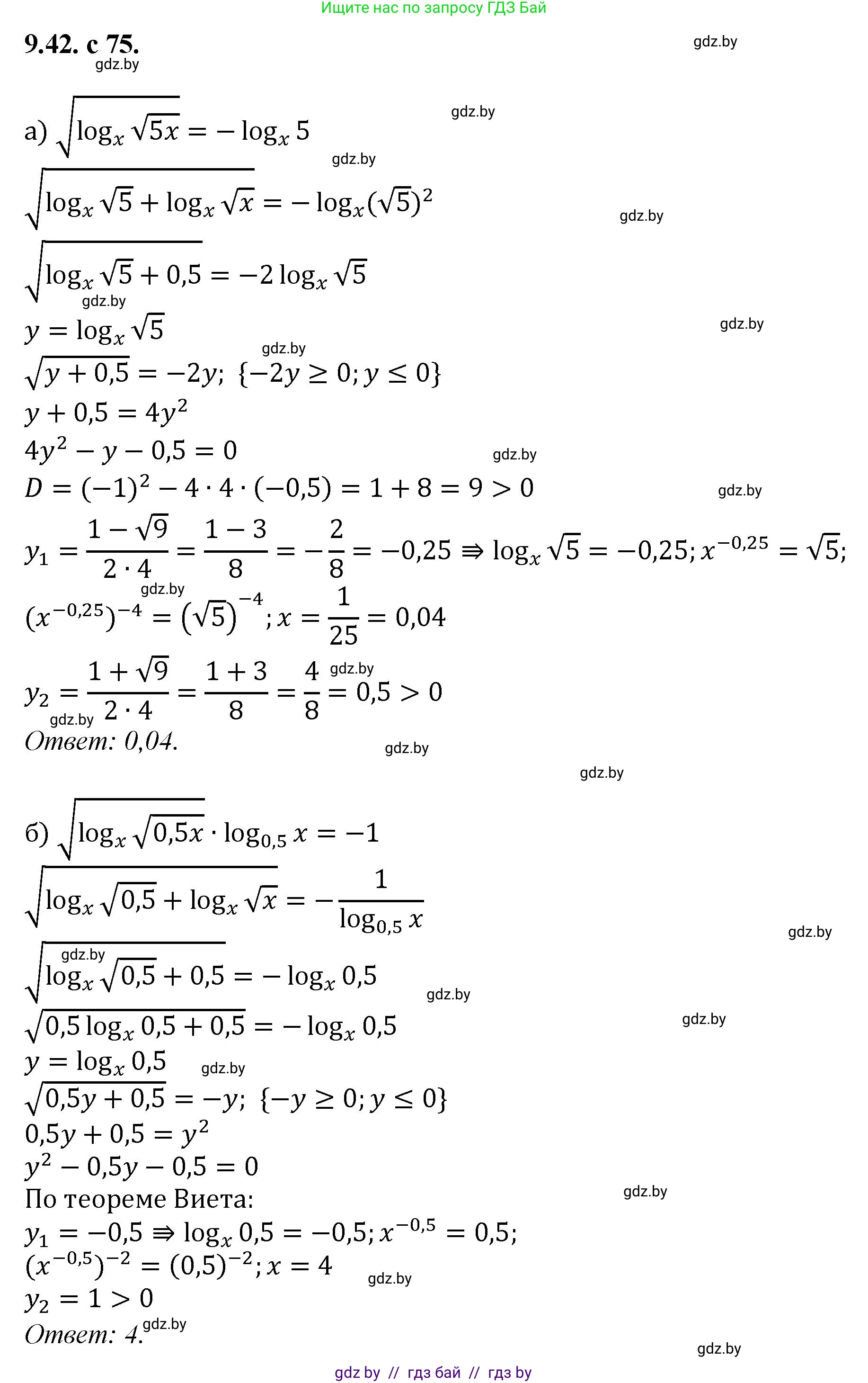
9.42. Найдите все корни уравнения:

а) $\sqrt{\log_x \sqrt{5x}} = -\log_x 5;$

б) $\sqrt{\log_x \sqrt{0.5x}} \cdot \log_{0.5} x = -1.$

Решение. №42 (с. 75)
Алгебра, 11 класс Сборник задач, авторы: Арефьева Ирина Глебовна, Пирютко Ольга Николаевна, издательство Народная асвета, Минск, 2020, белого цвета, страница 75, номер 42, Решение
Решение 2. №42 (с. 75)

а) Исходное уравнение: $\sqrt{\log_x \sqrt{5x}} = -\log_x 5$.

Найдем область допустимых значений (ОДЗ).
1. Основание логарифма: $x > 0$ и $x \neq 1$.
2. Выражение под корнем должно быть неотрицательным: $\log_x \sqrt{5x} \ge 0$.
3. Левая часть уравнения (арифметический квадратный корень) по определению неотрицательна, следовательно, правая часть также должна быть неотрицательной: $-\log_x 5 \ge 0$, что эквивалентно $\log_x 5 \le 0$.

Рассмотрим неравенство $\log_x 5 \le 0$. Оно выполняется, когда основание и число под логарифмом находятся по разные стороны от 1. Так как $5 > 1$, то основание должно быть $0 < x < 1$.

Теперь, зная что $0 < x < 1$, рассмотрим неравенство $\log_x \sqrt{5x} \ge 0$. Так как основание логарифма меньше 1, функция является убывающей, и при снятии логарифма знак неравенства меняется на противоположный:
$\sqrt{5x} \le x^0$
$\sqrt{5x} \le 1$
Возведя обе части в квадрат, получаем:
$5x \le 1 \implies x \le \frac{1}{5}$.

Объединяя все условия, получаем итоговую ОДЗ: $0 < x \le \frac{1}{5}$.

Перейдем к решению уравнения. Возведем обе части в квадрат, так как они обе неотрицательны в ОДЗ: $$(\sqrt{\log_x \sqrt{5x}})^2 = (-\log_x 5)^2$$ $$\log_x \sqrt{5x} = (\log_x 5)^2$$

Используя свойства логарифма, преобразуем левую часть: $$\log_x \sqrt{5x} = \log_x (5x)^{1/2} = \frac{1}{2} \log_x(5x) = \frac{1}{2}(\log_x 5 + \log_x x) = \frac{1}{2}(\log_x 5 + 1)$$

Подставим преобразованное выражение обратно в уравнение: $$\frac{1}{2}(\log_x 5 + 1) = (\log_x 5)^2$$

Пусть $t = \log_x 5$. Тогда уравнение принимает вид квадратного: $$\frac{1}{2}(t + 1) = t^2$$ $$t + 1 = 2t^2$$ $$2t^2 - t - 1 = 0$$

Находим корни квадратного уравнения: $D = (-1)^2 - 4 \cdot 2 \cdot (-1) = 9$ $$t_{1,2} = \frac{1 \pm \sqrt{9}}{4} \implies t_1 = \frac{1+3}{4} = 1, \quad t_2 = \frac{1-3}{4} = -\frac{1}{2}$$

Из ОДЗ мы знаем, что $\log_x 5 \le 0$, то есть $t \le 0$. Следовательно, корень $t_1 = 1$ является посторонним. Остается только $t_2 = -1/2$.

Выполняем обратную замену: $$\log_x 5 = -\frac{1}{2}$$ По определению логарифма: $$x^{-1/2} = 5$$ $$\frac{1}{\sqrt{x}} = 5 \implies \sqrt{x} = \frac{1}{5}$$ $$x = \left(\frac{1}{5}\right)^2 = \frac{1}{25}$$

Найденный корень $x = 1/25$ удовлетворяет ОДЗ ($0 < 1/25 \le 1/5$).

Ответ: $x = \frac{1}{25}$.


б) Исходное уравнение: $\sqrt{\log_x \sqrt{0.5x} \cdot \log_{0.5} x} = -1$.

По определению, арифметический квадратный корень, обозначаемый символом $\sqrt{\cdot}$, принимает только неотрицательные значения. То есть, для любых значений $x$, при которых левая часть уравнения имеет смысл, ее значение будет больше или равно нулю: $$\sqrt{\log_x \sqrt{0.5x} \cdot \log_{0.5} x} \ge 0$$

В то же время правая часть уравнения равна $-1$. Таким образом, уравнение сводится к неверному равенству: $$\text{неотрицательное число} = -1$$ Такое равенство невозможно в области действительных чисел.

Следовательно, данное уравнение не имеет решений.

Ответ: корней нет.

Помогло решение? Оставьте отзыв в комментариях ниже.

Присоединяйтесь к Телеграм-группе @gdz_by_belarus

Присоединиться

Мы подготовили для вас ответ c подробным объяснением домашего задания по алгебре за 11 класс, для упражнения номер 42 расположенного на странице 75 к сборнику задач 2020 года издания для учащихся школ и гимназий.

Теперь на нашем сайте ГДЗ.ТОП вы всегда легко и бесплатно найдёте условие с правильным ответом на вопрос «Как решить ДЗ» и «Как сделать» задание по алгебре к упражнению №42 (с. 75), авторов: Арефьева (Ирина Глебовна), Пирютко (Ольга Николаевна), базовый и повышенный уровень обучения учебного пособия издательства Народная асвета.