Номер 22, страница 74 - гдз по алгебре 11 класс сборник задач Арефьева, Пирютко

Алгебра, 11 класс Сборник задач, авторы: Арефьева Ирина Глебовна, Пирютко Ольга Николаевна, издательство Народная асвета, Минск, 2020, белого цвета

Авторы: Арефьева И. Г., Пирютко О. Н.

Тип: Сборник задач

Издательство: Народная асвета

Год издания: 2020 - 2026

Уровень обучения: базовый и повышенный

Цвет обложки: белый с графиком

Допущено Министерством образования Республики Беларусь

Популярные ГДЗ в 11 классе

Глава 3. Логарифмическая функция. Параграф 9. Логарифмические уравнения - номер 22, страница 74.

№22 (с. 74)
Условие. №22 (с. 74)
скриншот условия
Алгебра, 11 класс Сборник задач, авторы: Арефьева Ирина Глебовна, Пирютко Ольга Николаевна, издательство Народная асвета, Минск, 2020, белого цвета, страница 74, номер 22, Условие

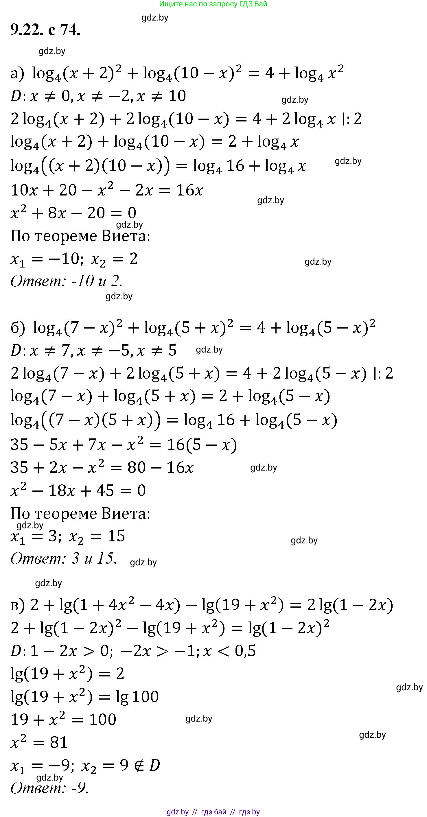
9.22. Найдите все корни уравнения:

a) $ \log_4 (x + 2)^2 + \log_4 (10 - x)^2 = 4 + \log_4 x^2; $

б) $ \log_4 (7 - x)^2 + \log_4 (5 + x)^2 = 4 + \log_4 (5 - x)^2; $

в) $ 2 + \lg(1 + 4x^2 - 4x) - \lg(19 + x^2) = 2\lg(1 - 2x); $

г) $ \log_2 (9x^2 + 1 - 6x) - \log_2 (4 + x^2) = 2\log_2 (1 - 3x) - 3. $

Решение. №22 (с. 74)
Алгебра, 11 класс Сборник задач, авторы: Арефьева Ирина Глебовна, Пирютко Ольга Николаевна, издательство Народная асвета, Минск, 2020, белого цвета, страница 74, номер 22, Решение Алгебра, 11 класс Сборник задач, авторы: Арефьева Ирина Глебовна, Пирютко Ольга Николаевна, издательство Народная асвета, Минск, 2020, белого цвета, страница 74, номер 22, Решение (продолжение 2)
Решение 2. №22 (с. 74)

а) $ \log_{4}{(x + 2)^2} + \log_{4}{(10 - x)^2} = 4 + \log_{4}{x^2} $

1. Определим область допустимых значений (ОДЗ). Аргументы логарифмов должны быть строго больше нуля:

  • $ (x+2)^2 > 0 \implies x \ne -2 $
  • $ (10-x)^2 > 0 \implies x \ne 10 $
  • $ x^2 > 0 \implies x \ne 0 $

ОДЗ: $ x \in (-\infty; -2) \cup (-2; 0) \cup (0; 10) \cup (10; +\infty) $.

2. Упростим уравнение, используя свойство логарифма $ \log_{a}{b^2} = 2\log_{a}{|b|} $:

$ 2\log_{4}{|x + 2|} + 2\log_{4}{|10 - x|} = 4 + 2\log_{4}{|x|} $

Разделим обе части уравнения на 2:

$ \log_{4}{|x + 2|} + \log_{4}{|10 - x|} = 2 + \log_{4}{|x|} $

3. Преобразуем уравнение, используя свойства логарифмов и представив 2 как $ \log_{4}{4^2} = \log_{4}{16} $:

$ \log_{4}{|(x + 2)(10 - x)|} = \log_{4}{16} + \log_{4}{|x|} $

$ \log_{4}{|-x^2 + 8x + 20|} = \log_{4}{(16|x|)} $

Приравниваем аргументы логарифмов:

$ |-x^2 + 8x + 20| = 16|x| $

4. Это уравнение равносильно совокупности двух уравнений:

Случай 1: $ -x^2 + 8x + 20 = 16x $

$ x^2 + 8x - 20 = 0 $

По теореме Виета, корни $ x_1 = 2 $ и $ x_2 = -10 $. Оба корня удовлетворяют ОДЗ.

Случай 2: $ -x^2 + 8x + 20 = -16x $

$ x^2 - 24x - 20 = 0 $

Найдем дискриминант: $ D = (-24)^2 - 4(1)(-20) = 576 + 80 = 656 = 16 \cdot 41 $. $ \sqrt{D} = 4\sqrt{41} $.

$ x = \frac{24 \pm 4\sqrt{41}}{2} = 12 \pm 2\sqrt{41} $

Корни $ x_3 = 12 + 2\sqrt{41} $ и $ x_4 = 12 - 2\sqrt{41} $. Оба корня удовлетворяют ОДЗ.

Ответ: $ -10; 12 - 2\sqrt{41}; 2; 12 + 2\sqrt{41} $.


б) $ \log_{4}{(7 - x)^2} + \log_{4}{(5 + x)^2} = 4 + \log_{4}{(5 - x)^2} $

1. Определим ОДЗ:

  • $ (7-x)^2 > 0 \implies x \ne 7 $
  • $ (5+x)^2 > 0 \implies x \ne -5 $
  • $ (5-x)^2 > 0 \implies x \ne 5 $

ОДЗ: $ x \in \mathbb{R} \setminus \{-5, 5, 7\} $.

2. Упростим уравнение, используя свойство $ \log_{a}{b^2} = 2\log_{a}{|b|} $ и разделив на 2:

$ \log_{4}{|7 - x|} + \log_{4}{|5 + x|} = 2 + \log_{4}{|5 - x|} $

3. Преобразуем уравнение, представив 2 как $ \log_{4}{16} $:

$ \log_{4}{|(7 - x)(5 + x)|} = \log_{4}{(16|5 - x|)} $

Приравниваем аргументы:

$ |(7 - x)(x + 5)| = 16|5 - x| \iff |7 - x||x + 5| = 16|x - 5| $

4. Для решения этого уравнения с модулями необходимо рассмотреть четыре случая, раскрывая модули на интервалах, на которые числовую ось разбивают точки $ -5, 5, 7 $.

  • Интервал $ x < -5 $: $ (7-x)(-(x+5)) = 16(-(x-5)) \implies x^2 + 14x - 115 = 0 $, корень $ x = -7 - 2\sqrt{41} $.
  • Интервал $ -5 < x < 5 $: $ (7-x)(x+5) = 16(-(x-5)) \implies x^2 - 18x + 45 = 0 $, корень $ x = 3 $.
  • Интервал $ 5 < x < 7 $: $ (7-x)(x+5) = 16(x-5) \implies x^2 + 14x - 115 = 0 $, корень $ x = -7 + 2\sqrt{41} $.
  • Интервал $ x > 7 $: $ (-(7-x))(x+5) = 16(x-5) \implies x^2 - 18x + 45 = 0 $, корень $ x = 15 $.

Все найденные корни принадлежат соответствующим интервалам и удовлетворяют ОДЗ.

Ответ: $ -7 - 2\sqrt{41}; 3; -7 + 2\sqrt{41}; 15 $.


в) $ 2 + \lg(1 + 4x^2 - 4x) - \lg(19 + x^2) = 2\lg(1 - 2x) $

1. Заметим, что $ 1 + 4x^2 - 4x = (1 - 2x)^2 $. Уравнение принимает вид:

$ 2 + \lg((1 - 2x)^2) - \lg(19 + x^2) = 2\lg(1 - 2x) $

2. Определим ОДЗ. Из выражения $ 2\lg(1-2x) $ в правой части следует, что аргумент логарифма должен быть строго положительным:

$ 1 - 2x > 0 \implies 2x < 1 \implies x < 1/2 $.

При этом условии, $ (1-2x)^2 > 0 $ и $ 19+x^2 > 0 $ выполняются автоматически.

3. Так как по ОДЗ $ 1 - 2x > 0 $, то $ \lg((1 - 2x)^2) = 2\lg|1 - 2x| = 2\lg(1 - 2x) $. Подставим это в уравнение:

$ 2 + 2\lg(1 - 2x) - \lg(19 + x^2) = 2\lg(1 - 2x) $

4. Сократим $ 2\lg(1 - 2x) $ в обеих частях:

$ 2 - \lg(19 + x^2) = 0 $

$ \lg(19 + x^2) = 2 $

5. По определению десятичного логарифма ($ \lg{a} = \log_{10}{a} $):

$ 19 + x^2 = 10^2 $

$ 19 + x^2 = 100 $

$ x^2 = 81 \implies x = \pm 9 $

6. Проверим корни по ОДЗ ($ x < 1/2 $):

  • $ x = 9 $ не удовлетворяет условию $ 9 < 1/2 $.
  • $ x = -9 $ удовлетворяет условию $ -9 < 1/2 $.

Ответ: $ -9 $.


г) $ \log_{2}{(9x^2 + 1 - 6x)} - \log_{2}{(4 + x^2)} = 2\log_{2}{(1 - 3x)} - 3 $

1. Заметим, что $ 9x^2 + 1 - 6x = (3x - 1)^2 = (1 - 3x)^2 $. Уравнение принимает вид:

$ \log_{2}{((1 - 3x)^2)} - \log_{2}{(4 + x^2)} = 2\log_{2}{(1 - 3x)} - 3 $

2. Определим ОДЗ. Из выражения $ 2\log_{2}{(1 - 3x)} $ следует, что:

$ 1 - 3x > 0 \implies 3x < 1 \implies x < 1/3 $.

При этом условии, $ (1-3x)^2 > 0 $ и $ 4+x^2 > 0 $ выполняются.

3. Так как по ОДЗ $ 1 - 3x > 0 $, то $ \log_{2}{((1 - 3x)^2)} = 2\log_{2}{|1 - 3x|} = 2\log_{2}{(1 - 3x)} $. Подставим это в уравнение:

$ 2\log_{2}{(1 - 3x)} - \log_{2}{(4 + x^2)} = 2\log_{2}{(1 - 3x)} - 3 $

4. Сократим $ 2\log_{2}{(1 - 3x)} $ в обеих частях:

$ -\log_{2}{(4 + x^2)} = -3 $

$ \log_{2}{(4 + x^2)} = 3 $

5. По определению логарифма:

$ 4 + x^2 = 2^3 $

$ 4 + x^2 = 8 $

$ x^2 = 4 \implies x = \pm 2 $

6. Проверим корни по ОДЗ ($ x < 1/3 $):

  • $ x = 2 $ не удовлетворяет условию $ 2 < 1/3 $.
  • $ x = -2 $ удовлетворяет условию $ -2 < 1/3 $.

Ответ: $ -2 $.

Помогло решение? Оставьте отзыв в комментариях ниже.

Присоединяйтесь к Телеграм-группе @gdz_by_belarus

Присоединиться

Мы подготовили для вас ответ c подробным объяснением домашего задания по алгебре за 11 класс, для упражнения номер 22 расположенного на странице 74 к сборнику задач 2020 года издания для учащихся школ и гимназий.

Теперь на нашем сайте ГДЗ.ТОП вы всегда легко и бесплатно найдёте условие с правильным ответом на вопрос «Как решить ДЗ» и «Как сделать» задание по алгебре к упражнению №22 (с. 74), авторов: Арефьева (Ирина Глебовна), Пирютко (Ольга Николаевна), базовый и повышенный уровень обучения учебного пособия издательства Народная асвета.