Номер 27, страница 94 - гдз по алгебре 11 класс сборник задач Арефьева, Пирютко

Алгебра, 11 класс Сборник задач, авторы: Арефьева Ирина Глебовна, Пирютко Ольга Николаевна, издательство Народная асвета, Минск, 2020, белого цвета

Авторы: Арефьева И. Г., Пирютко О. Н.

Тип: Сборник задач

Издательство: Народная асвета

Год издания: 2020 - 2026

Уровень обучения: базовый и повышенный

Цвет обложки: белый с графиком

Допущено Министерством образования Республики Беларусь

Популярные ГДЗ в 11 классе

Глава 3. Логарифмическая функция. Параграф 10. Логарифмические неравенства - номер 27, страница 94.

№27 (с. 94)
Условие. №27 (с. 94)
скриншот условия
Алгебра, 11 класс Сборник задач, авторы: Арефьева Ирина Глебовна, Пирютко Ольга Николаевна, издательство Народная асвета, Минск, 2020, белого цвета, страница 94, номер 27, Условие

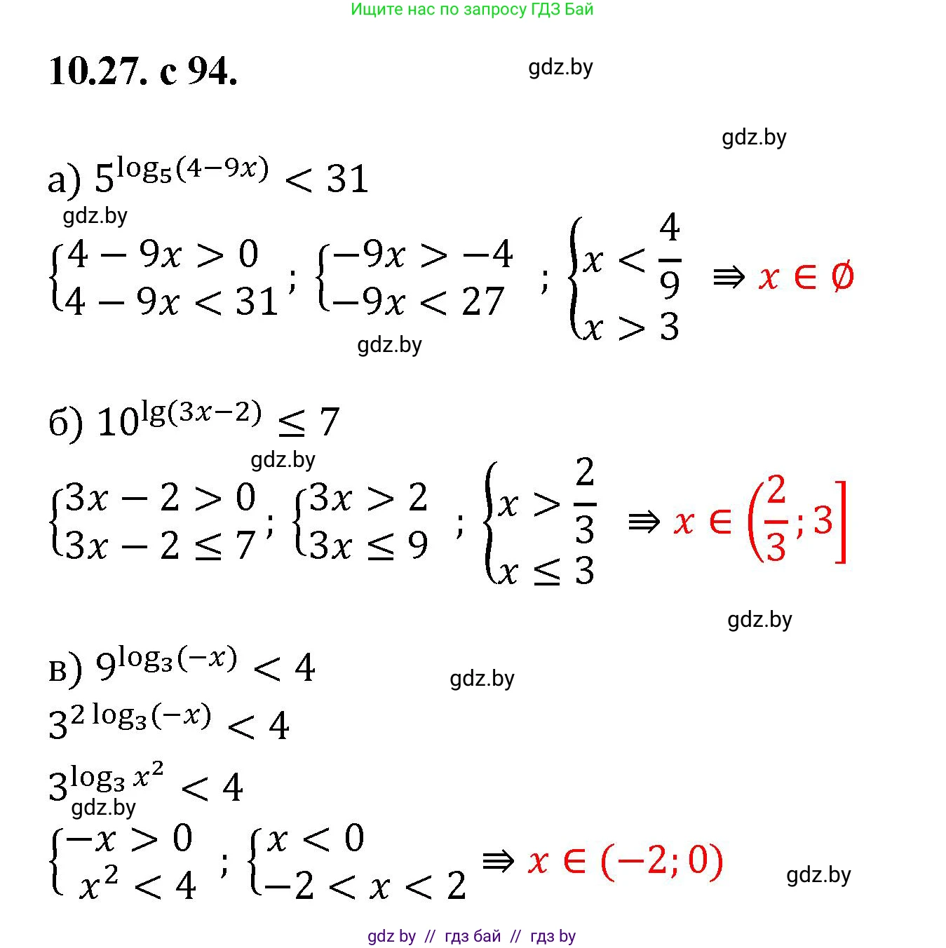
10.27. Решите неравенство:

а) $5^{\log_5(4-9x)} < 31;$

б) $10^{\lg(3x-2)} \le 7;$

в) $9^{\log_3(-x)} < 4.$

Решение. №27 (с. 94)
Алгебра, 11 класс Сборник задач, авторы: Арефьева Ирина Глебовна, Пирютко Ольга Николаевна, издательство Народная асвета, Минск, 2020, белого цвета, страница 94, номер 27, Решение
Решение 2. №27 (с. 94)

а) $5^{\log_5(4-9x)} < 31$

Данное неравенство равносильно системе, которая объединяет область допустимых значений (ОДЗ) логарифма и само неравенство, упрощенное с помощью основного логарифмического тождества $a^{\log_a b} = b$.

$\begin{cases} 4 - 9x > 0 \\ 4 - 9x < 31 \end{cases}$

Решим каждое неравенство в системе:

1) $4 - 9x > 0 \implies -9x > -4 \implies x < \frac{4}{9}$

2) $4 - 9x < 31 \implies -9x < 27 \implies x > -3$

Пересечением этих двух условий является интервал $(-3; \frac{4}{9})$.

Ответ: $(-3; \frac{4}{9})$.

б) $10^{\lg(3x-2)} \le 7$

Неравенство равносильно системе (учитывая, что $\lg$ - это десятичный логарифм $\log_{10}$):

$\begin{cases} 3x - 2 > 0 \\ 10^{\lg(3x-2)} \le 7 \end{cases} \implies \begin{cases} 3x - 2 > 0 \\ 3x - 2 \le 7 \end{cases}$

Решим каждое неравенство системы:

1) $3x - 2 > 0 \implies 3x > 2 \implies x > \frac{2}{3}$

2) $3x - 2 \le 7 \implies 3x \le 9 \implies x \le 3$

Пересечением решений является полуинтервал $(\frac{2}{3}; 3]$. Дробь $\frac{2}{3}$ является правильной, поэтому выделение целой части не требуется.

Ответ: $(\frac{2}{3}; 3]$.

в) $9^{\log_3(-x)} < 4$

Сначала определим ОДЗ: аргумент логарифма должен быть строго положительным.

$-x > 0 \implies x < 0$

Теперь преобразуем левую часть неравенства, приведя основание степени к основанию логарифма ($9 = 3^2$):

$9^{\log_3(-x)} = (3^2)^{\log_3(-x)} = 3^{2\log_3(-x)}$

Используя свойство логарифма $k \log_a b = \log_a (b^k)$, получаем:

$3^{2\log_3(-x)} = 3^{\log_3((-x)^2)} = 3^{\log_3(x^2)}$

Неравенство принимает вид:

$3^{\log_3(x^2)} < 4$

По основному логарифмическому тождеству это равносильно неравенству:

$x^2 < 4$

Решением этого квадратного неравенства является интервал $-2 < x < 2$.

Наконец, найдем пересечение полученного решения с ОДЗ ($x < 0$):

$\begin{cases} -2 < x < 2 \\ x < 0 \end{cases}$

Итоговым решением является интервал $(-2; 0)$.

Ответ: $(-2; 0)$.

Помогло решение? Оставьте отзыв в комментариях ниже.

Присоединяйтесь к Телеграм-группе @gdz_by_belarus

Присоединиться

Мы подготовили для вас ответ c подробным объяснением домашего задания по алгебре за 11 класс, для упражнения номер 27 расположенного на странице 94 к сборнику задач 2020 года издания для учащихся школ и гимназий.

Теперь на нашем сайте ГДЗ.ТОП вы всегда легко и бесплатно найдёте условие с правильным ответом на вопрос «Как решить ДЗ» и «Как сделать» задание по алгебре к упражнению №27 (с. 94), авторов: Арефьева (Ирина Глебовна), Пирютко (Ольга Николаевна), базовый и повышенный уровень обучения учебного пособия издательства Народная асвета.