Номер 23, страница 94 - гдз по алгебре 11 класс сборник задач Арефьева, Пирютко

Алгебра, 11 класс Сборник задач, авторы: Арефьева Ирина Глебовна, Пирютко Ольга Николаевна, издательство Народная асвета, Минск, 2020, белого цвета

Авторы: Арефьева И. Г., Пирютко О. Н.

Тип: Сборник задач

Издательство: Народная асвета

Год издания: 2020 - 2026

Уровень обучения: базовый и повышенный

Цвет обложки: белый с графиком

Допущено Министерством образования Республики Беларусь

Популярные ГДЗ в 11 классе

Глава 3. Логарифмическая функция. Параграф 10. Логарифмические неравенства - номер 23, страница 94.

№23 (с. 94)
Условие. №23 (с. 94)
скриншот условия
Алгебра, 11 класс Сборник задач, авторы: Арефьева Ирина Глебовна, Пирютко Ольга Николаевна, издательство Народная асвета, Минск, 2020, белого цвета, страница 94, номер 23, Условие
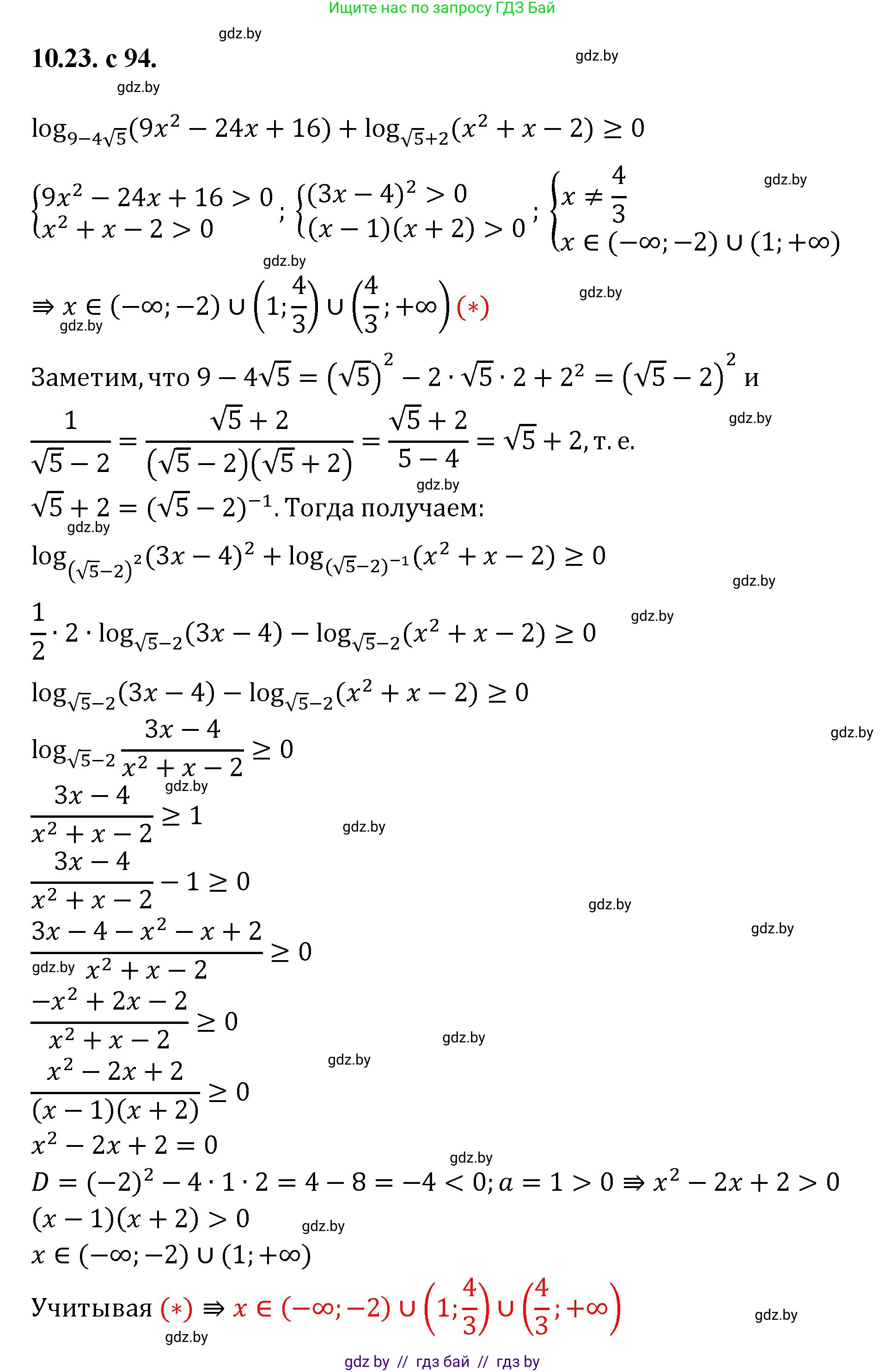
10.23. Решите неравенство

$\log_{9-4\sqrt{5}} (9x^2 - 24x + 16) + \log_{\sqrt{5}+2} (x^2 + x - 2) \ge 0.$

Решение. №23 (с. 94)
Алгебра, 11 класс Сборник задач, авторы: Арефьева Ирина Глебовна, Пирютко Ольга Николаевна, издательство Народная асвета, Минск, 2020, белого цвета, страница 94, номер 23, Решение
Решение 2. №23 (с. 94)

Данное неравенство представляет собой сумму двух логарифмов с разными основаниями. Для его решения найдем область допустимых значений (ОДЗ), затем преобразуем неравенство к более простому виду и решим его с учетом ОДЗ.

1. Область допустимых значений (ОДЗ)

Аргументы логарифмов должны быть строго больше нуля:

$$ \begin{cases} 9x^2 - 24x + 16 > 0 \\ x^2 + x - 2 > 0 \end{cases} $$

Решим первое неравенство. Выражение $9x^2 - 24x + 16$ является полным квадратом:

$$(3x-4)^2 > 0$$

Это неравенство справедливо для всех действительных чисел $x$, за исключением случая, когда $3x-4 = 0$, то есть $x \neq \frac{4}{3}$.

Решим второе неравенство $x^2 + x - 2 > 0$. Найдем корни уравнения $x^2 + x - 2 = 0$. По теореме Виета, корни равны $x_1 = -2$ и $x_2 = 1$. Поскольку это парабола с ветвями, направленными вверх, неравенство выполняется для $x$, находящихся вне интервала между корнями:

$$x \in (-\infty, -2) \cup (1, \infty)$$

Объединяя оба условия, получаем ОДЗ для исходного неравенства:

$$x \in (-\infty, -2) \cup (1, \frac{4}{3}) \cup (\frac{4}{3}, \infty)$$

2. Упрощение неравенства

Заметим, что основания логарифмов $9-4\sqrt{5}$ и $\sqrt{5}+2$ являются взаимно обратными в некоторой степени. Преобразуем их:

$$9-4\sqrt{5} = 5 - 2 \cdot 2 \cdot \sqrt{5} + 4 = (\sqrt{5}-2)^2$$

Так как $(\sqrt{5}-2)(\sqrt{5}+2) = (\sqrt{5})^2 - 2^2 = 5-4=1$, то $\sqrt{5}-2 = \frac{1}{\sqrt{5}+2} = (\sqrt{5}+2)^{-1}$.

Следовательно, основание первого логарифма $9-4\sqrt{5} = ((\sqrt{5}+2)^{-1})^2 = (\sqrt{5}+2)^{-2}$.

Аргумент первого логарифма, как мы уже видели, равен $(3x-4)^2$. Подставим эти выражения в исходное неравенство:

$$ \log_{(\sqrt{5}+2)^{-2}}((3x-4)^2) + \log_{\sqrt{5}+2}(x^2 + x - 2) \ge 0 $$

Используя свойство логарифма $\log_{a^k}(b^m) = \frac{m}{k}\log_a b$, получим:

$$ \frac{2}{-2}\log_{\sqrt{5}+2}(|3x-4|) + \log_{\sqrt{5}+2}(x^2 + x - 2) \ge 0 $$

Обратите внимание на появление модуля, так как $\sqrt{(3x-4)^2} = |3x-4|$.

$$ -\log_{\sqrt{5}+2}(|3x-4|) + \log_{\sqrt{5}+2}(x^2 + x - 2) \ge 0 $$ $$ \log_{\sqrt{5}+2}(x^2 + x - 2) \ge \log_{\sqrt{5}+2}(|3x-4|) $$

3. Решение упрощенного неравенства

Основание логарифма $\sqrt{5}+2 > 1$, поэтому логарифмическая функция является возрастающей. Это позволяет нам перейти от неравенства логарифмов к неравенству их аргументов, сохраняя знак неравенства:

$$ x^2 + x - 2 \ge |3x-4| $$

Такое неравенство равносильно системе двух неравенств:

$$ \begin{cases} x^2 + x - 2 \ge 3x - 4 \\ x^2 + x - 2 \ge -(3x - 4) \end{cases} \iff \begin{cases} x^2 - 2x + 2 \ge 0 \\ x^2 + 4x - 6 \ge 0 \end{cases} $$

Решим первое неравенство системы: $x^2 - 2x + 2 \ge 0$. Дискриминант этого квадратного трехчлена $D = (-2)^2 - 4(1)(2) = 4 - 8 = -4$. Поскольку $D<0$ и старший коэффициент (при $x^2$) положителен, выражение $x^2 - 2x + 2$ всегда положительно. Следовательно, это неравенство выполняется для всех $x \in \mathbb{R}$.

Решим второе неравенство системы: $x^2 + 4x - 6 \ge 0$. Найдем корни уравнения $x^2 + 4x - 6 = 0$ с помощью формулы для корней квадратного уравнения: $x = \frac{-4 \pm \sqrt{4^2 - 4(1)(-6)}}{2(1)} = \frac{-4 \pm \sqrt{16+24}}{2} = \frac{-4 \pm \sqrt{40}}{2} = \frac{-4 \pm 2\sqrt{10}}{2} = -2 \pm \sqrt{10}$.

Так как ветви параболы $y=x^2 + 4x - 6$ направлены вверх, неравенство выполняется при:

$$x \in (-\infty, -2-\sqrt{10}] \cup [-2+\sqrt{10}, \infty)$$

Решение системы является пересечением решений обоих неравенств, что совпадает с решением второго неравенства.

4. Учет ОДЗ и финальный ответ

Теперь необходимо найти пересечение полученного множества решений с ОДЗ: $x \in (-\infty, -2) \cup (1, \frac{4}{3}) \cup (\frac{4}{3}, \infty)$.

  • Интервал $(-\infty, -2-\sqrt{10}]$. Так как $\sqrt{10} > \sqrt{4}=2$, то $-2-\sqrt{10} < -4$, что, очевидно, меньше $-2$. Таким образом, весь этот интервал входит в ОДЗ.
  • Интервал $[-2+\sqrt{10}, \infty)$. Оценим значение $-2+\sqrt{10}$. Так как $3 < \sqrt{10} < 4$, то $1 < -2+\sqrt{10} < 2$. Сравним $-2+\sqrt{10}$ с $\frac{4}{3} = 1\frac{1}{3}$. Неравенство $-2+\sqrt{10} < \frac{4}{3}$ равносильно $\sqrt{10} < \frac{10}{3}$, или $10 < \frac{100}{9}$, что верно. Значит, $1 < -2+\sqrt{10} < \frac{4}{3}$.

Пересечение $[-2+\sqrt{10}, \infty)$ с ОДЗ дает множество $[-2+\sqrt{10}, \frac{4}{3}) \cup (\frac{4}{3}, \infty)$.

Объединяя результаты, получаем окончательное решение.

Ответ: $x \in (-\infty, -2-\sqrt{10}] \cup [-2+\sqrt{10}, 1\frac{1}{3}) \cup (1\frac{1}{3}, \infty)$.

Помогло решение? Оставьте отзыв в комментариях ниже.

Присоединяйтесь к Телеграм-группе @gdz_by_belarus

Присоединиться

Мы подготовили для вас ответ c подробным объяснением домашего задания по алгебре за 11 класс, для упражнения номер 23 расположенного на странице 94 к сборнику задач 2020 года издания для учащихся школ и гимназий.

Теперь на нашем сайте ГДЗ.ТОП вы всегда легко и бесплатно найдёте условие с правильным ответом на вопрос «Как решить ДЗ» и «Как сделать» задание по алгебре к упражнению №23 (с. 94), авторов: Арефьева (Ирина Глебовна), Пирютко (Ольга Николаевна), базовый и повышенный уровень обучения учебного пособия издательства Народная асвета.